Last updated: 8/23/2024
Franchise Broker Registration Form {Form I}
Start Your Free Trial $ 15.99What you get:
- Instant access to fillable Microsoft Word or PDF forms.
- Minimize the risk of using outdated forms and eliminate rejected fillings.
- Largest forms database in the USA with more than 80,000 federal, state and agency forms.
- Download, edit, auto-fill multiple forms at once in MS Word using our Forms Workflow Ribbon
- Trusted by 1,000s of Attorneys and Legal Professionals
Description
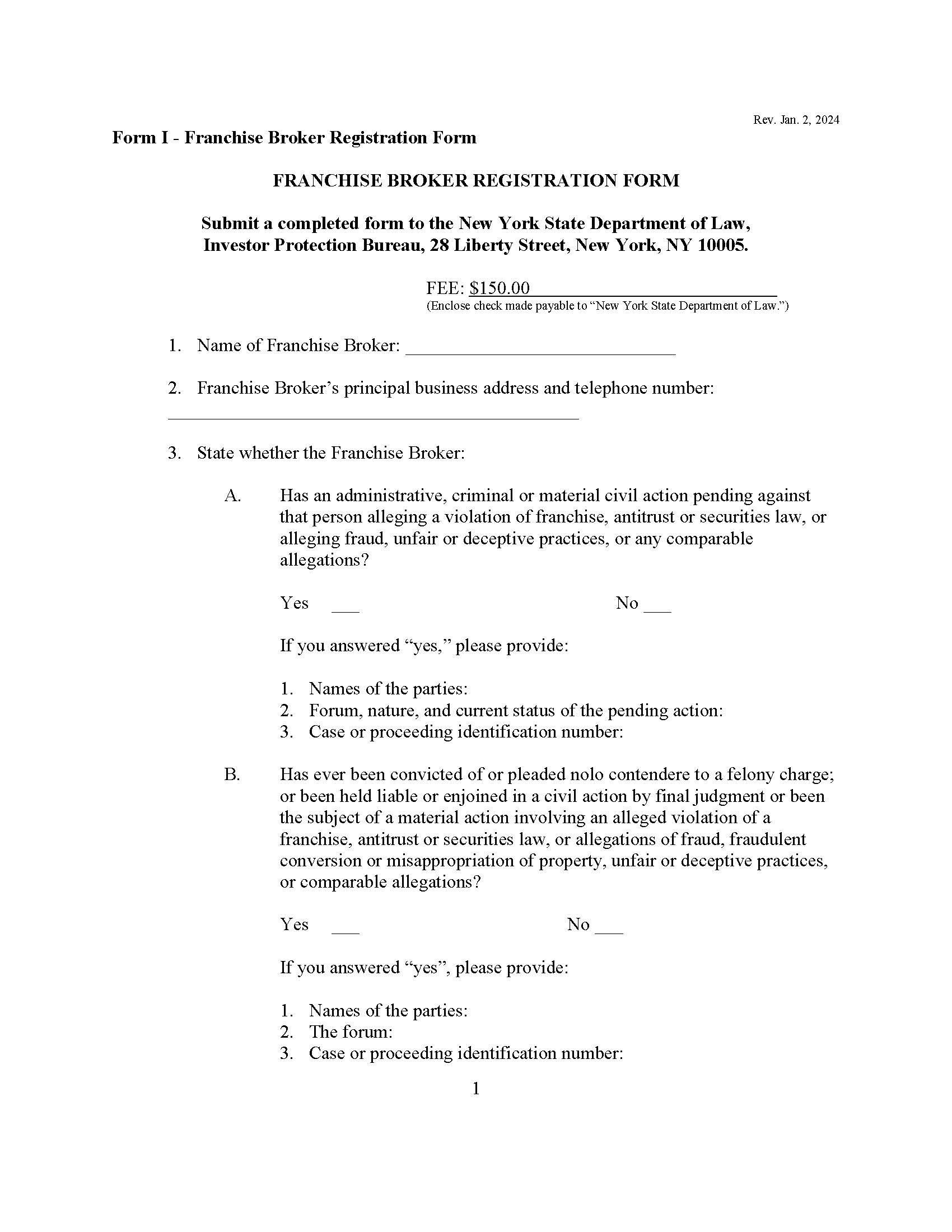
Form I - FRANCHISE BROKER REGISTRATION FORM. This form is used by individuals or entities seeking to register as franchise brokers with the New York State Department of Law, Investor Protection Bureau. This form collects essential information about the broker, including their name, business address, and any legal issues or proceedings they may be involved in, particularly those related to franchise, antitrust, or securities laws. It also requires the broker to designate the New York Secretary of State as an agent for service of process. The form must be notarized and submitted with a $150 fee. The form ensures that franchise brokers operating in New York comply with state regulations and provides a means for legal accountability. www.FormsWorkflow.com
Related forms
-
Amended Ticket Distributor Registration
New York/Secretary Of State/Blue Sky/Investor Protection And Securities/ -
Discontinuance Of Offering
New York/Secretary Of State/Blue Sky/Investor Protection And Securities/ -
Notification Filing
New York/Secretary Of State/Blue Sky/Investor Protection And Securities/ -
Original Ticket Distributor Registration
New York/Secretary Of State/Blue Sky/Investor Protection And Securities/ -
Registrant Information Form
New York/Secretary Of State/Blue Sky/Investor Protection And Securities/ -
Salesperson Statement
New York/Secretary Of State/Blue Sky/Investor Protection And Securities/ -
Sponsors And Selling Agents Broker Dealer Statement
New York/Secretary Of State/Blue Sky/Investor Protection And Securities/ -
Supplemental Salesperson Statement
New York/Secretary Of State/Blue Sky/Investor Protection And Securities/ -
Uniform Franchise Registration Application
