Last updated: 3/6/2025
Plaintiffs Certification Of Compliance IL Supreme Court Order Residential Eviction {CCM 0049}
Start Your Free Trial $ 6.00What you get:
- Instant access to fillable Microsoft Word or PDF forms.
- Minimize the risk of using outdated forms and eliminate rejected fillings.
- Largest forms database in the USA with more than 80,000 federal, state and agency forms.
- Download, edit, auto-fill multiple forms at once in MS Word using our Forms Workflow Ribbon
- Trusted by 1,000s of Attorneys and Legal Professionals
Description
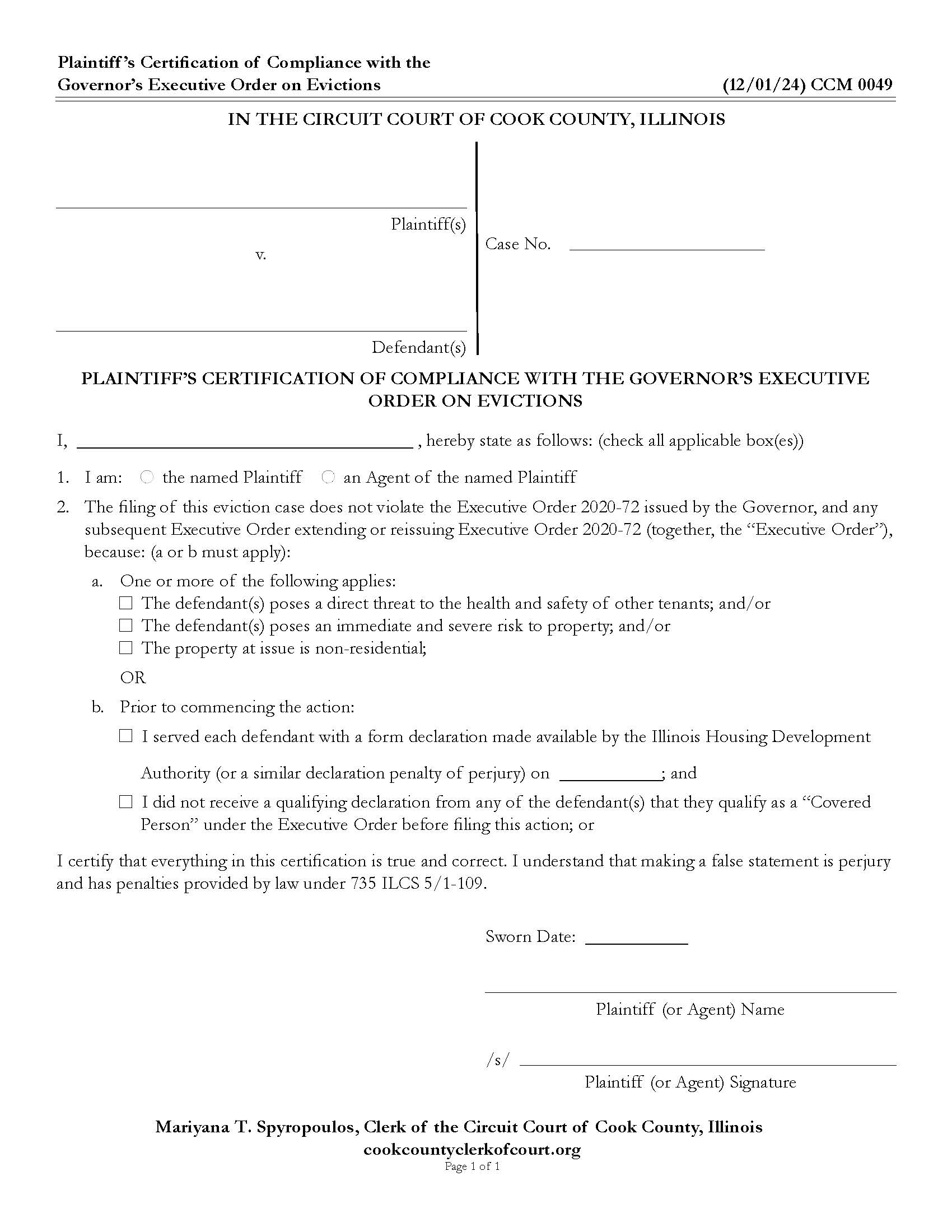
CCM 0049 - PLAINTIFF’S CERTIFICATION OF COMPLIANCE WITH THE GOVERNOR’S EXECUTIVE ORDER ON EVICTIONS. The purpose of this document is to certify that the eviction case being filed does not violate the Executive Order 2020-72 issued by the Governor of Illinois, and any subsequent Executive Order extending or reissuing Executive Order 2020-72. The form requires the plaintiff or plaintiff's agent to indicate the reasons why the eviction case does not violate the Executive Order, such as if the defendant poses a direct threat to the health and safety of other tenants or if the property at issue is non-residential. Additionally, the plaintiff must certify that prior to commencing the eviction action, the defendant owed rent and was served with a form declaration made available by the Illinois Housing Development Authority (or similar declaration under penalty of perjury), and that the plaintiff did not receive a qualifying declaration from any of the defendants that they qualify as a "Covered Person" under the Executive Order before filing the action. The plaintiff must sign and date the certification under penalty of perjury and certify that everything in the certification is true and correct. This document is likely to be filed with the Cook County Circuit Court along with the eviction case. www.FormsWorkflow.com
Related forms
-
Complaint For Possession Only-Forcible Detainer
Illinois/Local County/Cook/Civil/ -
Room 1401 Contested Motion Briefing Schedule Order
Illinois/2 Local County/Cook/Civil/ -
Status-Progress Call Order
Illinois/2 Local County/Cook/Civil/ -
Administrative Review Parking Violation Vehicle Impoundment Hearing Information Sheet
Illinois/2 Local County/Cook/Civil/ -
Pro Se Complaint For Illinois Administrative Review
Illinois/Local County/Cook/Civil/ -
Answer - Verified
