Last updated: 3/14/2025
(Model) Protective Order And Non-Disclosure Agreement (Judge Garnett)
Start Your Free Trial $ 6.00What you get:
- Instant access to fillable Microsoft Word or PDF forms.
- Minimize the risk of using outdated forms and eliminate rejected fillings.
- Largest forms database in the USA with more than 80,000 federal, state and agency forms.
- Download, edit, auto-fill multiple forms at once in MS Word using our Forms Workflow Ribbon
- Trusted by 1,000s of Attorneys and Legal Professionals
Description
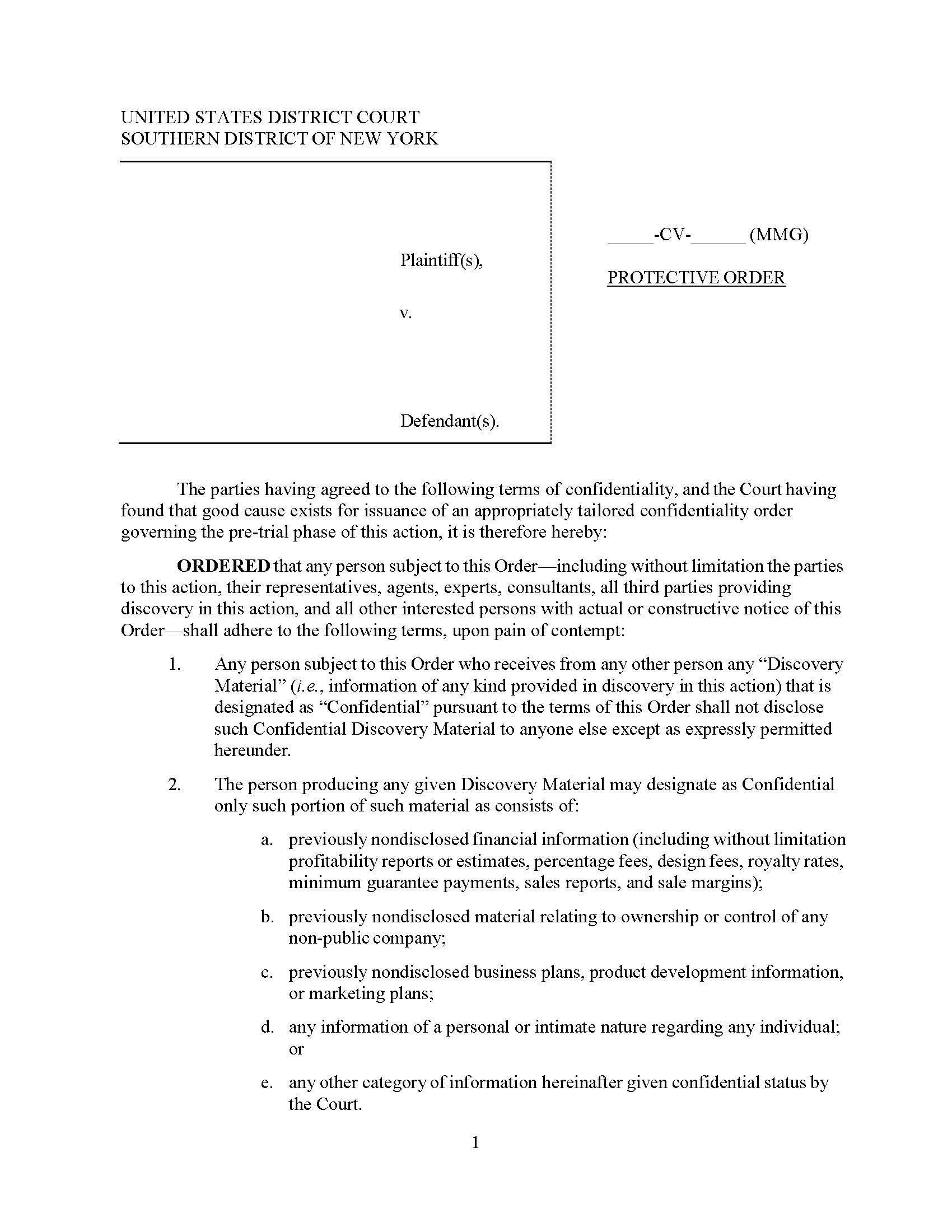
PROTECTIVE ORDER (MARGARET M. GARNETT United States District Judge). This form is issued in litigation to safeguard confidential information exchanged during discovery. It restricts disclosure of sensitive materials, such as financial data, business plans, and personal information, to authorized individuals, including parties, attorneys, experts, and court personnel. The order outlines procedures for marking, handling, and filing confidential documents, including filing under seal to prevent public access. It also provides a process for disputing confidentiality designations and requesting additional protections if necessary. It addresses inadvertent disclosure of privileged information, ensuring that such disclosures do not waive privilege and requiring the return or destruction of mistakenly shared materials. The order remains in effect after litigation ends, mandating the return or destruction of all confidential discovery materials. www.FormsWorkflow.com
Related forms
-
Law Student Intern Appearance Form
New York/Federal/District Court/Southern District/ -
Notice Of Settlement
New York/Federal/District Court/Southern District/ -
Order To Show Cause For Preliminary Injunction And Temporary Restraining Order
New York/Federal/District Court/Southern District/ -
Satisfaction Of Judgment
New York/Federal/District Court/Southern District/ -
Statement Of Damages
New York/Federal/District Court/Southern District/ -
Default Judgment (Sample And Form)
New York/Federal/District Court/Southern District/ -
Plaintiffs Local Civil Rule 33.2 Interrogatories And Request For Production Of Documents
New York/Federal/District Court/Southern District/ -
Affirmation Of Service
New York/Federal/District Court/Southern District/ -
Notice Of Voluntary Dismissal Pursuant To FRCP 41(a)(1)(A)(i)
New York/Federal/District Court/Southern District/ -
Stipulation Of Voluntary Dismissal Pursuant To FRCP 41(a)(1)(A)(ii)
New York/Federal/District Court/Southern District/ -
Civil Case Management Plan And Scheduling Order (Judge Gardephe)
New York/Federal/District Court/Southern District/ -
Civil Case Management Plan And Scheduling Order (Judge Crotty)
New York/Federal/District Court/Southern District/ -
Scheduling Order (Judge Wood)
New York/Federal/District Court/Southern District/ -
Civil Case Management Plan (Judge Rakoff)
New York/Federal/District Court/Southern District/ -
Proposed Order For Attorney Name Change
New York/Federal/District Court/Southern District/ -
Civil Case Management Plan And Scheduling Order (Judge Marrero)
New York/Federal/District Court/Southern District/ -
Acknowledgment Form (Settlement Conference-Judge Gorenstein)
New York/Federal/District Court/Southern District/ -
Motion For Admission Pro Hac Vice
New York/Federal/District Court/Southern District/ -
Notice Of Appeal
New York/Federal/District Court/Southern District/ -
Related Case Statement
New York/Federal/District Court/Southern District/ -
Discovery Plan (Sample And Form) (Judge Wood)
New York/Federal/District Court/Southern District/ -
