Alaska
Statewide
Domestic Violence
Last updated: 9/3/2024
Petition For Domestic Violence Protective Order One Petitioner {DV-100 and DV-127}
Start Your Free Trial $ 6.00What you get:
- Instant access to fillable Microsoft Word or PDF forms.
- Minimize the risk of using outdated forms and eliminate rejected fillings.
- Largest forms database in the USA with more than 80,000 federal, state and agency forms.
- Download, edit, auto-fill multiple forms at once in MS Word using our Forms Workflow Ribbon
- Trusted by 1,000s of Attorneys and Legal Professionals
Description
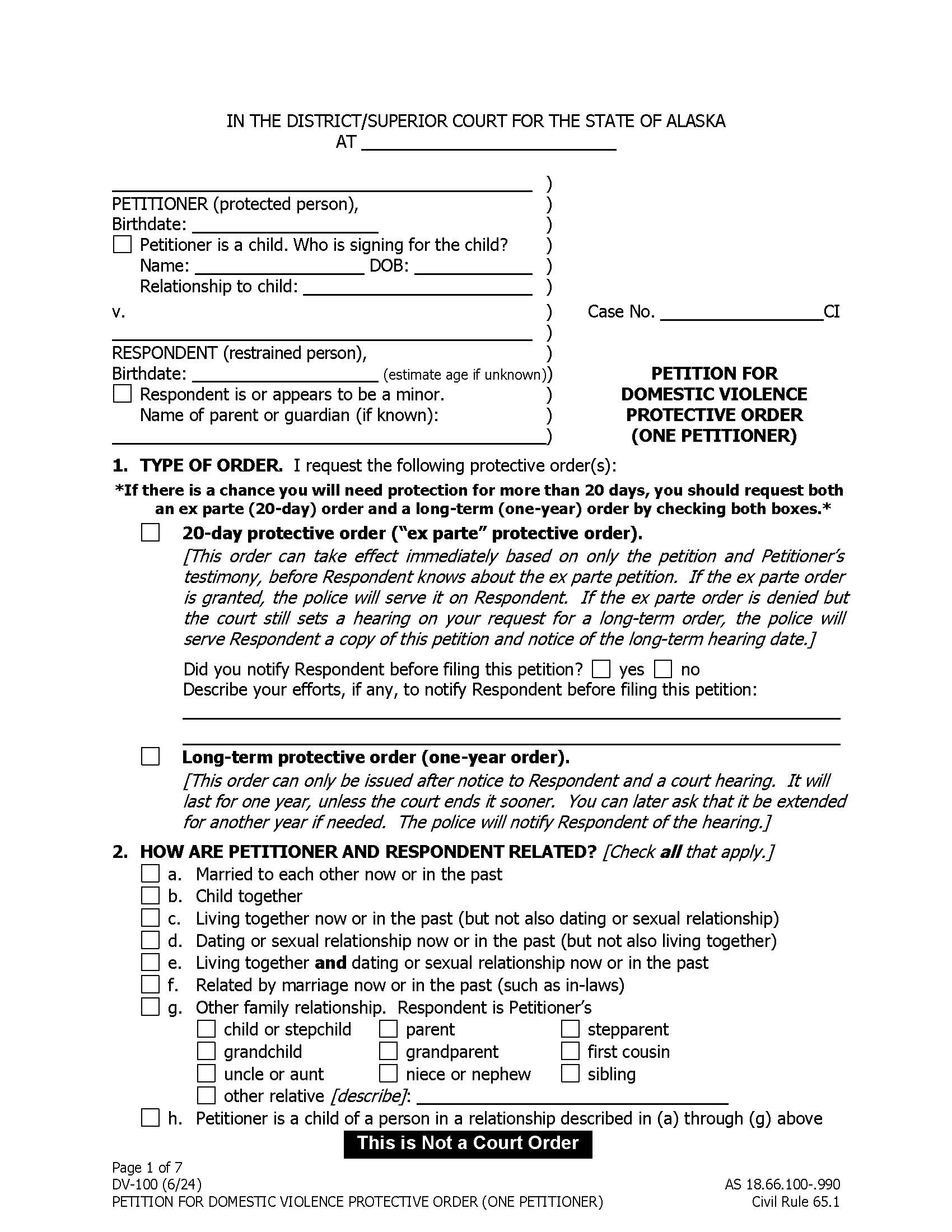
DV-100 - PETITION FOR DOMESTIC VIOLENCE PROTECTIVE ORDER (ONE PETITIONER). This form is used in Alaska's District/Superior Court to file a petition for a domestic violence protective order. It helps individuals seeking protection from domestic violence by collecting details about the petitioner, the respondent, the incidents of violence, requested protections, and more. The purpose is to present evidence to the court, which can then issue protective orders for the petitioner's safety. AS 18.66.100-.990 Civil Rule 65.1. www.FormsWorkflow.com
Related forms
Our Products





