Last updated: 8/4/2024
Notice Of Hearing Petition For Change Of Name Of Minor Child
Start Your Free Trial $ 13.99What you get:
- Instant access to fillable Microsoft Word or PDF forms.
- Minimize the risk of using outdated forms and eliminate rejected fillings.
- Largest forms database in the USA with more than 80,000 federal, state and agency forms.
- Download, edit, auto-fill multiple forms at once in MS Word using our Forms Workflow Ribbon
- Trusted by 1,000s of Attorneys and Legal Professionals
Description
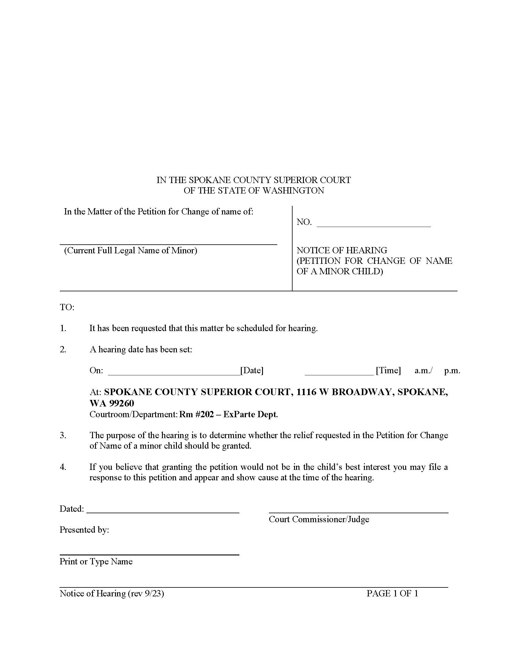
NOTICE OF HEARING (PETITION FOR CHANGE OF NAME OF A MINOR CHILD). This form is used in Spokane County Superior Court to inform the parties involved that a hearing has been scheduled to review a petition requesting a name change for a minor child. The form specifies the date, time, and location of the hearing and explains that the purpose is to decide whether to grant the name change. It also provides instructions for anyone who believes the name change may not be in the child's best interest, including the option to file a response and appear at the hearing. www.FormsWorkflow.com
Related forms
-
Asset And Liability List
Washington/Local County/Spokane/Superior Court/Family Law/ -
Civil Bench Warrant And Sheriffs Return On Bench Warrant
Washington/Local County/Spokane/Superior Court/Family Law/ -
Domestic Joint Case Status Report
Washington/Local County/Spokane/Superior Court/Family Law/ -
Judgment Summary
Washington/Local County/Spokane/Superior Court/Family Law/ -
Motion And Declaration For Assignment Of Lawyer
Washington/Local County/Spokane/Superior Court/Family Law/ -
Motion And Declaration For Order To Show Cause Re Contempt
Washington/Local County/Spokane/Superior Court/Family Law/ -
Motion And Order Adopting Parenting Plan Or Mediation Agreement
Washington/Local County/Spokane/Superior Court/Family Law/ -
Motion Declaration And Order Authorizing Payment Of County Funds To Guardian Ad Litem
Washington/Local County/Spokane/Superior Court/Family Law/ -
Motion Declaration Order For Bench Warrant
Washington/Local County/Spokane/Superior Court/Family Law/ -
Order Assigning Lawyer Re Contempt
Washington/Local County/Spokane/Superior Court/Family Law/ -
Order For Continuance Paternity Motion Or Trial Calendar
Washington/Local County/Spokane/Superior Court/Family Law/ -
Order For TASC Referral
Washington/Local County/Spokane/Superior Court/Family Law/ -
Order On Motion For Change Of Venue To Spokane County
Washington/Local County/Spokane/Superior Court/Family Law/ -
Verification Of Completion Of Parent Education Seminar
Washington/Local County/Spokane/Superior Court/Family Law/ -
Motion And Declaration For Service Of Summons By Publication (Name Change)
Washington/Local County/Spokane/Superior Court/Family Law/ -
Certificate Of Readiness And Note For Paternity Trial Setting
Washington/Local County/Spokane/Superior Court/Family Law/ -
Court Visitors Statement Of Qualifications
Washington/Local County/Spokane/Superior Court/Family Law/ -
Motion To Revise Commissioners Ruling And Notice To Appear
Washington/Local County/Spokane/Superior Court/Family Law/ -
Notice To Request Hearing Maintenance Modification
Washington/Local County/Spokane/Superior Court/Family Law/ -
Order Appointing GAL For Petition Change Of Name Minor
Washington/Local County/Spokane/Superior Court/Family Law/ -
Family Law Paternity Motion Status Report
Washington/Local County/Spokane/Superior Court/Family Law/ -
Order Appointing Guardian Ad Litem On Behalf Of Minor
Washington/Local County/Spokane/Superior Court/Family Law/ -
Summons By Publication (Name Change)
Washington/Local County/Spokane/Superior Court/Family Law/ -
Order For Change Of Name Of Minor Child
Washington/Local County/Spokane/Superior Court/Family Law/ -
Return Of Service (Name Change)
Washington/Local County/Spokane/Superior Court/Family Law/ -
Summons (Name Change)
Washington/Local County/Spokane/Superior Court/Family Law/ -
Petition For Change Of Name Of Minor Child
Washington/Local County/Spokane/Superior Court/Family Law/ -
Motion And Declaration For Order Appointing Guardian Ad Litem
Washington/Local County/Spokane/Superior Court/Family Law/ -
Notice Of Hearing Petition For Change Of Name Of Minor Child
Washington/Local County/Spokane/Superior Court/Family Law/ -
Domestic Trial Management Joint Report
Washington/Local County/Spokane/Superior Court/Family Law/ -
Order For Continuance Family Law Or Support Modification Calendar
Washington/Local County/Spokane/Superior Court/Family Law/ -
Notice Of Hearing Of Motion Family Law Calendar
Washington/Local County/Spokane/Superior Court/Family Law/
Form Preview
Contact Us
Success: Your message was sent.
Thank you!