Stipulated Confidentiality Agreement And Protective Order And Non-Disclosure Agreement (Judge Woods)
New York/Federal/District Court/Southern District/ -
Civil Case Discovery Plan And Scheduling Order (Judge Roman)
New York/Federal/District Court/Southern District/ -
Civil Case Discovery Plan And Scheduling Order (Judge Ramos)
New York/Federal/District Court/Southern District/ -
Scheduling Order For A Patent Case (Judge Forrest)
New York/Federal/District Court/Southern District/ -
Protective Order 2 (Judge Forrest)
New York/Federal/District Court/Southern District/ -
Protective Order 1 (Judge Forrest)
New York/Federal/District Court/Southern District/ -
Scheduling Order (Judge Forrest)
New York/Federal/District Court/Southern District/ -
Rule 16 IPTC Scheduling Order And Joint Electronic Discovery (Judge Peck)
New York/Federal/District Court/Southern District/ -
Report On The Filing Or Determination Of An Action Or Appeal Re A Copyright (SDNY)
New York/Federal/District Court/Southern District/ -
Report On The Filing Or Determination Of An Action Regarding A Patent Or Trademark (SDNY)
New York/Federal/District Court/Southern District/ -
Stipulation Of Settlement And Order Of Dismissal
New York/Federal/District Court/Southern District/ -
Redaction Request - Transcript
New York/Federal/District Court/Southern District/ -
Report On Filing-Determination Of Action-Appeal Re Copyright (SDNY)
New York/Federal/District Court/Southern District/ -
Report On Filing-Determination Of Action Regarding Patent-Trademark (SDNY)
New York/Federal/District Court/Southern District/ -
Case Management And Scheduling Order (Judge Karas)
New York/Federal/District Court/Southern District/ -
Order (To Take Evidence Abroad)
New York/Federal/District Court/Southern District/ -
Request To Take Evidence Abroad
New York/Federal/District Court/Southern District/ -
Order Authorizing Interpleader Disbursement
New York/Federal/District Court/Southern District/ -
Order Authorizing Interpleader Deposit
New York/Federal/District Court/Southern District/ -
Motion For Interpleader Deposit
New York/Federal/District Court/Southern District/ -
Motion For Interpleader Disbursement
New York/Federal/District Court/Southern District/ -
Notice Of Intent To Request Redaction
New York/Federal/District Court/Southern District/ -
Memorandum Re Services Other Than Counsel
New York/5 Federal/District Court/Southern District/ -
Motion For Extension Of TIme To File Notice Of Appeal
New York/5 Federal/District Court/Southern District/ -
Order For Admission Pro Hac Vice (Written Motion)
New York/Federal/District Court/Southern District/ -
Order For Admission Pro Hac Vice On Oral Motion
New York/Federal/District Court/Southern District/ -
Rule 502(d) Order (Mag. Judge Aaron)
New York/Federal/District Court/Southern District/ -
Order (Attorney Name Change)
New York/5 Federal/District Court/Southern District/ -
Request For Clerks Certificate Of Default
New York/Federal/District Court/Southern District/ -
Summons In A Civil Action (28 USC 1608)
New York/Federal/District Court/Southern District/ -
Summons In A Civil Action (FOIA)
New York/5 Federal/District Court/Southern District/ -
Summons In A Civil Action (16 USC 1855(3)(A))
New York/5 Federal/District Court/Southern District/ -
Petition For Admission ECF Registration
New York/5 Federal/District Court/Southern District/ -
Acknowledgment Form Settlement Conference (Mag. Judge Moses)
New York/5 Federal/District Court/Southern District/ -
Civil Case Management Plan And Scheduling Order (Judge Torres)
New York/5 Federal/District Court/Southern District/ -
