Last updated: 10/24/2024
Scheduling Order (Judge Paek)
Start Your Free Trial $ 22.00What you get:
- Instant access to fillable Microsoft Word or PDF forms.
- Minimize the risk of using outdated forms and eliminate rejected fillings.
- Largest forms database in the USA with more than 80,000 federal, state and agency forms.
- Download, edit, auto-fill multiple forms at once in MS Word using our Forms Workflow Ribbon
- Trusted by 1,000s of Attorneys and Legal Professionals
Description
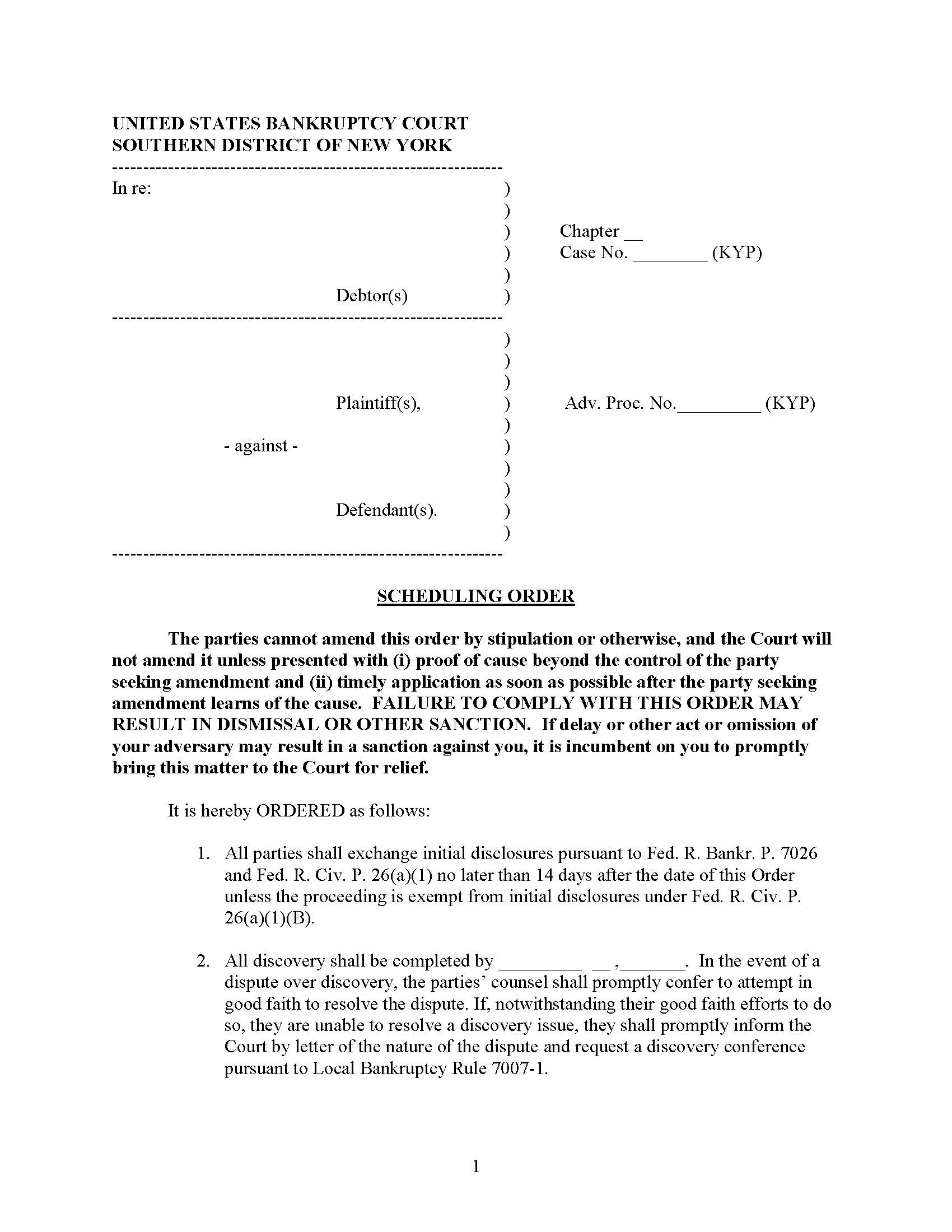
SCHEDULING ORDER. This form is used in bankruptcy court to establish deadlines and procedures for adversary proceedings. It outlines deadlines for initial disclosures, completing discovery, and moving for summary judgment. It sets a date for the final pretrial conference, requires parties to exchange witness lists, and mandates the preparation of a joint exhibit book. Parties must submit witness declarations or affidavits before trial. The order warns that failure to comply may result in sanctions or dismissal, and amendments to the order require proof of cause beyond the party’s control. www.FormsWorkflow.com
Related forms
-
Application For Inclusion On Courts Register Of Mediators
New York/Federal/Bankruptcy Court/Southern District/ -
Summons To Debtor In Involuntary Case (Manhattan)
New York/Federal/Bankruptcy Court/Southern District/ -
Summons To Debtor In Involuntary Case (Poughkeepsie)
New York/Federal/Bankruptcy Court/Southern District/ -
Summons To Debtor In Involuntary Case (White Plains)
New York/Federal/Bankruptcy Court/Southern District/ -
Closing Report In A Chapter 11 Case
New York/Federal/Bankruptcy Court/Southern District/ -
Cover Sheet For Direct Appeal Of A Bankruptcy Court Decision
New York/Federal/Bankruptcy Court/Southern District/ -
Notice Withdrawal Of Reference - Receipt From Bankruptcy Court
New York/Federal/Bankruptcy Court/Southern District/ -
Order Granting Admission To Practice Pro Hac Vice
New York/Federal/Bankruptcy Court/Southern District/ -
Notice Of Presentment And Opportunity For Hearing
New York/Federal/Bankruptcy Court/Southern District/ -
Request For Waiver Of Debtors Duty To Comply WIth Credit Counseling Requirement (And Order)
New York/Federal/Bankruptcy Court/Southern District/ -
Motion For Admission To Practice Pro Hac Vice
New York/Federal/Bankruptcy Court/Southern District/ -
Summons And Notice Of Pretrial Conference In An Adversarial Proceeding (Manhattan)
New York/Federal/Bankruptcy Court/Southern District/ -
Summons And Notice Of Pretrial Conference In An Adversarial Proceeding (White Plains)
New York/Federal/Bankruptcy Court/Southern District/ -
Summons And Notice Of Pretrial Conference In An Adversarial Proceeding (Poughkeepsie)
New York/Federal/Bankruptcy Court/Southern District/ -
Application For An Order Appointing Claims And Noticing Agent For The Debtors
New York/Federal/Bankruptcy Court/Southern District/ -
Application For An Order Authorizing Debtors To Terminate Retention Of Claims And Noticing Agent
New York/Federal/Bankruptcy Court/Southern District/ -
Notice of Proposed Order (Retention Of Claims And Noticing Agent)
