Last updated: 3/7/2025
Petition For Determination Of Heirship {PC 902}
Start Your Free Trial $ 0.00What you get:
- Instant access to fillable Microsoft Word or PDF forms.
- Minimize the risk of using outdated forms and eliminate rejected fillings.
- Largest forms database in the USA with more than 80,000 federal, state and agency forms.
- Download, edit, auto-fill multiple forms at once in MS Word using our Forms Workflow Ribbon
- Trusted by 1,000s of Attorneys and Legal Professionals
Description
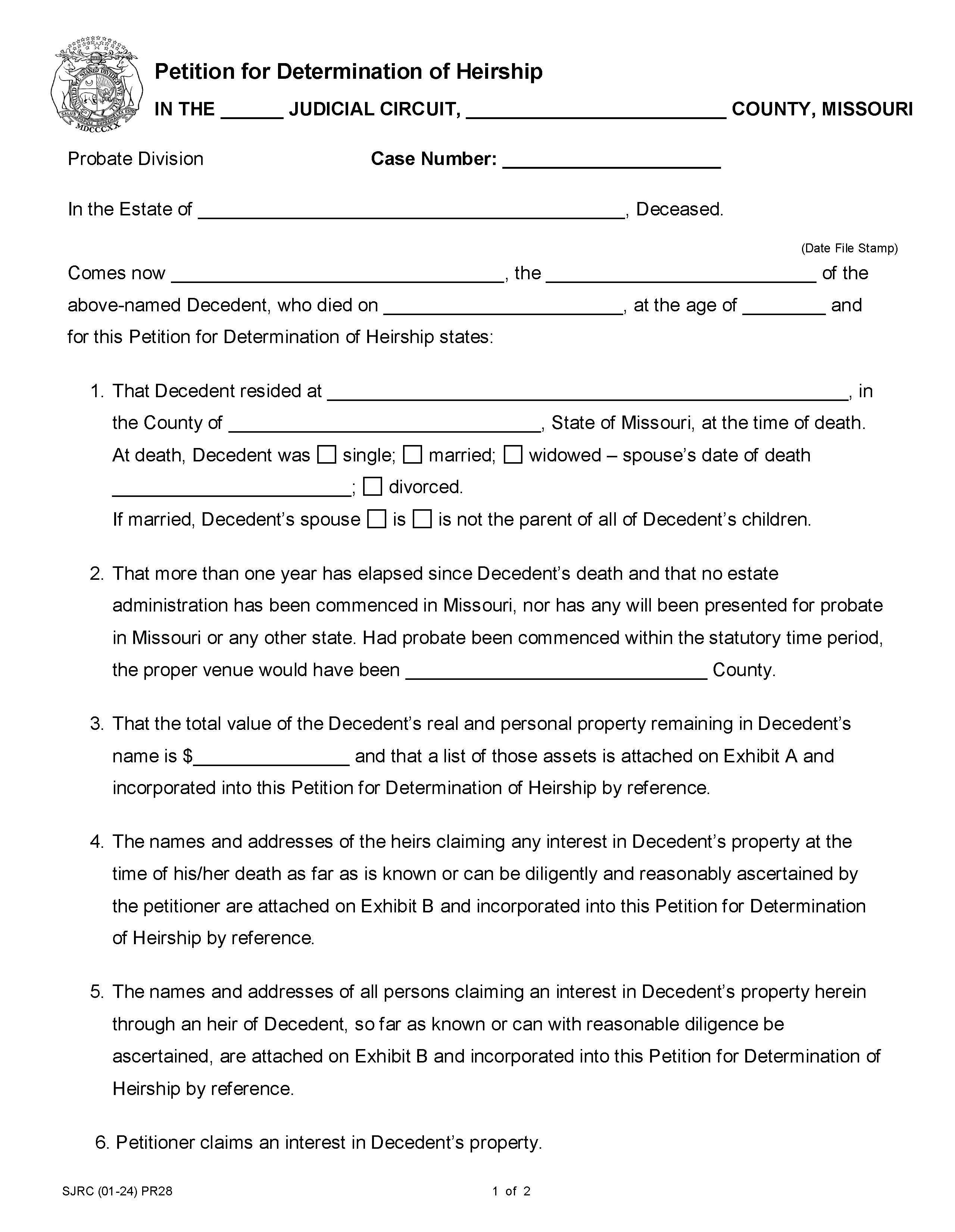
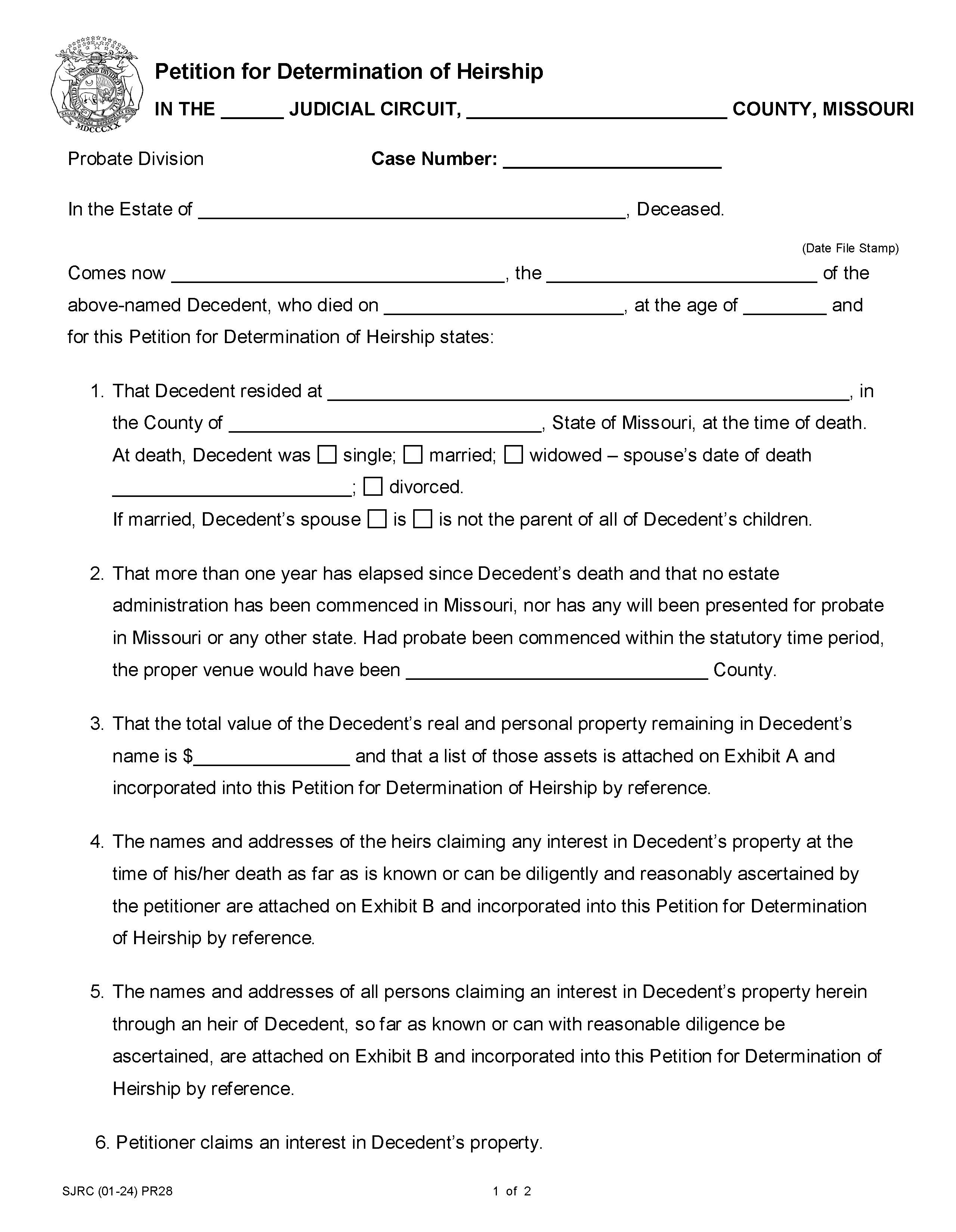
PETITION FOR DETERMINATION OF HEIRSHIP. This form is used in Missouri probate court to request a legal determination of the rightful heirs of a deceased person's estate. It is typically filed when the decedent did not leave a will (or if no will has been presented for probate) and no formal probate proceedings have been initiated. The petition outlines the decedent's personal information, the value of the estate, and the identities of the heirs. It includes attachments (Exhibit A and Exhibit B) listing the decedent's assets and the heirs or potential heirs, as well as any persons claiming an interest through those heirs. The petitioner requests that the court officially identify the heirs and authorize the transfer of assets to them according to Missouri law. The petition is typically filed by an interested party (such as a family member or other person claiming an interest in the estate), and the court will use the petition to make a ruling on the heirs and the distribution of the estate. www.FormsWorkflow.com
Related forms
-
Affidavit For Collection Of Small Estate Intestate
Missouri/Local Circuit Courts/31st Circuit/Probate -
Application For Letters With Will Annexed
