Last updated: 1/23/2025
Resignation of Guardian of Person {G-6.006}
Start Your Free Trial $ 12.00What you get:
- Instant access to fillable Microsoft Word or PDF forms.
- Minimize the risk of using outdated forms and eliminate rejected fillings.
- Largest forms database in the USA with more than 80,000 federal, state and agency forms.
- Download, edit, auto-fill multiple forms at once in MS Word using our Forms Workflow Ribbon
- Trusted by 1,000s of Attorneys and Legal Professionals
Description
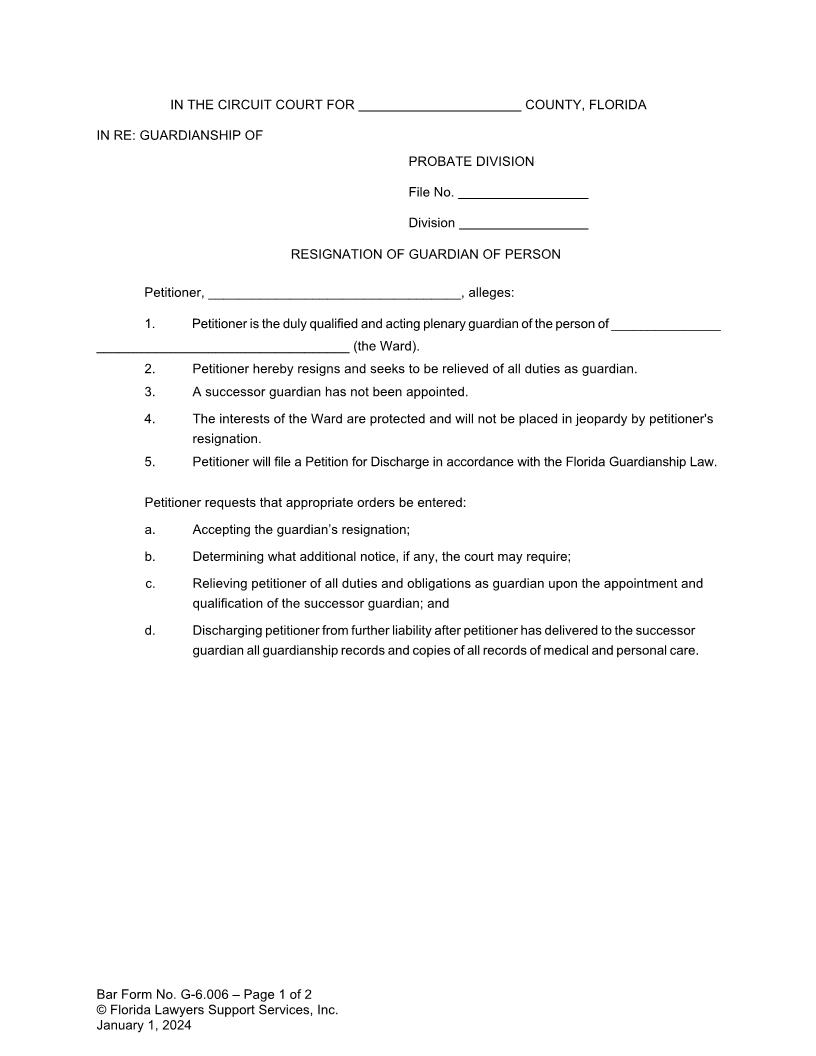
G-6.006 - RESIGNATION OF GUARDIAN OF PERSON. This form is used in the Circuit Court for a specific county in Florida for the purpose of filing a Resignation of Guardian of Person in a guardianship case. The petitioner, who is the guardian, states that they are the duly qualified and acting plenary guardian of the person of the ward mentioned in the form. The petitioner intends to resign from their position as guardian and requests to be relieved of all duties. It is mentioned that a successor guardian has not been appointed yet. The petitioner assures that the ward's interests will not be jeopardized by their resignation. The petitioner also states their intention to file a Petition for Discharge as per the Florida Guardianship Law. The petitioner requests the court to enter appropriate orders, including accepting their resignation, determining any additional notice requirements, relieving them of duties and obligations upon the appointment and qualification of a successor guardian, and discharging them from further liability after delivering all necessary records to the successor guardian. The form includes a declaration under penalties of perjury and provides spaces for the petitioner's signature, attorney's information (if applicable), and contact details. There is also a certification section indicating that the document has been furnished to a specific recipient by the petitioner or their attorney. Bar Form No. G-6.006 © Florida Lawyers Support Services, Inc. January 1, 2025 www.FormsWorkflow.com





