Last updated: 12/20/2024
Case Management Order-Forfeiture {CCCO 0034}
Start Your Free Trial $ 6.00What you get:
- Instant access to fillable Microsoft Word or PDF forms.
- Minimize the risk of using outdated forms and eliminate rejected fillings.
- Largest forms database in the USA with more than 80,000 federal, state and agency forms.
- Download, edit, auto-fill multiple forms at once in MS Word using our Forms Workflow Ribbon
- Trusted by 1,000s of Attorneys and Legal Professionals
Description
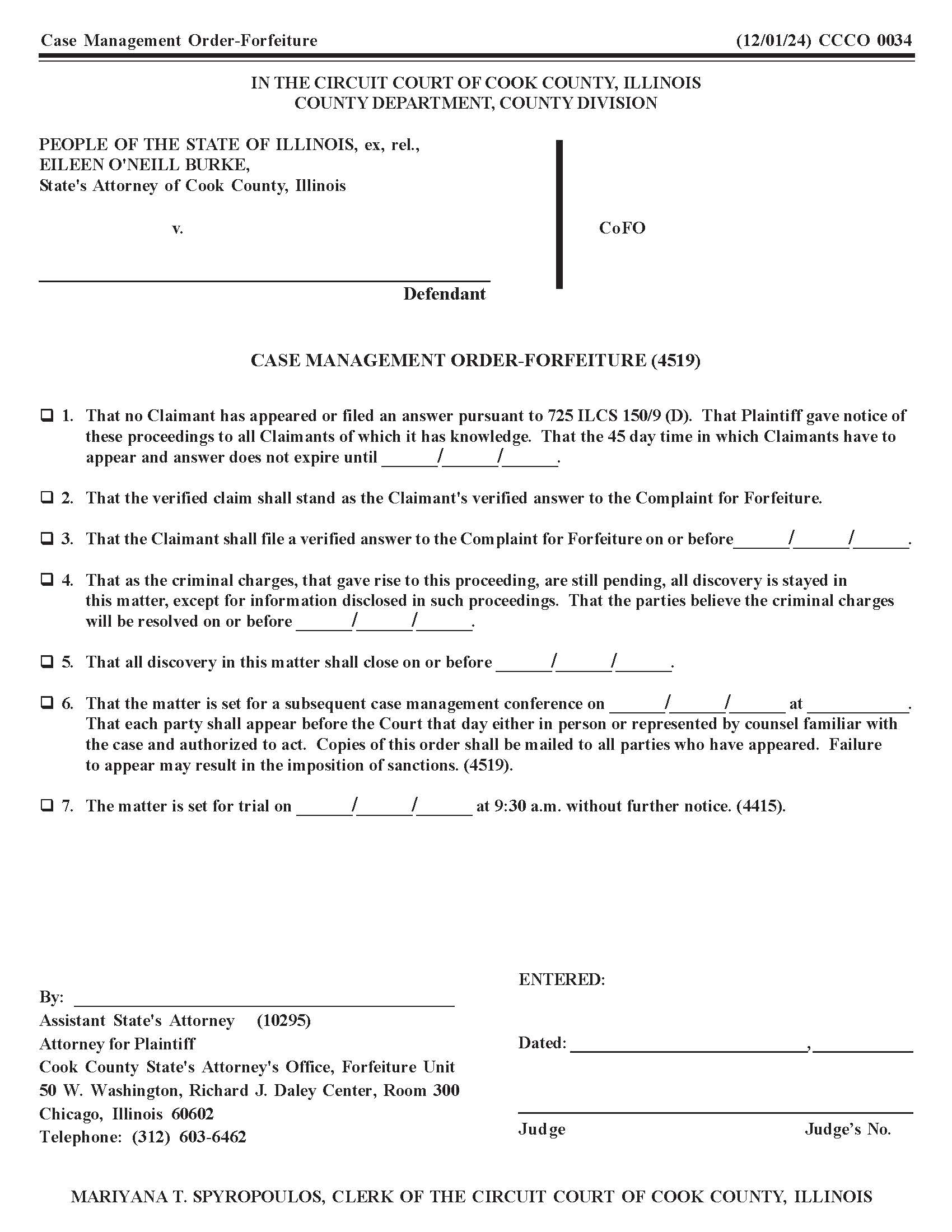
CCCO 0034 - CASE MANAGEMENT ORDER-FORFEITURE. This form is used in the Circuit Court of Cook County, Illinois. It outlines instructions and deadlines related to a forfeiture case involving the People of the State of Illinois as the plaintiff and a defendant. The order includes details such as the absence of claimants, the requirement for a verified answer, the stay of discovery due to pending criminal charges, the closure of discovery, and the scheduling of a case management conference and trial. It also provides contact information for the Assistant State's Attorney representing the plaintiff. www.FormsWorkflow.com
Related forms
-
Certificate And Motion For Default Prove-Up Suburban Municipal District
Illinois/Local County/Cook/County Division/ -
Adoption Subsequent Case Management Order
Illinois/2 Local County/Cook/County Division/ -
Denial Of Paternity With Entry Of Apperance And Consent To Adopt
Illinois/Local County/Cook/County Division/ -
Notice To Putative Father
Illinois/Local County/Cook/County Division/ -
Bond Deposit Order
Illinois/Local County/Cook/County Division/ -
Certificate Of Mailing
Illinois/2 Local County/Cook/County Division/ -
Consent Of A Person Aged Fourteen Or Older
Illinois/Local County/Cook/County Division/ -
Declaration Of Paternity With Entry Of Appearance
Illinois/Local County/Cook/County Division/ -
Final And Irrevocable Consent To Adoption
Illinois/2 Local County/Cook/County Division/ -
Interim Order
Illinois/2 Local County/Cook/County Division/ -
Judgment Order Of Emancipation (Of Minor)
Illinois/Local County/Cook/County Division/ -
Notice Of Hearing
Illinois/Local County/Cook/County Division/ -
Petition For Declaration Of Emancipation Of Minor
Illinois/Local County/Cook/County Division/ -
Petition For Appointment Of Confidential Intermediary
Illinois/Local County/Cook/County Division/ -
Request For Notice To Putative Father
Illinois/Local County/Cook/County Division/ -
Reassignment - Transfer Order