Missouri/Local Circuit Courts/st Circuit/Probate -
Affidavit For Collection Of Small Estate Testate
Missouri/Local Circuit Courts/st Circuit/Probate -
Bond Of Distributees
Missouri/Local Circuit Courts/st Circuit/Probate -
Decree Of Determination Of Heirship
Missouri/Local Circuit Courts/st Circuit/Probate -
Application For Letters Of Administration
Missouri/Local Circuit Courts/st Circuit/Probate -
Creditors Bond
Missouri/Local Circuit Courts/st Circuit/Probate -
Annual Or Final Settlement
Missouri/Local Circuit Courts/st Circuit/Probate -
Application For Probate Of Will
Missouri/Local Circuit Courts/st Circuit/Probate -
Claim Against Estate
Missouri/Local Circuit Courts/st Circuit/Probate -
Interrogatories To Physician
Missouri/Local Circuit Courts/st Circuit/Probate -
Judgment
Missouri/Local Circuit Courts/st Circuit/Probate -
Notice Of Hearing To Determine Heirship
Missouri/Local Circuit Courts/st Circuit/Probate -
Judgment Order Of Complete Settlement
Missouri/Local Circuit Courts/st Circuit/Probate -
Notice Of Filing Of Statement Of Account
Missouri/Local Circuit Courts/st Circuit/Probate -
Notice Of Filing Of Final Settlement
Missouri/Local Circuit Courts/st Circuit/Probate -
Finding And Order Of Discharge
Missouri/Local Circuit Courts/st Circuit/Probate -
Inventory And Appraisement
Missouri/Local Circuit Courts/st Circuit/Probate -
Order To Sell Personal Property
Missouri/Local Circuit Courts/st Circuit/Probate -
Order Dispensing With Filing Of Bond
Missouri/Local Circuit Courts/st Circuit/Probate -
Order For Expenditures
Missouri/Local Circuit Courts/st Circuit/Probate -
Petition For Appointment Of Guardian Or Conservator
Missouri/Local Circuit Courts/st Circuit/Probate -
Petition For Appointment Of Guardian And Conservator Of Minor