(Model) Stipulation And Proposed Protective Order (Judge Parker)
New York/Federal/District Court/Southern District/ -
(Model) Joint Electronic Discovery Submission Proposed Order (Mag. Judge Wang)
New York/5 Federal/District Court/Southern District/ -
Settlement Conference Summary
New York/5 Federal/District Court/Southern District/ -
Rule 26(f) Meeting Proposed Case Management Plan (Mag. Judge Wang)
New York/5 Federal/District Court/Southern District/ -
Stipulation And Proposed Protective Order (Mag. Judge Wang)
New York/5 Federal/District Court/Southern District/ -
Model Joint Electronic Discovery Submission Proposed Order (Mag. Judge Cave)
New York/5 Federal/District Court/Southern District/ -
Model Confidentiality Stipulation And Proposed Protective Order (Maj. Judge Cave)
New York/5 Federal/District Court/Southern District/ -
Summons In A Civil Action (NYSD)
New York/5 Federal/District Court/Southern District/ -
(Model) Protective Order And Non-Disclosure Agreement (Judge Rakoff)
New York/Federal/District Court/Southern District/ -
Civil Case Management Plan And Scheduling Order Judge Castel
New York/Federal/District Court/Southern District/ -
Discussion Topics For Rule 26(f) Meeting (Judge Parker)
New York/5 Federal/District Court/Southern District/ -
ESI Plan And [Proposed] Order (Mag. Judge Parker)
New York/5 Federal/District Court/Southern District/ -
Settlement Conference Summary
New York/Federal/District Court/Southern District/ -
Case Management Plan And Scheduling Order (Judge Cronan)
New York/5 Federal/District Court/Southern District/ -
Stipulated Confidentiality Agreement Protective Order Non-Disclosure Agreement (Judge Halpern)
New York/5 Federal/District Court/Southern District/ -
Patent Case Management Plan And Scheduling Order (Judge Vyskocil)
New York/5 Federal/District Court/Southern District/ -
Confidentiality Stipulation And Proposed Protective Order - Agreement (Mag. Judge Krause)
New York/5 Federal/District Court/Southern District/ -
Attendance Acknowledgment Form (Mag. Judge Netburn)
New York/5 Federal/District Court/Southern District/ -
Civil Case Management Plan And Scheduling Order (Mag Judge Lehrburger)
New York/5 Federal/District Court/Southern District/ -
Civil Case Discovery Plan And Scheduling Order (Judge Briccetti)
New York/Federal/District Court/Southern District/ -
Notice Of Initial Conference (Judge Briccetti)
New York/5 Federal/District Court/Southern District/ -
Civil Case Discovery Plan And Scheduling Order (Judge Halpern)
New York/5 Federal/District Court/Southern District/ -
Stipulation And Proposed Protective Order (Mag. Judge Willis)
New York/Federal/District Court/Southern District/ -
ESI Plan And Proposed Order (Mag. Judge Willis)
New York/Federal/District Court/Southern District/ -
Stipulation And Proposed Order Protocol For Remote Depositions (Mag. Judge Cave)
New York/Federal/District Court/Southern District/ -
(Model) Joint Electronic Discovery Submission Proposed Order (Mag. Judge Figueredo)
New York/Federal/District Court/Southern District/ -
(Model) Confidentiality Stipulation And Proposed Protective Order (Mag. Judge Figueredo)
New York/Federal/District Court/Southern District/ -
Civil Case Discovery Plan And Scheduling Order (Mag. Judge Krause)
New York/Federal/District Court/Southern District/ -
Remote Deposition Protocol (Sample) (Mag. Judge Krause)
New York/Federal/District Court/Southern District/ -
Remote Deposition Protocol (Sample) (Mag. Judge Lehrburger)
New York/Federal/District Court/Southern District/ -
Joint Electronic Discovery Submission And [Proposed] Order (Mag. Judge Lehrburger)