New York/Secretary Of State/Blue Sky/Investor Protection And Securities/ -
Franchise-Related Complaint Form
New York/Secretary Of State/Blue Sky/Investor Protection And Securities/ -
Uniform Franchise Consent To Service Of Process
New York/Secretary Of State/Blue Sky/Investor Protection And Securities/ -
Franchisors Costs And Sources Of Funds
New York/Secretary Of State/Blue Sky/Investor Protection And Securities/ -
Issuer Statement
New York/Secretary Of State/Blue Sky/Investor Protection And Securities/ -
Broker Dealer Statement
New York/Secretary Of State/Blue Sky/Investor Protection And Securities/ -
Supplemental Broker Dealer Statement
New York/Secretary Of State/Blue Sky/Investor Protection And Securities/ -
Commodity Information Sheet
New York/Secretary Of State/Blue Sky/Investor Protection And Securities/ -
Supplemental Commodity Salesperson
New York/Secretary Of State/Blue Sky/Investor Protection And Securities/ -
Supplement To NY Forms CBD And CADV
New York/6 Secretary Of State/Blue Sky/Investor Protection And Securities/ -
Coversheet To Accompany Investment Advisor Forms
New York/Secretary Of State/Blue Sky/Investor Protection And Securities/ -
Guarantee Of Performance
New York/Secretary Of State/Blue Sky/Investor Protection And Securities/ -
Franchise Seller Disclosure Form
New York/Secretary Of State/Blue Sky/Investor Protection And Securities/ -
Uniform Investment Company Notice Filing
New York/Secretary Of State/Blue Sky/Investor Protection And Securities/ -
Commody Investment Advisor Statement
New York/Secretary Of State/Blue Sky/Investor Protection And Securities/ -
Supplement To NY Forms BD M-10 M-11
New York/Secretary Of State/Blue Sky/Investor Protection And Securities/ -
Commodity Broker-Dealer Statement
New York/Secretary Of State/Blue Sky/Investor Protection And Securities/ -
Exemption For Franchisor To Existing Franchisee Pursuant To GBL 684(3)(D)
New York/Secretary Of State/Blue Sky/Investor Protection And Securities/ -
Franchise Broker Registration Form
New York/Secretary Of State/Blue Sky/Investor Protection And Securities/ -
Commodity Salesperson Statement
New York/Secretary Of State/Blue Sky/Investor Protection And Securities/
Form Preview
Contact Us
Success: Your message was sent.
Thank you!




