Last updated: 5/1/2025
Order Appointing Limited Co-Guardians Of A Person With A Disability {CCP 0232}
Start Your Free Trial $ 6.00What you get:
- Instant access to fillable Microsoft Word or PDF forms.
- Minimize the risk of using outdated forms and eliminate rejected fillings.
- Largest forms database in the USA with more than 80,000 federal, state and agency forms.
- Download, edit, auto-fill multiple forms at once in MS Word using our Forms Workflow Ribbon
- Trusted by 1,000s of Attorneys and Legal Professionals
Description
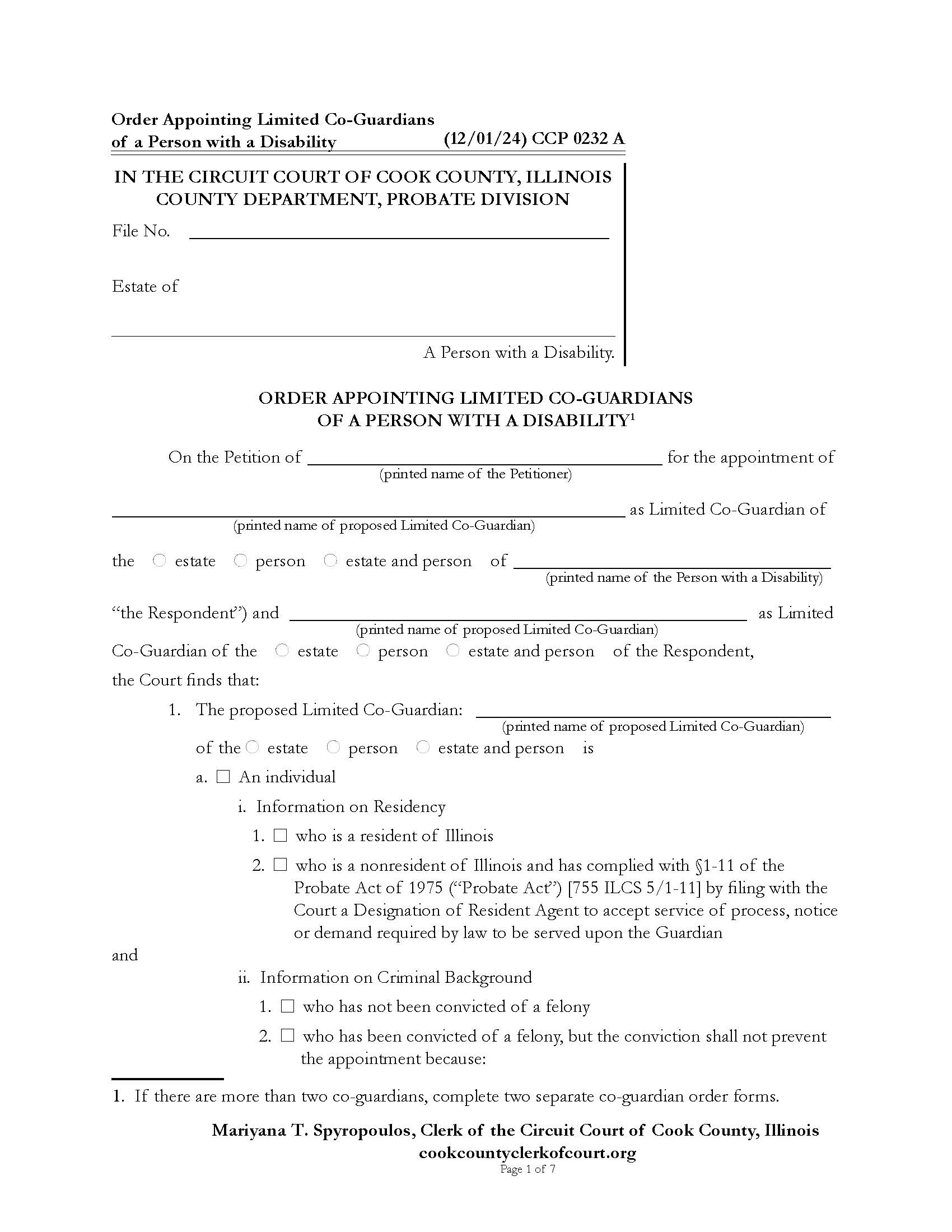
CCP 0232 - ORDER APPOINTING LIMITED CO-GUARDIANS OF A PERSON WITH A DISABILITY. This form is an order issued by the Circuit Court of Cook County, Illinois, Probate Division. It appoints limited co-guardians for a person with a disability. The form includes information about the proposed limited co-guardians, their qualifications, criminal background, residency, and their ability to act as limited co-guardians. It also states that the court has jurisdiction to make the appointment and provides findings regarding the person's disability and the need for limited co-guardianship. The form further includes orders related to the authority of the limited co-guardians, bond approval, filing of inventory and accounts, filing of annual reports, completion of training programs, and notifications to various departments and agencies. www.FormsWorkflow.com
Related forms
-
Notice Of Rights Of Respondent
Illinois/Local County/Cook/Probate/ -
VECHS Waiver Agreement and Statement
Illinois/Local County/Cook/Probate/ -
Order Dismissing Petition For Guardianship
Illinois/2 Local County/Cook/Probate/ -
Order Appointing Standby Guardian As Guardian Of Minor
Illinois/Local County/Cook/Probate/ -
Petition To Appoint Standby Guardian As Guardian Of Minor
Illinois/Local County/Cook/Probate/ -
Petition For Appointment Of Standby Guardian Of Minor
Illinois/Local County/Cook/Probate/ -
Order Appointing Standby Guardian Of Minor
Illinois/Local County/Cook/Probate/ -
Petition To Discharge A Guardian - Minor Estate
Illinois/Local County/Cook/Probate/ -
Instructions For Guardians Of Minors - Annual Report
Illinois/2 Local County/Cook/Probate/ -
Appearance And Jury Demand
Illinois/Local County/Cook/Probate/ -
Motion Slip
Illinois/Local County/Cook/Probate/ -
Guardians Notice Of Change Of Address Within State Of Illinois
Illinois/2 Local County/Cook/Probate/ -
Guardians Petition To Move Outside The State Of Illinois
Illinois/2 Local County/Cook/Probate/ -
Guardians Notice Prior To Removing Minor From Illinois (2-29 Days)
Illinois/2 Local County/Cook/Probate/ -
Guardians Petition Removing Minor From Illinois More Than 30 Days
Illinois/2 Local County/Cook/Probate/ -
Petition By Nonresident To Lease Sell Or Mortgage Property
Illinois/Local County/Cook/Probate/ -
Order Directing Representative To Show Cause
Illinois/Local County/Cook/Probate/ -
Citation For Removal Of Representative
Illinois/Local County/Cook/Probate/ -