New York/Federal/District Court/Southern District/ -
Stipulated Confidentiality Agreement Protective Order NDA (Judge Gardephe)
New York/Federal/District Court/Southern District/ -
Civil Scheduling Order (Judge Koeltl)
New York/Federal/District Court/Southern District/ -
Civil Case Management Plan And Scheduling Order (Judge Nathan)
New York/Federal/District Court/Southern District/ -
Patent Case Management Plan And Scheduling Order (Judge Schofield)
New York/Federal/District Court/Southern District/ -
Civil Case Discovery Plan And Scheduling Order (Judge Furman)
New York/Federal/District Court/Southern District/ -
(Model) Stipulated Protective Order And NDA (Mag. Judge Moses)
New York/5 Federal/District Court/Southern District/ -
Application To Bring Electronic Devices To Court For Use In Trial
New York/Federal/District Court/Southern District/ -
Application To Bring Electronic Devices For Use In Trial (Judge Parker)
New York/Federal/District Court/Southern District/ -
[Proposed] Joint Pretrial Order (Judge McMahon)
New York/Federal/District Court/Southern District/ -
Civil Case Management Plan (Judge McMahon)
New York/Federal/District Court/Southern District/ -
Rule 7.1 Statement
New York/Federal/District Court/Southern District/ -
Civil Case Management Plan And Scheduling Order (Judge Schofield)
New York/Federal/District Court/Southern District/ -
Proposed Case Management Plan Report Of Rule 26(f) Meeting (Mag. Judge Willis)
New York/Federal/District Court/Southern District/ -
Civil Case Management Plan And Scheduling Order (Judge Woods)
New York/Federal/District Court/Southern District/ -
Consent To Proceed By Videoconference
New York/Federal/District Court/Southern District/ -
Attendance Acknowledgment Form For Appearance Settlement Conference (Mag. Judge Aaron)
New York/Federal/District Court/Southern District/ -
Request For Production Of Transcript From Electronic Recording
New York/Federal/District Court/Southern District/ -
Attorney Service Pass Application
New York/Federal/District Court/Southern District/ -
(Model) Protective Order And Non-Disclosure Agreement (Judge Liman)
New York/5 Federal/District Court/Southern District/ -
Case Management Plan And Scheduling Order (Judge Liman)
New York/5 Federal/District Court/Southern District/ -
Transcript Request Form (White Plains)
New York/Federal/District Court/Southern District/ -
Report Of Rule 26(f) Conference - Case Management Plan (Maj. Judge Cave)
New York/5 Federal/District Court/Southern District/ -
Report Of Rule 26(f) Meeting Proposed Case Management Plan (Maj. Judge Aaron)
New York/5 Federal/District Court/Southern District/ -
Case Management Plan And Scheduling Order (Judge Vyskocil)
New York/5 Federal/District Court/Southern District/ -
Report Of Rule 26(f) Conference And Proposed Case Management Plan (Maj. Judge Figueredo)
New York/Federal/District Court/Southern District/ -
Application To Bring Electronic Or Computing Device(s) Into The Courthouses (Maj. Judge Figueredo)
New York/Federal/District Court/Southern District/ -
Confidentiality Agreement (FLSA Cases - Judge Crotty)
New York/Federal/District Court/Southern District/ -
(Model) Protective Order And Non-Disclosure Agreement (Judge Garnett)
New York/Federal/District Court/Southern District/ -
(Model) Protective Order And Non-Disclosure Agreement (Judge Rochon)
New York/Federal/District Court/Southern District/ -
Civil Case Management Plan And Scheduling Order (Judge Rochon)
New York/Federal/District Court/Southern District/ -
(Model) Protective Order And Non-Disclosure Agreement (Judge Subramanian)
New York/Federal/District Court/Southern District/ -
