Last updated: 11/19/2024
Final Pretrial Order Equitable Distribution {DUR-DOM-20}
Start Your Free Trial $ 39.99What you get:
- Instant access to fillable Microsoft Word or PDF forms.
- Minimize the risk of using outdated forms and eliminate rejected fillings.
- Largest forms database in the USA with more than 80,000 federal, state and agency forms.
- Download, edit, auto-fill multiple forms at once in MS Word using our Forms Workflow Ribbon
- Trusted by 1,000s of Attorneys and Legal Professionals
Description
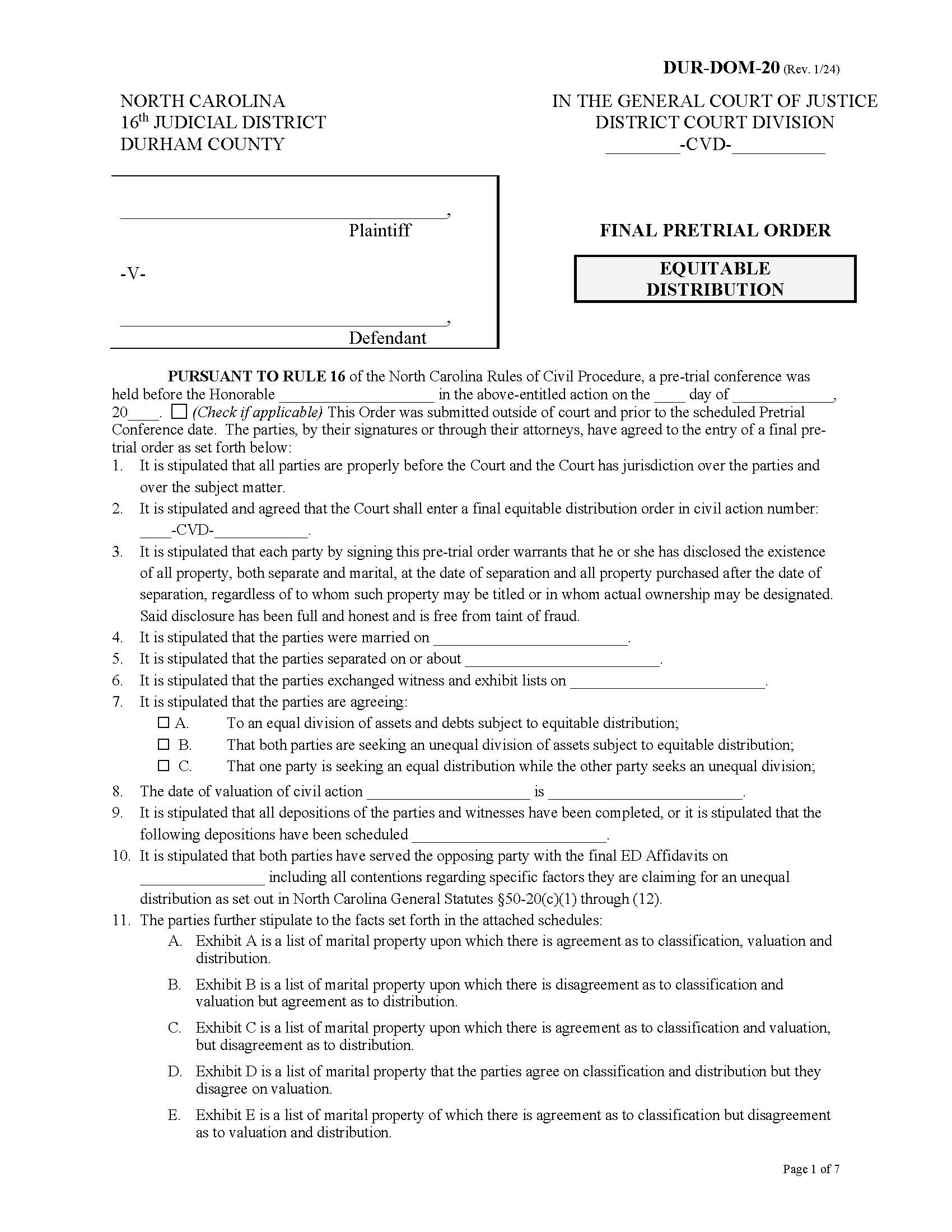
DUR-DOM-20 - FINAL PRETRIAL ORDER EQUITABLE DISTRIBUTION. This form is used in North Carolina family law cases involving equitable distribution, the division of marital property and debts. It documents agreements and stipulations between the parties, ensuring full disclosure of assets, debts, and relevant facts before trial. The form confirms the court's jurisdiction, outlines the details of the marriage and separation, and lists assets and debts with classification, valuation, and distribution details. It includes exhibits showing agreed or disputed items, such as property and debts, and provides for the scheduling of the final trial. It also includes a certificate of service confirming that the order was provided to the opposing party. www.FormsWorkflow.com





