Last updated: 3/26/2025
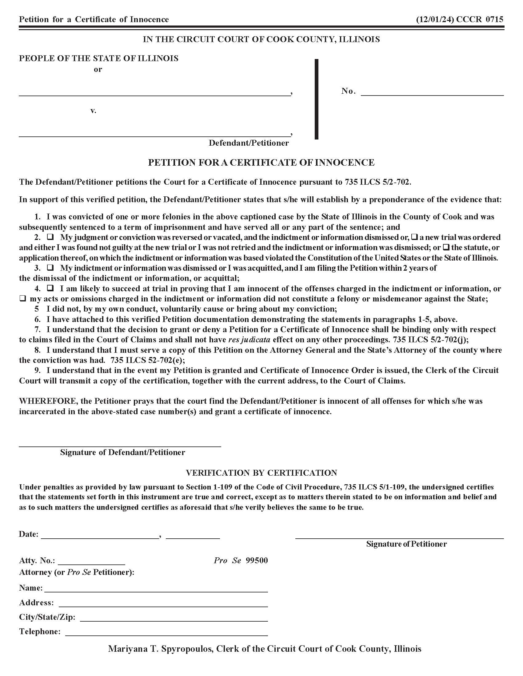
Petition For Certificate Of Innocence {CCCR 0715}
Start Your Free Trial $ 13.99What you get:
- Instant access to fillable Microsoft Word or PDF forms.
- Minimize the risk of using outdated forms and eliminate rejected fillings.
- Largest forms database in the USA with more than 80,000 federal, state and agency forms.
- Download, edit, auto-fill multiple forms at once in MS Word using our Forms Workflow Ribbon
- Trusted by 1,000s of Attorneys and Legal Professionals
Description
CCCR 0715 - PETITION FOR A CERTIFICATE OF INNOCENCE. The purpose of this form is for a person who has been convicted of a felony in the County of Cook to petition the court to declare them innocent and issue them a Certificate of Innocence under Illinois law. To be eligible for a Certificate of Innocence, the petitioner must meet certain requirements, including having been convicted of one or more felonies, serving all or any part of the sentence, and having the judgment or conviction reversed or vacated. The petitioner must also be able to demonstrate by a preponderance of evidence that they are innocent of the offenses charged or that their acts or omissions charged did not constitute a felony or misdemeanor against the State. The form includes a verification by certification section where the petitioner certifies that the statements set forth in the petition are true and correct, except as to matters therein stated to be on information and belief. The form also includes instructions for serving a copy of the petition on the Attorney General and the State’s Attorney of the county where the conviction was had, as well as information about the effect of the Certificate of Innocence on other proceedings. www.FormsWorkflow.com
Related forms
-
Notice Of Filing
Illinois/Local County/Cook/Criminal/ -
Category B Offense Bail Credit Order
Illinois/2 Local County/Cook/Criminal/ -
Petition For Certificate Of Good Conduct
Illinois/Local County/Cook/Criminal/ -
Felony Complaint
Illinois/Local County/Cook/Criminal/ -
Notification Of Motion
Illinois/Local County/Cook/Criminal/ -
Order Of Continuance-Rush Theft Deterrent Program
Illinois/Local County/Cook/Criminal/ -
Healthcare Order
Illinois/2 Local County/Cook/Criminal/ -
Report Of Conviction For Misdemeanor DV Federal Firearms Disqualification
Illinois/2 Local County/Cook/Criminal/ -
Supplement To Identity Theft Petition
Illinois/2 Local County/Cook/Criminal/ -
Jury Waiver
Illinois/2 Local County/Cook/Criminal/ -
Order Denying Certificate Of Innocence
Illinois/Local County/Cook/Criminal/ -
Petition For Certificate Of Innocence
Illinois/Local County/Cook/Criminal/ -
Order For Payment Of Court-Appointed Counsel
Illinois/Local County/Cook/Criminal/ -
Order Granting Certificate Of Innocence
Illinois/Local County/Cook/Criminal/ -
Petition For Correction Sealing Arrest Conviction Due To ID Theft
Illinois/Local County/Cook/Criminal/ -
Petition For Expedited Judicial Determination Of Factual Innocence (Financial Identity Theft)
Illinois/Local County/Cook/Criminal/ -
Identity Theft Order
Illinois/Local County/Cook/Criminal/ -
Order Denying Petition Expedited Judicial Determination Factual Innocence (Financial Identity Theft)