Order Appointing Limited Guardian For Alleged Person With A Disability
Illinois/Local County/Cook/Probate/ -
Summons For Appointment Of Guardian Of Person With Disability
Illinois/Local County/Cook/Probate/ -
Order Appointing Or Extending Guardian Ad Litem For Specific Purpose
Illinois/Local County/Cook/Probate/ -
Claim Order
Illinois/Local County/Cook/Probate/ -
Order Extending Temporary Guardianship Of Alleged Person With A Disability
Illinois/2 Local County/Cook/Probate/ -
Order Appointing Standby Guardian As Plenary Guardian Of Disabled Person
Illinois/Local County/Cook/Probate/ -
Order Appointing Standby Guardian As Limited Guardian Of Disabled Person
Illinois/Local County/Cook/Probate/ -
Order Appointing Plenary Co-Guardians Of A Person With A Disability
Illinois/Local County/Cook/Probate/ -
Order Continuing [Presentation Of Vouchers]
Illinois/2 Local County/Cook/Probate/ -
Order Closing Estate
Illinois/2 Local County/Cook/Probate/ -
Order Appointing Limited Co-Guardians Of A Person With A Disability
Illinois/Local County/Cook/Probate/ -
Order For Service By Publication
Illinois/Local County/Cook/Probate/ -
Order Allowing Petitioner To Obtain Death Certificate
Illinois/Local County/Cook/Probate/ -
Order Allowing Petitioner to Obtain Minors Birth Certificate
Illinois/Local County/Cook/Probate/ -
Order On Petition To Terminate Guardianship (Of Minor(s))
Illinois/Local County/Cook/Probate/ -
Order Appointing Guardian-Successor Guardian Of Person Of Minor
Illinois/Local County/Cook/Probate/ -
Order On Petition For Guardian Of Minor
Illinois/Local County/Cook/Probate/ -
Order Appointing Guardian Ad Litem
Illinois/Local County/Cook/Probate/ -
Appearance And Consent For Letters Appointing Guardian
Illinois/Local County/Cook/Probate/ -
Order Converting To Independent Administration
Illinois/Local County/Cook/Probate/ -
Petition For Letters Of Administration To Collect
Illinois/Local County/Cook/Probate/ -
Proposed Appointed Guardian Checklist
Illinois/2 Local County/Cook/Probate/ -
Acceptance Of Office (Corporation)
Illinois/Local County/Cook/Probate/ -
Order Declaring Heirship
Illinois/Local County/Cook/Probate/ -
Declination Of Office
Illinois/Local County/Cook/Probate/ -
Designation Of Resident Agent
Illinois/Local County/Cook/Probate/ -
Acceptance Of Office Of Personal Fiduciary
Illinois/Local County/Cook/Probate/ -
Notice To Heirs And Legatees - Foreign Will Admitted
Illinois/Local County/Cook/Probate/ -
Notice To Heirs And Legatees - Will Admitted
Illinois/Local County/Cook/Probate/ -
Notice To Heirs And Legatees - Will Denied
Illinois/Local County/Cook/Probate/ -
Notice To Heirs And Legatees - Foreign Will Denied
Illinois/Local County/Cook/Probate/ -
Notice Of Motion (Zoom Appearance)
Illinois/Local County/Cook/Probate/ -
Waiver Of Notice
Illinois/Local County/Cook/Probate/ -
Petition For Letters Of Administration
Illinois/Local County/Cook/Probate/ -
Oath And Bond Of Representative - No Surety
