Last updated: 5/31/2024
Petition For Settlement (Injury And Or Occupational Disease - Medical Benefits Reserved)
Start Your Free Trial $ 13.99What you get:
- Instant access to fillable Microsoft Word or PDF forms.
- Minimize the risk of using outdated forms and eliminate rejected fillings.
- Largest forms database in the USA with more than 80,000 federal, state and agency forms.
- Download, edit, auto-fill multiple forms at once in MS Word using our Forms Workflow Ribbon
- Trusted by 1,000s of Attorneys and Legal Professionals
Description
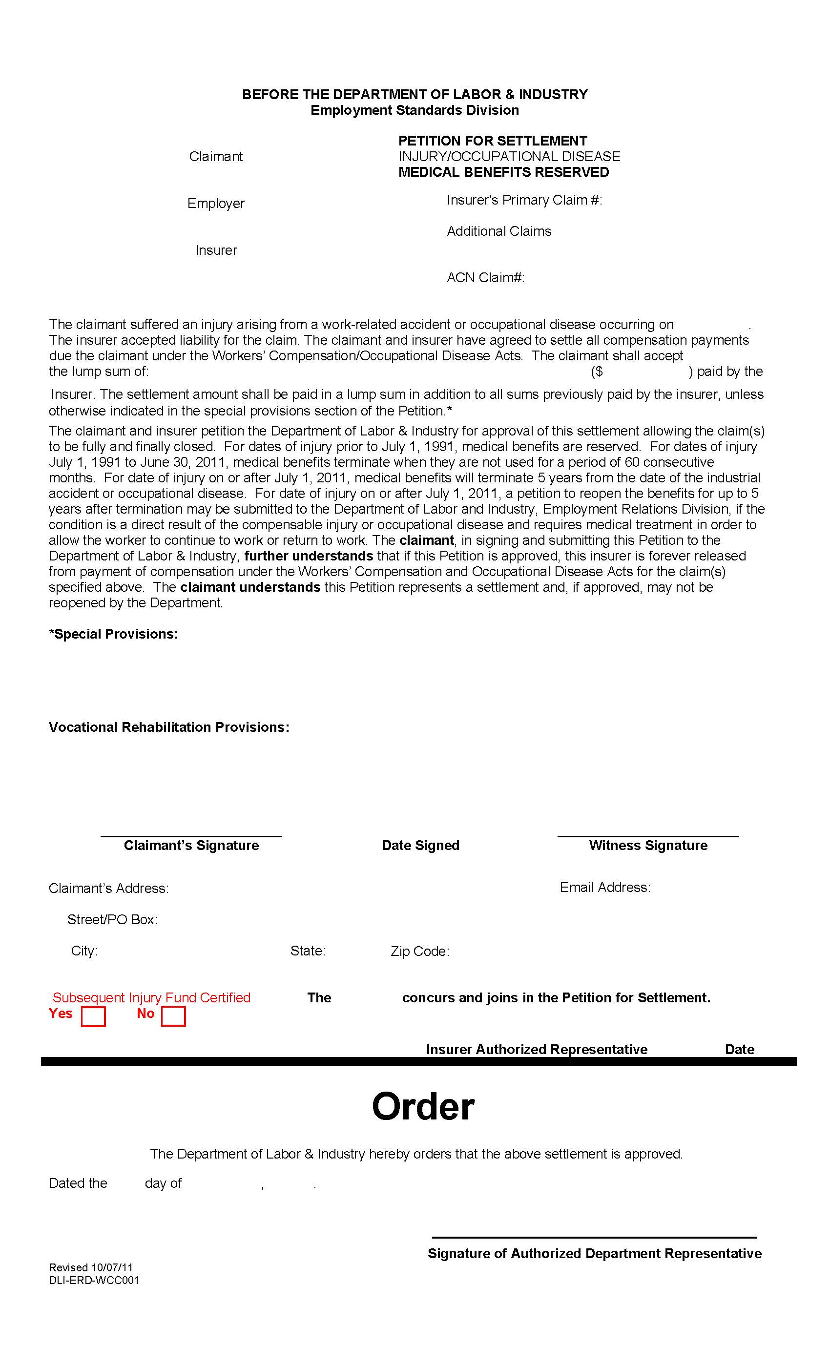
PETITION FOR SETTLEMENT INJURY/OCCUPATIONAL DISEASE MEDICAL BENEFITS RESERVED. This form is used in Montana for settling workers' compensation or occupational disease claims where the insurer has accepted liability. It allows the claimant and insurer to settle all compensation payments through a lump sum payment. The form reserves medical benefits depending on the injury date and outlines the conditions under which medical benefits may terminate or be reopened. By signing this form, the claimant agrees that the settlement is final, releases the insurer from further compensation payments, and understands that the settlement cannot be reopened. www.FormsWorkflow.com





