Last updated: 10/22/2024
Temporary Extreme Risk Protection Order {ERO-1)
Start Your Free Trial $ 6.00What you get:
- Instant access to fillable Microsoft Word or PDF forms.
- Minimize the risk of using outdated forms and eliminate rejected fillings.
- Largest forms database in the USA with more than 80,000 federal, state and agency forms.
- Download, edit, auto-fill multiple forms at once in MS Word using our Forms Workflow Ribbon
- Trusted by 1,000s of Attorneys and Legal Professionals
Description
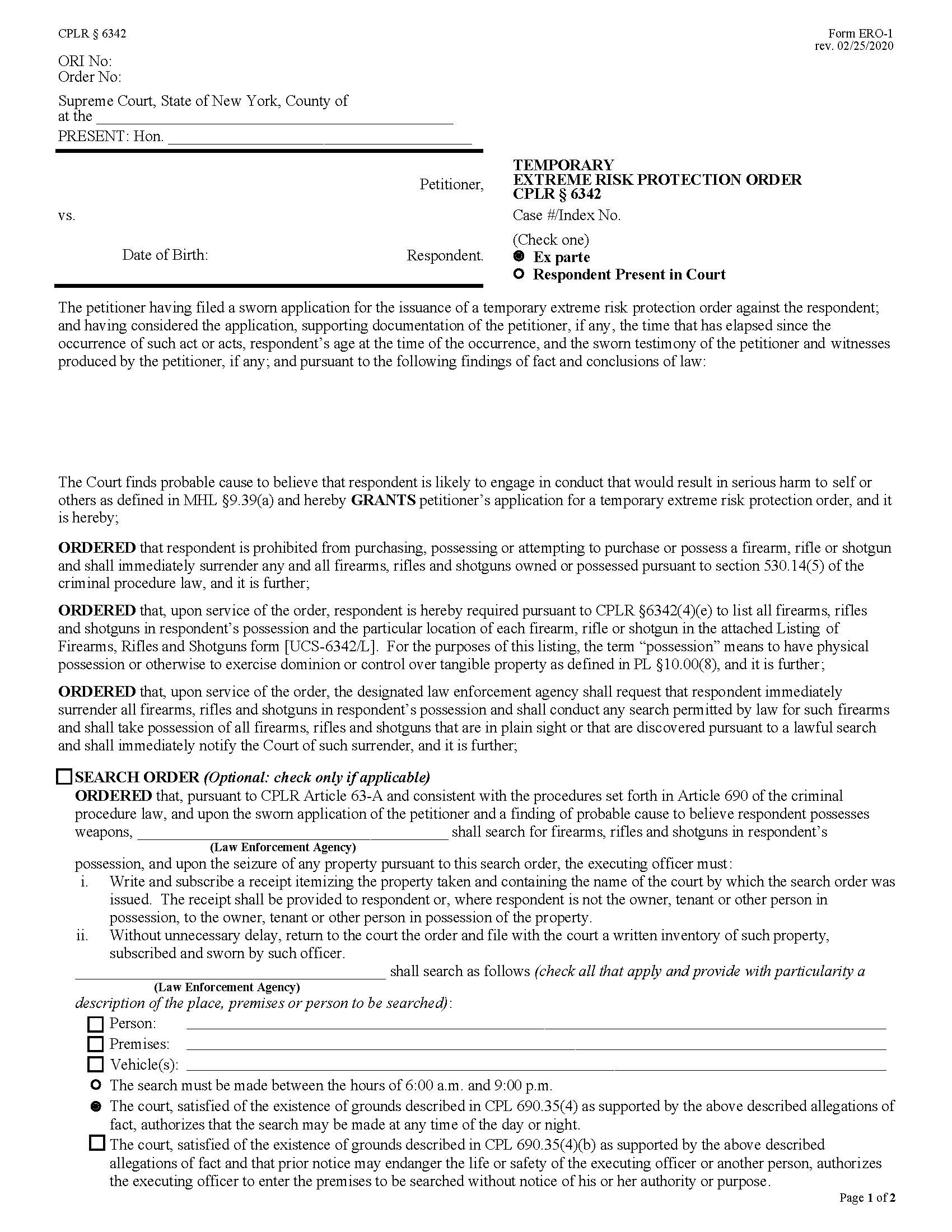
Form ERO-1 - TEMPORARY EXTREME RISK PROTECTION ORDER CPLR § 6342. This form is used in New York to issue a temporary order that prohibits a respondent from purchasing or possessing firearms, rifles, or shotguns. This order is typically sought when there is a belief that the respondent poses a risk of serious harm to themselves or others. The court considers the petitioner's application, supporting documentation, and testimony before granting the order. If granted, the respondent must surrender any firearms in their possession and list them with specific details. The order may also include provisions for law enforcement to conduct searches for any firearms in the respondent's possession and outlines confidentiality measures for the petitioner. Additionally, a hearing is mandated to determine whether a final extreme risk protection order will be issued, allowing both parties to present their cases. www.FormsWorkflow.com