Illinois/Local County/Cook/Probate/ -
Oath And Bond Of Representative - Surety
Illinois/Local County/Cook/Probate/ -
Petition For Probate Of Will And For Letters Testamentary
Illinois/Local County/Cook/Probate/ -
Copy Of Will
Illinois/Local County/Cook/Probate/ -
Petition For Probate Of Will And For Letters Of Administration With Will Annexed
Illinois/Local County/Cook/Probate/ -
Calendar Order (Wrongful Death Action)
Illinois/Local County/Cook/Probate/ -
Petition For Deposition Of Witness To Will
Illinois/Local County/Cook/Probate/ -
Order Admitting Will As To Omitted Or Unnotified Person
Illinois/Local County/Cook/Probate/ -
Commission For Deposition Of Witness To Will
Illinois/2 Local County/Cook/Probate/ -
Order Denying Will To Probate
Illinois/Local County/Cook/Probate/ -
Deposition Of Witness To Will
Illinois/Local County/Cook/Probate/ -
Petition To Admit Will As To Omitted Or Unnotified Person
Illinois/Local County/Cook/Probate/ -
Inventory
Illinois/2 Local County/Cook/Probate/ -
Application For Award And Award To Surviving Spouse And Children
Illinois/Local County/Cook/Probate/ -
Application To Transfer Will And Order Transferring Will
Illinois/Local County/Cook/Probate/ -
Bond - Additional - Surety
Illinois/Local County/Cook/Probate/ -
Bond - Additional - No Surety
Illinois/Local County/Cook/Probate/ -
Order Setting Briefing Schedule On Contested Matter
Illinois/Local County/Cook/Probate/ -
Claim
Illinois/Local County/Cook/Probate/ -
Order Setting Pre-Trial Conference
Illinois/Local County/Cook/Probate/ -
Order Concerning Discovery Citation (CCP 0341}
Illinois/2 Local County/Cook/Probate/ -
Order For Leave To Settle Cause Of Action-Wrongful Death
Illinois/Local County/Cook/Probate/ -
Petition To Sell Personal Property
Illinois/Local County/Cook/Probate/ -
Petition To Settle Cause Of Action Wrongful Death
Illinois/Local County/Cook/Probate/ -
Order To Sell Personal Property
Illinois/Local County/Cook/Probate/ -
Order Granting Possession Of Real Estate
Illinois/Local County/Cook/Probate/ -
Bond For Sale Or Mortgage Of Real Estate - No Surety
Illinois/Local County/Cook/Probate/ -
Bond For Sale Or Mortgage Of Real Estate - Surety
Illinois/Local County/Cook/Probate/ -
Petition To Grant Possession Of Real Estate
Illinois/Local County/Cook/Probate/ -
Citation
Illinois/Local County/Cook/Probate/ -
Oath Of Real Estate Appraiser
Illinois/Local County/Cook/Probate/ -
Appearance On Account
Illinois/Local County/Cook/Probate/ -
Certification Of Vouchers
Illinois/Local County/Cook/Probate/ -
Notice Of Account Current Or Final
Illinois/Local County/Cook/Probate/ -
Receipt On Distribution
Illinois/Local County/Cook/Probate/ -
Order Of Distribution To Representative Of Foreign County
Illinois/Local County/Cook/Probate/ -
Status Report - Supervised Administration
Illinois/Local County/Cook/Probate/ -
Bond - Refunding
Illinois/Local County/Cook/Probate/ -
Report Of Attorney-In-Fact Or Consul
Illinois/Local County/Cook/Probate/ -