Illinois/Local County/Cook/Criminal/ -
Financial Identity Theft Order
Illinois/2 Local County/Cook/Criminal/ -
Order Denying Petition Correction Sealing Arrest Conviction Record ID Theft
Illinois/Local County/Cook/Criminal/ -
Subpoena-Subpoena Duces Tecum
Illinois/2 Local County/Cook/Criminal/ -
Sentencing Credit Order
Illinois/Local County/Cook/Criminal/ -
Sentencing Order
Illinois/2 Local County/Cook/Criminal/ -
Jury Waiver And Waiver Of Pre-Sentence Report
Illinois/Local County/Cook/Criminal/ -
Notice Of Investigation Order
Illinois/2 Local County/Cook/Criminal/ -
Remand Order Out Of County Warrant
Illinois/Local County/Cook/Criminal/ -
Petition For Writ Of Habeas Corpus Ad Testificandum And Order
Illinois/Local County/Cook/Criminal/ -
Problem Solving Court Participant Consent For Release Disclosure Confidential Information
Illinois/2 Local County/Cook/Criminal/ -
Statement Of Employment
Illinois/Local County/Cook/Criminal/ -
Home Confinement Order
Illinois/2 Local County/Cook/Criminal/ -
Appearance
Illinois/Local County/Cook/Criminal/ -
Rule 404 Certification Waiver Of Fees Representation
Illinois/2 Local County/Cook/Criminal/ -
Misdemeanor Referral Order
Illinois/Local County/Cook/Criminal/ -
Misdemeanor Complaint
Illinois/Local County/Cook/Criminal/ -
Supplemental Sentencing Order
Illinois/Local County/Cook/Criminal/ -
Request To Withdraw Records
Illinois/2 Local County/Cook/Criminal/ -
Consular Notification Admonishment Filed
Illinois/Local County/Cook/Criminal/ -
Summons-Individual-Corporation
Illinois/2 Local County/Cook/Criminal/ -
Information
Illinois/Local County/Cook/Criminal/ -
Class C Misdemeanors Ordinance Violations Information And Description Of Defendant
Illinois/Local County/Cook/Criminal/ -
Notice Of Filing
Illinois/Local County/Cook/Criminal/ -
Affidavit In Support Of Petition To Expunge Or Seal
Illinois/Local County/Cook/Criminal/ -
Petition To Seal Criminal Records
Illinois/Local County/Cook/Criminal/ -
Response To Petition To Expunge Or Seal
Illinois/Local County/Cook/Criminal/ -
Order Denying Petition To Seal Criminal Records
Illinois/Local County/Cook/Criminal/ -
Order To Seal Criminal Records
Illinois/Local County/Cook/Criminal/ -
Petition For Certificate Of Relief From Disabilities
Illinois/Local County/Cook/Criminal/ -
Order For Investigation Of Applicant Certificate Of Relief From Disabilities
Illinois/2 Local County/Cook/Criminal/ -
Order Granting Petition For Certificate Of Relief From Disabilities
Illinois/Local County/Cook/Criminal/ -
Order Denying Petition For Certificate Of Relief From Disabilities
Illinois/Local County/Cook/Criminal/ -
Order - Pretrial (EM) By Sheriff
Illinois/Local County/Cook/Criminal/ -
Affidavit For Change Of Name-Address
Illinois/2 Local County/Cook/Criminal/ -
Criminal And Traffic Assessment Order
Illinois/2 Local County/Cook/Criminal/ -
Consent To Participate Drug Court Program
Illinois/Local County/Cook/Criminal/ -
Consent To Participate Mental Health Court Program
Illinois/Local County/Cook/Criminal/ -
Consent To Participate Veterans Court Program
Illinois/Local County/Cook/Criminal/ -
Confidential Protective Order Information Sheet (Sheriffs Use Only)
Illinois/Local County/Cook/Criminal/
Form Preview
Contact Us
Success: Your message was sent.
Thank you!




