California Jury Instructions
34 Cartwright Act
200 Ratings
Last updated: 6/13/2024
VF 3408. Tying Real Estate Products or Services (Bus. Prof. Code, § 16720)
Start Your Free Trial $ 16.00What you get:
- Instant access to fillable Microsoft Word or PDF forms.
- Minimize the risk of using outdated forms and eliminate rejected fillings.
- Largest forms database in the USA with more than 80,000 federal, state and agency forms.
- Download, edit, auto-fill multiple forms at once in MS Word using our Forms Workflow Ribbon
- Trusted by 1,000s of Attorneys and Legal Professionals
Description
Related forms
-
3404. Horizontal Restraints-Group Boycott-Rule Of Reason-Essential Factual Elements
California Jury Instructions/Cartwright Act/ -
3405. Horizontal And Vertical Restraints (Use For Direct Competitors Or Supplier/Reseller Relations)-Other Unreasonable Restraint of Trade-Rule of Reason-Essential Factual Elements
California Jury Instructions/Cartwright Act/ -
3406. Horizontal And Vertical Restraints-"Agreement" Explained
California Jury Instructions/Cartwright Act/ -
3409. Vertical Restraints-Termination Of Reseller
California Jury Instructions/Cartwright Act/ -
3410. Vertical Restraints-Agreement Between Seller And Reseller's Competitor
California Jury Instructions/Cartwright Act/ -
3411. Rule Of Reason-Anticompetitive Versus Beneficial Effects
California Jury Instructions/Cartwright Act/ -
3412. Rule Of Reason-"Market Power" Explained
California Jury Instructions/Cartwright Act/ -
3413. Rule Of Reason-"Product Market" Explained
California Jury Instructions/Cartwright Act/ -
3414. Rule Of Reason-"Geographic Market" Explained
California Jury Instructions/Cartwright Act/ -
3422. Tying-"Separate Products" Explained
California Jury Instructions/Cartwright Act/ -
3423. Tying-"Economic Power" Explained
California Jury Instructions/Cartwright Act/ -
3431. Affirmative Defense In Pari Delicto
California Jury Instructions/Cartwright Act/ -
3400. Horizontal and Vertical Restraints (Use for Dir Competitors) Price Fixing Ess Fact Els
California Jury Instructions/Cartwright Act/ -
3401. Horiz Restraints (Use for Dir Competitors) Allocation of Trade or Commerce Ess Fact Els
California Jury Instructions/Cartwright Act/ -
3420. Tying Real Estate Products or Services Essential Factual Elements (Bus. Prof. Code, § 16720)
California Jury Instructions/34 Cartwright Act/ -
