California Jury Instructions
24 Wrongful Termination
200 Ratings
Last updated: 6/12/2024
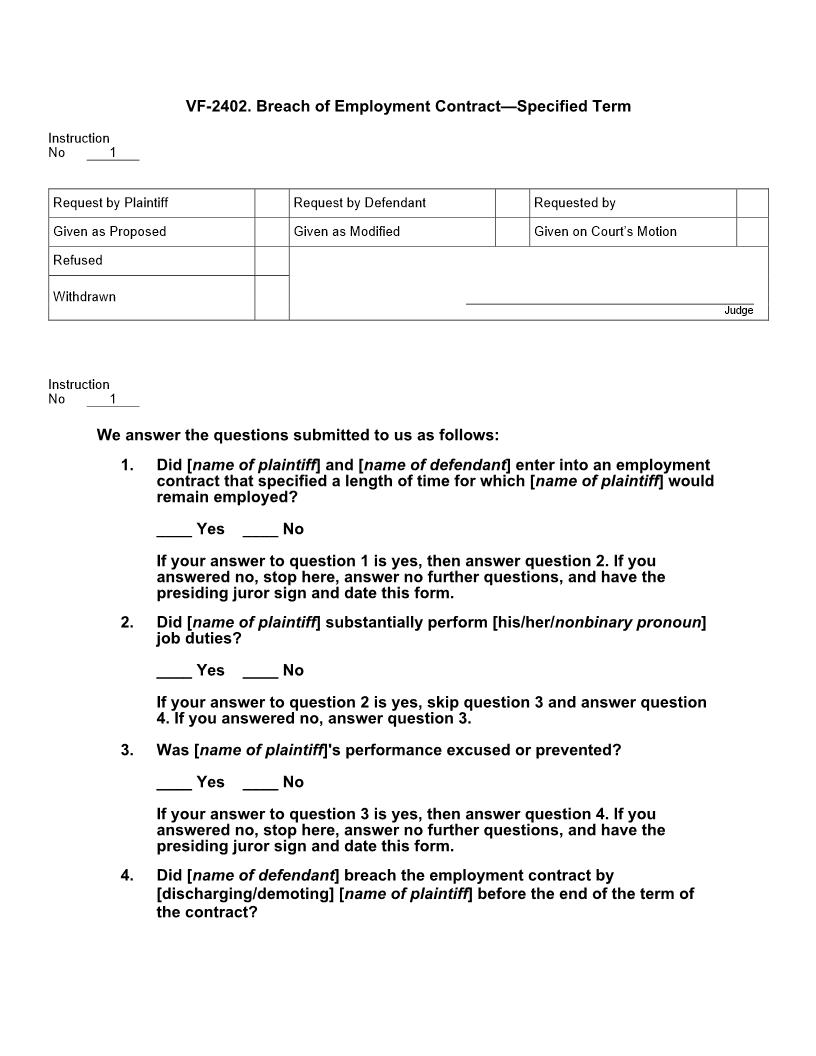
VF 2402. Breach of Employment Contract Specified Term
Start Your Free Trial $ 14.00What you get:
- Instant access to fillable Microsoft Word or PDF forms.
- Minimize the risk of using outdated forms and eliminate rejected fillings.
- Largest forms database in the USA with more than 80,000 federal, state and agency forms.
- Download, edit, auto-fill multiple forms at once in MS Word using our Forms Workflow Ribbon
- Trusted by 1,000s of Attorneys and Legal Professionals
Description
Related forms
-
2400. Breach of Employment Contract Unspecified Term at-Will Presumption
California Jury Instructions/24 Wrongful Termination/ -
2404. Breach of Employment Contract Unspecified Term Good Cause Defined
California Jury Instructions/24 Wrongful Termination/ -
2401. Breach of Employment Contract Unspecified Term Essential Factual Elements
California Jury Instructions/24 Wrongful Termination/ -
2403. Breach of Emplmt Contract Unspec Term Implied-in-Fact Prom Not to Disch Without Good Cause
California Jury Instructions/24 Wrongful Termination/ -
2405. Breach of Implied Employment Contract Unspecified Term Good Cause Defined Misconduct
California Jury Instructions/24 Wrongful Termination/ -
2406. Breach of Employment Contract Unspecified Term Damages
California Jury Instructions/24 Wrongful Termination/ -
2420. Breach of Employment Contract Specified Term Essential Factual Elements
California Jury Instructions/24 Wrongful Termination/ -
2421. Breach of Employment Contract Specified Term Good-Cause Defense (Lab. Code, § 2924)
California Jury Instructions/24 Wrongful Termination/ -
2422. Breach of Employment Contract Specified Term Damages
California Jury Instructions/24 Wrongful Termination/ -
2423. Breach Implied Covenant Good Faith Fair Dealing Employment Contract Ess Factual Els
California Jury Instructions/24 Wrongful Termination/ -
2424. Affirmative Defense Breach Implied Covenant Good Faith Fair Dealing Mistaken Belief
California Jury Instructions/24 Wrongful Termination/ -
2430. Wrongful Discharge in Violation of Public Policy Essential Factual Elements
California Jury Instructions/24 Wrongful Termination/ -
2431. Constructive Discharge in Violation of Public Policy Plaintiff Required to Violate Public Policy
California Jury Instructions/24 Wrongful Termination/ -
2432. Constructive Disch in Violation of Pub Pol Endure Intolerable Conditions That Violate Publ Pol
California Jury Instructions/24 Wrongful Termination/ -
2442. Protected Disclosure by State Employee CA Whistleblower Protn Act Essential Factual Els
California Jury Instructions/24 Wrongful Termination/ -
2443. Affirmative Defense Same Decision (Gov. Code, § 8547.8(e))
California Jury Instructions/24 Wrongful Termination/ -
2440. False Claims Act Whistleblower Protection Essential Factual Els (Gov. Code, § 12653)
California Jury Instructions/24 Wrongful Termination/ -
2441. Discrimination Against Member of Military Essential Factual Elements (Mil. Vet. Code, § 394)
California Jury Instructions/24 Wrongful Termination/ -
VF 2400. Breach of Employment Contract Unspecified Term
California Jury Instructions/24 Wrongful Termination/ -
VF 2401. Breach of Employment Contract Unspecified Term Constructive Discharge
California Jury Instructions/24 Wrongful Termination/ -
VF 2402. Breach of Employment Contract Specified Term
California Jury Instructions/24 Wrongful Termination/ -
VF 2403. Breach of Employment Contract Specified Term Good Cause Defense
California Jury Instructions/24 Wrongful Termination/ -
VF 2404. Employment Breach of the Implied Covenant of Good Faith and Fair Dealing
California Jury Instructions/24 Wrongful Termination/ -
VF 2405. Breach of Implied Covenant of Gd Faith Fair Dealing Aff Def Gd Faith Mistaken Belief
California Jury Instructions/24 Wrongful Termination/ -
VF 2406. Wrongful Discharge in Violation of Public Policy
California Jury Instructions/24 Wrongful Termination/ -
VF 2407. Constructive Discharge in Violation of Public Policy Plaintiff Required to Violate Public Policy
California Jury Instructions/24 Wrongful Termination/ -
VF 2408. Constructive Disch in Violation of Pub Pol Intolerable Conds for Improper Purp Violates Pub Pol
California Jury Instructions/24 Wrongful Termination/
Form Preview
Sorry, we couldn't download the pdf file.
Our Products
Contact Us
Success: Your message was sent.
Thank you!