Illinois/2 Local County/Cook/Civil/ -
Answer
Illinois/2 Local County/Cook/Civil/ -
Complaint Verified
Illinois/Local County/Cook/Civil/ -
Summons To Confirm Judgment By Confession
Illinois/Local County/Cook/Civil/ -
Summons Objection To Fast Track Demolition
Illinois/2 Local County/Cook/Civil/ -
Motion To Unseal Records
Illinois/2 Local County/Cook/Civil/ -
Order (Courtroom 1401 Check-Off Form)
Illinois/Local County/Cook/Civil/ -
Joint Action Commercial Eviction Complaint - Rent-Damage Claims
Illinois/Local County/Cook/Civil/ -
Complaint For Commercial Eviction Only
Illinois/Local County/Cook/Civil/ -
Eviction Jury Demand Transfer Order
Illinois/Local County/Cook/Civil/ -
Specification Of Errors
Illinois/Local County/Cook/Civil/ -
Summons After Conditional Judgment
Illinois/Local County/Cook/Civil/ -
Sealing Order
Illinois/2 Local County/Cook/Civil/ -
Petition For Change Of Venue
Illinois/Local County/Cook/Civil/ -
Complaint Detinue
Illinois/2 Local County/Cook/Civil/ -
Trial Of Right Of Property Complaint
Illinois/Local County/Cook/Civil/ -
Change Of Address Notification For Pro Se Litigants
Illinois/Local County/Cook/Civil/ -
Jury Verdict Plaintiff
Illinois/Local County/Cook/Civil/ -
Order On Motion File Appearance Answer Or Jury Demand
Illinois/Local County/Cook/Civil/ -
Plaintiffs Certification Of Compliance IL Supreme Court Order Residential Eviction
Illinois/Local County/Cook/Civil/ -
Wage Deduction Order-Turnover Order
Illinois/Local County/Cook/Civil/ -
Supplementary Wage Deduction Order - Turnover Order
Illinois/2 Local County/Cook/Civil/ -
Declaration Under Penalty Of Perjury (Tenant COVID Form)
Illinois/2 Local County/Cook/Civil/ -
Affidavit For Garnishment (Non-Wage)
Illinois/2 Local County/Cook/Civil/ -
Transfer Order To Presiding Judge 1301
Illinois/2 Local County/Cook/Civil/ -
Reassignment-Transfer Order
Illinois/2 Local County/Cook/Civil/ -
Notice Of Hearing For The Issuance Of An Order Of Replevin
Illinois/Local County/Cook/Civil/ -
Eviction Summons (Non-Residential)
Illinois/Local County/Cook/Civil/ -
Notice Requiring Appearance In Pending Action
Illinois/Local County/Cook/Civil/ -
Complaint Not Verfied
Illinois/Local County/Cook/Civil/ -
Answer To Citation Proceeding
Illinois/Local County/Cook/Civil/ -
Rule To Show Cause-Failure To Appear (Citation)
Illinois/Local County/Cook/Civil/ -
Complaint For Illinois Administrative Review
Illinois/Local County/Cook/Civil/ -