3421. Tying Products or Services Essential Factual Elements (Bus. Prof. Code, § 16727)
California Jury Instructions/34 Cartwright Act/ -
3402. Horizontal Restraints-Dual Distributor Restraints-Essential Factual Elements
California Jury Instructions/Cartwright Act/ -
3403. Horiz Restraints (Use for Dir Competitors) Group Boycott Per Se Violation Ess Fact Els
California Jury Instructions/Cartwright Act/ -
3406. Horizontal and Vertical Restraints Agreement Explained
California Jury Instructions/34 Cartwright Act/ -
3407. Horizontal and Vertical Restraints Agreement Between Company and Its Employee
California Jury Instructions/Cartwright Act/ -
3408. Vertical Restraints-"Coercion" Explained
California Jury Instructions/Cartwright Act/ -
3430. "Noerr-Pennington" Doctrine
California Jury Instructions/Cartwright Act/ -
3440. Damages
California Jury Instructions/Cartwright Act/ -
VF 3400. Horizontal and Vertical Restraints (Use for Direct Competitors) Price Fixing
California Jury Instructions/Cartwright Act/ -
VF 3401. Horizontal Restraints (Use for Direct Competitors) Allocation of Trade or Commerce
California Jury Instructions/Cartwright Act/ -
VF 3402. Horizontal Restraints (Direct Competitors) Allocation Of Commerce Aff Def In Pari Delicto
California Jury Instructions/Cartwright Act/ -
VF 3403. Horizontal Restraints Dual Distributor Restraints
California Jury Instructions/Cartwright Act/ -
VF 3404. Horizontal Restraints (Use for Direct Competitors) Group Boycott Per Se Violation
California Jury Instructions/Cartwright Act/ -
VF 3405. Horizontal Restraints Group Boycott Rule of Reason
California Jury Instructions/Cartwright Act/ -
VF 3406. Horizontal And Vertical Restraints (Direct Competitors Supplier-Reseller) Rule Of Reason
California Jury Instructions/Cartwright Act/ -
VF 3407. Horizontal And Vertical Restraints (Direct Competitors Supplier-Reseller) Noerr-Pennington
California Jury Instructions/Cartwright Act/ -
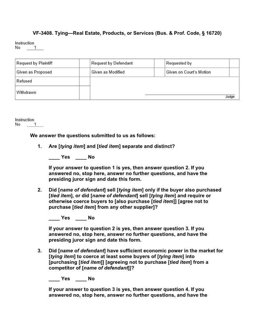
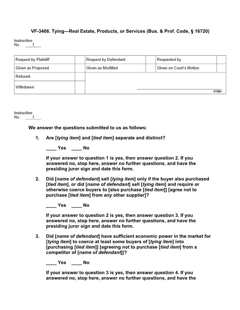
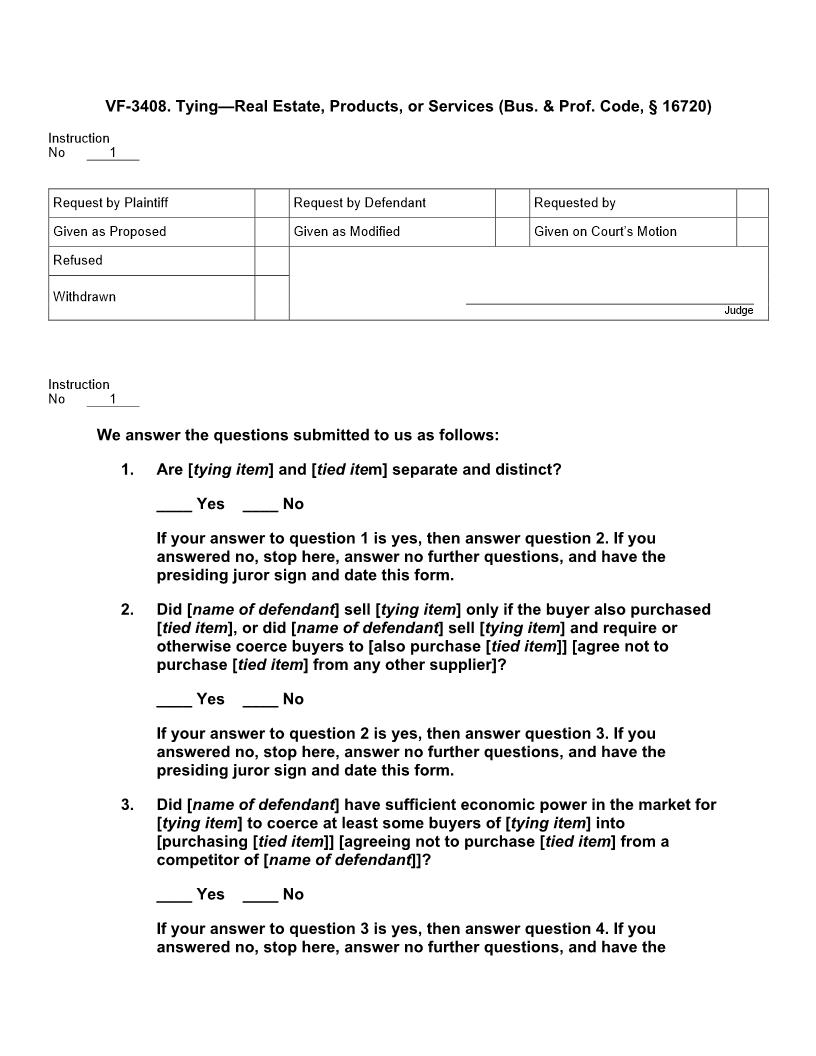
VF 3408. Tying Real Estate Products or Services (Bus. Prof. Code, § 16720)
California Jury Instructions/34 Cartwright Act/ -
VF 3409. Tying Products or Services (Bus. Prof. Code, § 16727)
California Jury Instructions/34 Cartwright Act/
Form Preview
Sorry, we couldn't download the pdf file.
Our Products
Contact Us
Success: Your message was sent.
Thank you!