Case Management Addendum (Patent) (Judge Subramanian)
New York/Federal/District Court/Southern District/ -
Telephone Conference Appearance Sheet (Judge Woods)
New York/Federal/District Court/Southern District/ -
(Model) Protective Order And Non-Disclosure Agreement (Mag. Judge Aaron)
New York/Federal/District Court/Southern District/ -
Proposed Case Management Plan Report Of Rule 26(f) Meeting (Mag. Judge Parker)
New York/Federal/District Court/Southern District/ -
Civil Cover Sheet (SDNY)
New York/Federal/District Court/Southern District/ -
Request For Certificate Of Good Standing (Wall Certificate)
New York/5 Federal/District Court/Southern District/ -
Clerks Certificate Of Default
New York/5 Federal/District Court/Southern District/ -
Affidavit For Judgment By Default (Sample And Form)
New York/Federal/District Court/Southern District/ -
Application Re Electronic Devices
New York/Federal/District Court/Southern District/ -
Writ Of Execution Against Property
New York/Federal/District Court/Southern District/ -
Mediation Confidentiality Agreement
New York/Federal/District Court/Southern District/ -
Final Mediator Report
New York/Federal/District Court/Southern District/ -
Civil Case Management Plan And Scheduling Order (Judge Garnett)
New York/Federal/District Court/Southern District/ -
Case Management Plan And Scheduling Order (Judge Broderick)
New York/Federal/District Court/Southern District/ -
Case Management Plan And Scheduling Order (Judge Abrams)
New York/Federal/District Court/Southern District/ -
(Model) Joint Electronic Discovery Submission Proposed Order (Mag. Judge Reznik)
New York/Federal/District Court/Southern District/ -
(Model) Confidentiality Stipulation And Proposed Protective Order (Mag. Judge Reznik)
New York/Federal/District Court/Southern District/ -
Civil Case Management Plan And Scheduling Order (Judge Caproni)
New York/Federal/District Court/Southern District/ -
Civil Case Management Plan And Scheduling Order (Judge Engelmayer)
New York/Federal/District Court/Southern District/ -
Civil Case Management Plan And Scheduling Order (Judge Failla)
New York/Federal/District Court/Southern District/ -
Case Management Plan And Scheduling Order (Judge Ho)
New York/Federal/District Court/Southern District/ -
Civil Case Management Plan And Order Notice Of Collective Action (Judge Hellerstein)
New York/Federal/District Court/Southern District/ -
Civil Case Management Plan And Scheduling Order (Judge Rearden)
New York/Federal/District Court/Southern District/ -
(Model) Protective Order And Non-Disclosure Agreement (Judge Rearden)
New York/Federal/District Court/Southern District/ -
Civil Case Management Plan And Scheduling Order (Judge Subramanian)
New York/Federal/District Court/Southern District/ -
Attendance Acknowledgment Form For Appearance Settlement Conference (Mag. Judge Lehrburger)
New York/Federal/District Court/Southern District/ -
Abstract Of Judgment
New York/5 Federal/District Court/Southern District/ -
Civil Case Management Plan And Scheduling Order (Judge Oetken)
New York/Federal/District Court/Southern District/ -
Miscellaneous Case Cover Sheet
New York/Federal/District Court/Southern District/ -
[Proposed] Civil Case Management Plan And Scheduling Order (Mag. Judge Netburn)
New York/Federal/District Court/Southern District/ -
Civil Case Management Plan And Scheduling Order (Maj. Judge Reznik)
New York/Federal/District Court/Southern District/ -
Civil Case Management Plan And Scheduling Order (Judge Clarke)
New York/Federal/District Court/Southern District/
Form Preview
Contact Us
Success: Your message was sent.
Thank you!




