Last updated: 8/16/2024
Attachment To Judgment-Spousal Support {FAM-008}
Start Your Free Trial $ 14.00What you get:
- Instant access to fillable Microsoft Word or PDF forms.
- Minimize the risk of using outdated forms and eliminate rejected fillings.
- Largest forms database in the USA with more than 80,000 federal, state and agency forms.
- Download, edit, auto-fill multiple forms at once in MS Word using our Forms Workflow Ribbon
- Trusted by 1,000s of Attorneys and Legal Professionals
Description
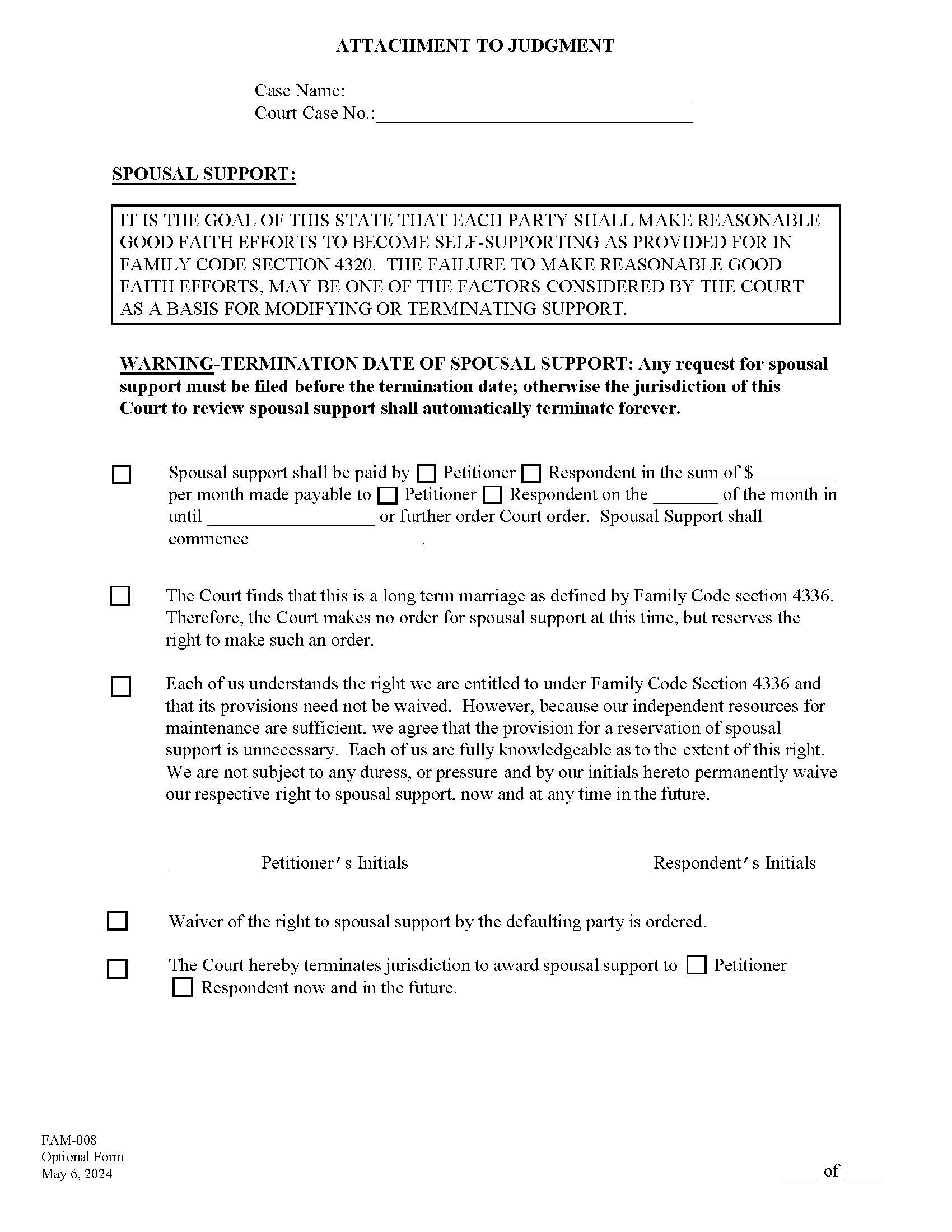
FAM-008 - ATTACHMENT TO JUDGMENT SPOUSAL SUPPORT. This form is used in family law cases to establish, modify, or terminate spousal support as part of the court's final judgment. The form outlines the payment details, such as the amount, payor, payee, and duration of spousal support. It also includes provisions for long-term marriages, allowing the court to reserve the right to order support later or for the parties to waive spousal support rights entirely. It contains warnings about the termination of spousal support and emphasizes the expectation that both parties will make good faith efforts to become self-supporting. www.FormsWorkflow.com





