California
Judicial Council
Interpreter
Last updated: 12/31/2024
Certification Of Unavailability Of Certified Or Registered Interpreter {INT-120}
Start Your Free Trial $ 15.99What you get:
- Instant access to fillable Microsoft Word or PDF forms.
- Minimize the risk of using outdated forms and eliminate rejected fillings.
- Largest forms database in the USA with more than 80,000 federal, state and agency forms.
- Download, edit, auto-fill multiple forms at once in MS Word using our Forms Workflow Ribbon
- Trusted by 1,000s of Attorneys and Legal Professionals
Description
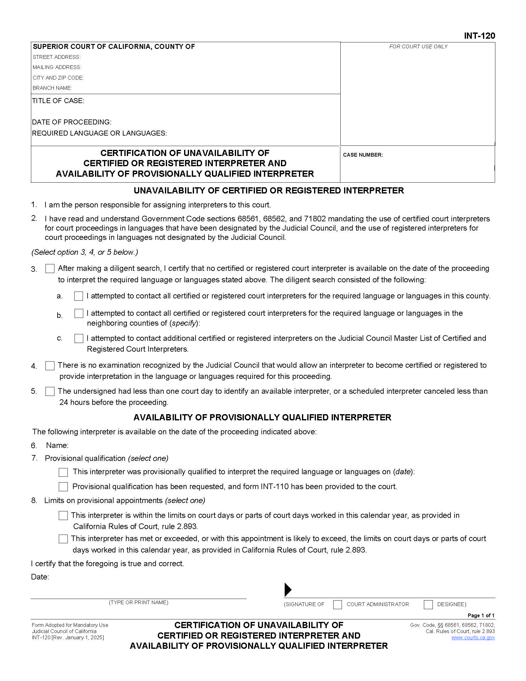
INT-120 - CERTIFICATION OF UNAVAILABILITY OF CERTIFIED OR REGISTERED INTERPRETER AND AVAILABILITY OF PROVISIONALLY QUALIFIED INTERPRETER. This form is used by Courts to certify that diligent efforts have been made to locate a certified or registered interpreter and that there is no certified or registered court interpreter available for a specific date and language. Form Adopted for Mandatory Use Judicial Council of California. Gov. Code, §§ 68561, 68562, 71802; Cal. Rules of Court, rule 2.893. www.FormsWorkflow.com
Related forms
Our Products