Receipt Of Distributee To Attorney-In-Fact Or Consul
Illinois/Local County/Cook/Probate/ -
Petition By Representative Of Foreign Country To Receive Distribution
Illinois/Local County/Cook/Probate/ -
Order To Settle Cause Of Action - Minors Estate
Illinois/2 Local County/Cook/Probate/ -
Petition To Settle Cause Of Action - Minors Estate
Illinois/Local County/Cook/Probate/ -
Order For Voucher Compliance
Illinois/2 Local County/Cook/Probate/ -
Order Appointing Guardian Of Minor
Illinois/Local County/Cook/Probate/ -
Petition For Guardian Of Minor
Illinois/2 Local County/Cook/Probate/ -
Order Placing Estate On Inactive Calendar
Illinois/2 Local County/Cook/Probate/ -
Petition For Withdrawal Of Wards Deposited Funds
Illinois/Local County/Cook/Probate/ -
Notice Of Probate Release Of Estates Interest In Real Estate
Illinois/Local County/Cook/Probate/ -
Statement Of Notice To Trust Beneficiaries
Illinois/Local County/Cook/Probate/ -
Order For Summary Administration Intestate
Illinois/Local County/Cook/Probate/ -
Petition For Summary Administration (Intestate)
Illinois/Local County/Cook/Probate/ -
Notice Of Disallowance Of Claim
Illinois/Local County/Cook/Probate/ -
Order For Admission Of Will And Summary Administration
Illinois/Local County/Cook/Probate/ -
Bond Of Distributee Summary Administration
Illinois/Local County/Cook/Probate/ -
Petition For Admission Of Will And Summary Administration
Illinois/Local County/Cook/Probate/ -
Order To Account Or Report
Illinois/Local County/Cook/Probate/ -
Probate Division Mediation Referral Order
Illinois/Local County/Cook/Probate/ -
Small Estate Affidavit
Illinois/Local County/Cook/Probate/ -
Approval By Beneficiary Of Trust On Closing Of Decedents Estate
Illinois/Local County/Cook/Probate/ -
Order For Appointment Of Mediator
Illinois/Local County/Cook/Probate/ -
Memorandum Of Agreement-No Agreement
Illinois/Local County/Cook/Probate/ -
Stipulation For Appointment Of Mediator
Illinois/Local County/Cook/Probate/ -
Mediator Report
Illinois/Local County/Cook/Probate/ -
Notice To Heirs Legatees Re Rights Independent Administration Petition To Terminate
Illinois/Local County/Cook/Probate/ -
Proof Of Mailing And Publication
Illinois/Local County/Cook/Probate/ -
Notice To Interested Parties Re Petition For Letters Of Administration
Illinois/Local County/Cook/Probate/ -
Order Terminating Independent Administration
Illinois/Local County/Cook/Probate/ -
Notice Of Termination Of Independent Administration
Illinois/Local County/Cook/Probate/ -
Notice To Decedents Surviving Family Members Potential Rights To Awards
Illinois/Local County/Cook/Probate/ -
Notice Regarding Final Report In Independent Administration
Illinois/Local County/Cook/Probate/ -
Written Notice To Representative Electing-Requesting Surviving Spouses-Childs Award
Illinois/Local County/Cook/Probate/ -
Final Report Of Independent Representative
Illinois/Local County/Cook/Probate/ -
Receipt And Approval Closing Of Decedents Estate In Independent Administration