Summons In Administrative Review
Illinois/Local County/Cook/Civil/ -
Administrative Review Cover Sheet
Illinois/Local County/Cook/Civil/ -
Wage Deduction Order
Illinois/2 Local County/Cook/Civil/ -
Non-Withholding Wage Deduction Order
Illinois/Local County/Cook/Civil/ -
Trial Call Order
Illinois/Local County/Cook/Civil/ -
Civil Action Cover Sheet
Illinois/Local County/Cook/Civil/ -
Agreed Order To Dismiss With Leave To Reinstate
Illinois/2 Local County/Cook/Civil/ -
Order To Transfer Case
Illinois/2 Local County/Cook/Civil/ -
Continuance Order
Illinois/2 Local County/Cook/Civil/ -
Order-Judgment In Detinue
Illinois/2 Local County/Cook/Civil/ -
Order Setting Case For Firm Trial Date And Final Conference
Illinois/2 Local County/Cook/Civil/ -
Rule 218 Case Management Conference Order
Illinois/2 Local County/Cook/Civil/ -
Order Vacating Previous Dismissal
Illinois/2 Local County/Cook/Civil/ -
Notice Of Motion For Extension Of Eviction Writ
Illinois/Local County/Cook/Civil/ -
Intake And SCR 218 Case Management Order
Illinois/2 Local County/Cook/Civil/ -
Order Resetting Mandatory Arbitration Hearing
Illinois/Local County/Cook/Civil/ -
Summons
Illinois/Local County/Cook/Civil/ -
Discovery Closure And Arbitration Order
Illinois/Local County/Cook/Civil/ -
Notice Of Rejection Of Award
Illinois/Local County/Cook/Civil/ -
Notice Of Award
Illinois/Local County/Cook/Civil/ -
Judgment On Award Of Arbitration
Illinois/Local County/Cook/Civil/ -
Order (Motion Hearing Or Disposition Or Other Order)
Illinois/2 Local County/Cook/Civil/ -
Order (Judgment)
Illinois/2 Local County/Cook/Civil/ -
Discovery Closure And Arbitration Order
Illinois/Local County/Cook/Civil/ -
Order For Revival Of Judgment
Illinois/2 Local County/Cook/Civil/ -
Order (Dismissal By Agreement)
Illinois/Local County/Cook/Civil/ -
Attachment For Contempt Order
Illinois/Local County/Cook/Civil/ -
Stay Of Eviction Order
Illinois/Local County/Cook/Civil/ -
Motion Call Order
Illinois/2 Local County/Cook/Civil/ -
Code Order Form 3
Illinois/2 Local County/Cook/Civil/ -
Trial Room Assignment Order
Illinois/Local County/Cook/Civil/ -
Order Striking Arbitration Hearing Dismissal Settlement
Illinois/Local County/Cook/Civil/ -
Order Striking Assignment To Arbitration Arbitration Hearing Return To Trial Call
Illinois/Local County/Cook/Civil/
Form Preview
Contact Us
Success: Your message was sent.
Thank you!