New York/Federal/Bankruptcy Court/Southern District/ -
Notice Of Proposed Order Authorizing Debtors to Terminate Retention Of Claims And Noticing Agent
New York/Federal/Bankruptcy Court/Southern District/ -
Order Authorizing Retention And Appointment Of Claims And Agent And Granting Related Relief
New York/Federal/Bankruptcy Court/Southern District/ -
Order Terminating Services Of Claims And Noticing Agent
New York/Federal/Bankruptcy Court/Southern District/ -
Creditors Request For Termination Of Loss Mitigation
New York/Federal/Bankruptcy Court/Southern District/ -
Debtor Loss Mitigation Affidavit
New York/Federal/Bankruptcy Court/Southern District/ -
Loss Mitigation Final Report
New York/Federal/Bankruptcy Court/Southern District/ -
Creditor Loss Mitigation Affidavit
New York/Federal/Bankruptcy Court/Southern District/ -
Schedule A Current Interim Fee Period
New York/Federal/Bankruptcy Court/Southern District/ -
Schedule B Final Fee Application Totals
New York/Federal/Bankruptcy Court/Southern District/ -
Declaration Of Service
New York/Federal/Bankruptcy Court/Southern District/ -
Order Directing Payment (Unclaimed Dividends)
New York/Federal/Bankruptcy Court/Southern District/ -
Order Voiding Junior Mortgage Lien
New York/Federal/Bankruptcy Court/Southern District/ -
Declaration Of Service (Unclaimed Funds)
New York/5 Federal/Bankruptcy Court/Southern District/ -
Order Granting In Rem Relief From Automatic Stay (Judge Lane)
New York/5 Federal/Bankruptcy Court/Southern District/ -
Order Pursuant To 11 USC 362(d) Modifying Automatic Stay (Judge Lane)
New York/5 Federal/Bankruptcy Court/Southern District/ -
Order Rule 2004 FRBP Examination Production Of Documents (Judge Lane)
New York/5 Federal/Bankruptcy Court/Southern District/ -
Order Extending Automatic Stay 11 USC Section 362(c)(3)(B) (Judge Lane)
New York/5 Federal/Bankruptcy Court/Southern District/ -
Scheduling And Pre-Trial Order (Judge Lane)
New York/5 Federal/Bankruptcy Court/Southern District/ -
Order Directing Correction Of Debtors Social Security Number (Judge Lane)
New York/5 Federal/Bankruptcy Court/Southern District/ -
Order Adjourning Loss Mitigation Status Conference (Judge Lane)
New York/5 Federal/Bankruptcy Court/Southern District/ -
Loss Mitigation Order (Judge Lane)
New York/5 Federal/Bankruptcy Court/Southern District/ -
Order Voiding Junior Mortgage Lien (Judge Lane)
New York/5 Federal/Bankruptcy Court/Southern District/ -
Scheduling Order (Judge Jones)
New York/5 Federal/Bankruptcy Court/Southern District/ -
Joint Pretrial Order (Proposed - Judge Jones)
New York/5 Federal/Bankruptcy Court/Southern District/ -
Order Granting Approval Amended Plan Under CARES Act (Judge Lane)
New York/5 Federal/Bankruptcy Court/Southern District/ -
Order Rule 2004 FRBP Examination Production Of Documents (Judge Jones)
New York/5 Federal/Bankruptcy Court/Southern District/ -
Joint Pre-Trial Order (Proposed - Judge Beckerman)
New York/5 Federal/Bankruptcy Court/Southern District/ -
Scheduling And Pre-Trial Order (Proposed - Judge Beckerman)
New York/5 Federal/Bankruptcy Court/Southern District/ -