Missouri/Local Circuit Courts/st Circuit/Probate -
Order To Sell Real Property
Missouri/Local Circuit Courts/st Circuit/Probate -
Order Approving And Confirming Sale Of Real Estate
Missouri/Local Circuit Courts/st Circuit/Probate -
Petition For Approval Of Final Settlement
Missouri/Local Circuit Courts/st Circuit/Probate -
Order For Support And Maintenance
Missouri/Local Circuit Courts/st Circuit/Probate -
Order For Hearing On Petition For Determination Of Heirship
Missouri/Local Circuit Courts/st Circuit/Probate -
Petition For Expenditure Of Funds
Missouri/Local Circuit Courts/st Circuit/Probate -
Petition For Sale Of Personal Property
Missouri/Local Circuit Courts/st Circuit/Probate -
Statement Of Account Of Independent Personal Representative
Missouri/Local Circuit Courts/st Circuit/Probate -
Petition For Order To Sell Real Property
Missouri/Local Circuit Courts/st Circuit/Probate -
Petition To Terminate Guardianship Of Minor
Missouri/Local Circuit Courts/st Circuit/Probate -
Petition To Require Administration
Missouri/Local Circuit Courts/st Circuit/Probate -
Petition For Order Of Complete Settlement
Missouri/Local Circuit Courts/st Circuit/Probate -
Petition For Support And Maintenance
Missouri/Local Circuit Courts/st Circuit/Probate -
Guardians Annual Status Report
Missouri/Local Circuit Courts/st Circuit/Probate -
Petition For Compensation Of Rep Or Attorney
Missouri/Local Circuit Courts/st Circuit/Probate -
Petition For Determination Of Heirship
Missouri/Local Circuit Courts/st Circuit/Probate -
Designation Of Agent For Service Of Process
Missouri/Local Circuit Courts/st Circuit/Probate -
Annual Status Report Of Minor
Missouri/Local Circuit Courts/st Circuit/Probate
Form Preview
Contact Us
Success: Your message was sent.
Thank you!