Illinois/Local County/Cook/Probate/ -
Order Converting To Independent Administration For Purpose Of Closing Estate
Illinois/Local County/Cook/Probate/ -
Petition To Convert To Independent Administration
Illinois/Local County/Cook/Probate/ -
Election To Take Goods And Chattels For Award
Illinois/Local County/Cook/Probate/ -
Instructions To Guardian Of Estate Of Person With Disability
Illinois/2 Local County/Cook/Probate/ -
Guardians Annual Report Regarding Ward
Illinois/2 Local County/Cook/Probate/ -
Letters Of Office Temporary Guardian Of Alleged Person With Disability
Illinois/Local County/Cook/Probate/ -
Order Admitting Will To Probate And Appointing Representative
Illinois/Local County/Cook/Probate/ -
Nomination Of Minor
Illinois/Local County/Cook/Probate/ -
Statement Of Right To Petition Termination Guardianship Or Modify Duties
Illinois/Local County/Cook/Probate/ -
Report Of Licensed Clinical Psychologist
Illinois/Local County/Cook/Probate/ -
Petition To Settle Cause of Action Survival
Illinois/Local County/Cook/Probate/ -
Petition To Settle Cause of Action Wrongful Death And Survival Action
Illinois/Local County/Cook/Probate/ -
Petition To Extend Temporary Guardianship Of Alleged Person With A Disability
Illinois/Local County/Cook/Probate/ -
Petition To Appoint Standby Guardian Of Person With A Disability
Illinois/2 Local County/Cook/Probate/ -
Petition For Appointment Of Standby Guardian Of Person With Disability
Illinois/Local County/Cook/Probate/ -
Petition For Temporary Guardian Of Alleged Person With A Disability
Illinois/Local County/Cook/Probate/ -
Order To Settle Cause Of Action Wrongful Death And Survival Action
Illinois/Local County/Cook/Probate/ -
Order Of Discharge - Independent Administration
Illinois/Local County/Cook/Probate/ -
Order Of Discharge
Illinois/Local County/Cook/Probate/ -
Order For Leave To Settle Cause Of Action Survival
Illinois/Local County/Cook/Probate/ -
Order Appointing Temporary Guardian Of Alleged Person With A Disability
Illinois/Local County/Cook/Probate/ -
Order Appointing Standby Guardian Of A Person With A Disability
Illinois/2 Local County/Cook/Probate/ -
Order Appointing Representative Of Decedents Estate - Intestate
Illinois/Local County/Cook/Probate/ -
Statement Relating To Trust Beneficiaries
Illinois/2 Local County/Cook/Probate/ -
Report Of Physician
Illinois/Local County/Cook/Probate/ -
Order Appointing Guardian Ad Litem For Alleged Person With A Disability
Illinois/Local County/Cook/Probate/ -
Petition For Appointment Of Guardian Of A Person With A Disability
Illinois/Local County/Cook/Probate/ -
Order Appointing Plenary Guardian Of A Person With A Disability
Illinois/Local County/Cook/Probate/ -
Order Fingerprint Background Check-Minor Guardianship
Illinois/Local County/Cook/Probate/ -
Jury Duty Order
Illinois/Local County/Cook/Probate/ -
Probate Division Cover Sheet
Illinois/Local County/Cook/Probate/
Form Preview
Contact Us
Success: Your message was sent.
Thank you!