Illinois/2 Local County/Cook/County Division/ -
Affidavit Of Identification
Illinois/Local County/Cook/County Division/ -
Consent To Adoption Of Unborn Child (Only Executed By Male)
Illinois/2 Local County/Cook/County Division/ -
Case Management Order-Forfeiture
Illinois/Local County/Cook/County Division/ -
Stipulated Dismissal Order
Illinois/Local County/Cook/County Division/ -
Order Pursuant To 735 ILCS 5 2-1009
Illinois/Local County/Cook/County Division/ -
Order Upon Review Of Treatment Plan Pursuant To 405 ILCS 3-814
Illinois/2 Local County/Cook/County Division/ -
Judgment Order
Illinois/Local County/Cook/County Division/ -
Judgment Order
Illinois/2 Local County/Cook/County Division/ -
Trial Management Call Order
Illinois/2 Local County/Cook/County Division/ -
Case Management Order
Illinois/2 Local County/Cook/County Division/ -
Affidavit Of Adopting Parents Original-Amended
Illinois/Local County/Cook/County Division/ -
Order And Certification Of An Appeal (Adoption)
Illinois/Local County/Cook/County Division/ -
Birth Parent Medical Information
Illinois/Local County/Cook/County Division/ -
Preliminary Review Order
Illinois/2 Local County/Cook/County Division/ -
Notice Of Hearing [Involuntary Commitment]
Illinois/Local County/Cook/County Division/ -
Order For Detention Examination Evaluation
Illinois/2 Local County/Cook/County Division/ -
Order Upon Review Of Treatment Plan Pursuant To 405 ILCS 3-814
Illinois/2 Local County/Cook/County Division/ -
Certificate Of Examination
Illinois/2 Local County/Cook/County Division/ -
Civil Asset Forfeiture Subsequent Case Management Order
Illinois/Local County/Cook/County Division/ -
Final And Irrevocable Consent To Adoption Specific Person(s) Non-DCFS
Illinois/2 Local County/Cook/County Division/ -
Final And Irrevocable Waiver Of Parental Rights Putative-Legal Father
Illinois/Local County/Cook/County Division/ -
Adoption Initial Case Management Order
Illinois/Local County/Cook/County Division/ -
Civil Asset Forfeiture Initial Case Management Order
Illinois/2 Local County/Cook/County Division/ -
Authorization For Access To Records Of Court Proceedings
Illinois/Local County/Cook/County Division/ -
County Division Action Cover Sheet
Illinois/Local County/Cook/County Division/ -
Affidavit In Support Of Petition To Adopt
Illinois/Local County/Cook/County Division/ -
Request For Certified Copies Of Court Records In Adoption Proceedings
Illinois/Local County/Cook/County Division/
Form Preview
Contact Us
Success: Your message was sent.
Thank you!