Order Modifying Automatic Stay After Material Default Under Conditional Order (Judge Lane)
New York/5 Federal/Bankruptcy Court/Southern District/ -
Notice Of Chapter 13 Plan Modification Loss Mitigation [F 3015-1.02.NOTICE.341.LIEN.CNFRM}
New York/5 Federal/Bankruptcy Court/Southern District/ -
Scheduling Order (Judge Morris)
New York/Federal/Bankruptcy Court/Southern District/ -
Joint Pre-Trial Order (Judge Morris)
New York/Federal/Bankruptcy Court/Southern District/ -
Loss Mitigation Order (Judge Morris)
New York/Federal/Bankruptcy Court/Southern District/ -
Order Approving Loan Modification Agreement (Judge Morris)
New York/Federal/Bankruptcy Court/Southern District/ -
Order Approving Trial Loan Modification Agreement (Judge Morris)
New York/Federal/Bankruptcy Court/Southern District/ -
Order Confirming Surrender And Vesting Of Property (Chapter 13)
New York/Federal/Bankruptcy Court/Southern District/ -
Order Confirming Chapter 13 Plan
New York/Federal/Bankruptcy Court/Southern District/ -
Relief From Stay - Real Estate And Cooperative Apartments (4001-1 Form)
New York/Federal/Bankruptcy Court/Southern District/ -
Loss Mitigation Request - By A Creditor
New York/Federal/Bankruptcy Court/Southern District/ -
Loss Mitigation Order
New York/Federal/Bankruptcy Court/Southern District/ -
Notice Of Loss Mitigation Request (From Debtor)
New York/Federal/Bankruptcy Court/Southern District/ -
Loss Mitigation Request - By The Debtor
New York/Federal/Bankruptcy Court/Southern District/ -
Order Directing Correction Of Debtors Social Security Number (Judge Morris)
New York/Federal/Bankruptcy Court/Southern District/ -
Order Approving Loan Modification Agreement (Judge Lane)
New York/5 Federal/Bankruptcy Court/Southern District/ -
Order Approving Trial Loan Modification Agreement (Judge Lane)
New York/5 Federal/Bankruptcy Court/Southern District/ -
(Proposed) Joint Pretrial Order (Judge Bentley
New York/Federal/Bankruptcy Court/Southern District/ -
Order Pursuant To Rule 2004 FRBP (Discovery) (Judge Bentley)
New York/Federal/Bankruptcy Court/Southern District/ -
Scheduling Order (Judge Bentley)
New York/Federal/Bankruptcy Court/Southern District/ -
Chapter 13 Plan
New York/Federal/Bankruptcy Court/Southern District/ -
Notice Of Loss-Mitigation Request (From Debtor)
New York/Federal/Bankruptcy Court/Southern District/ -
Order Confirming Automatic Stay Does Not Apply To This Case
New York/5 Federal/Bankruptcy Court/Southern District/ -
Joint Pretrial Order (Proposed - Judge Glenn)
New York/Federal/Bankruptcy Court/Southern District/ -
Order On Application To Bring Electronic Devices To Court For Trial Or Proceeding
New York/Federal/Bankruptcy Court/Southern District/ -
Joint Pretrial Order (Proposed - Judge Paek)
New York/Federal/Bankruptcy Court/Southern District/ -
Scheduling Order (Judge Paek)
New York/Federal/Bankruptcy Court/Southern District/ -
Order Directing Correction Of Debtors Social Security Number (Judge Paek)
New York/Federal/Bankruptcy Court/Southern District/ -
Final Report Of Mediator
New York/Federal/Bankruptcy Court/Southern District/
Form Preview
Contact Us
Success: Your message was sent.
Thank you!




