Arizona
Secretary Of State
Corporation
Last updated: 4/24/2024
Records Request Form
Start Your Free Trial $ 13.99What you get:
- Instant access to fillable Microsoft Word or PDF forms.
- Minimize the risk of using outdated forms and eliminate rejected fillings.
- Largest forms database in the USA with more than 80,000 federal, state and agency forms.
- Download, edit, auto-fill multiple forms at once in MS Word using our Forms Workflow Ribbon
- Trusted by 1,000s of Attorneys and Legal Professionals
Description
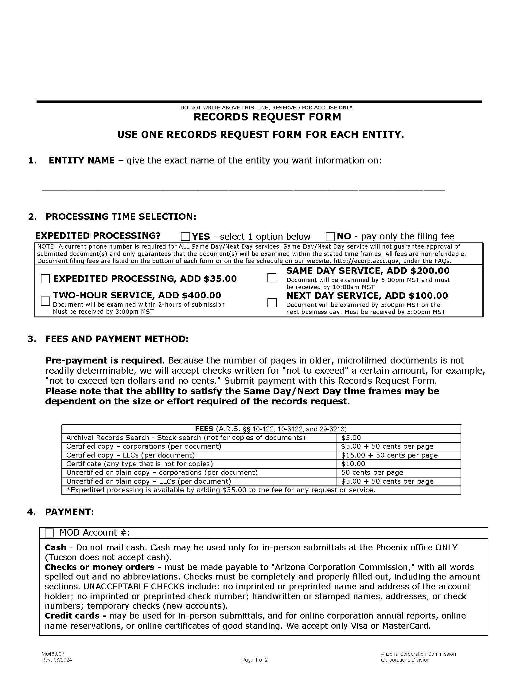
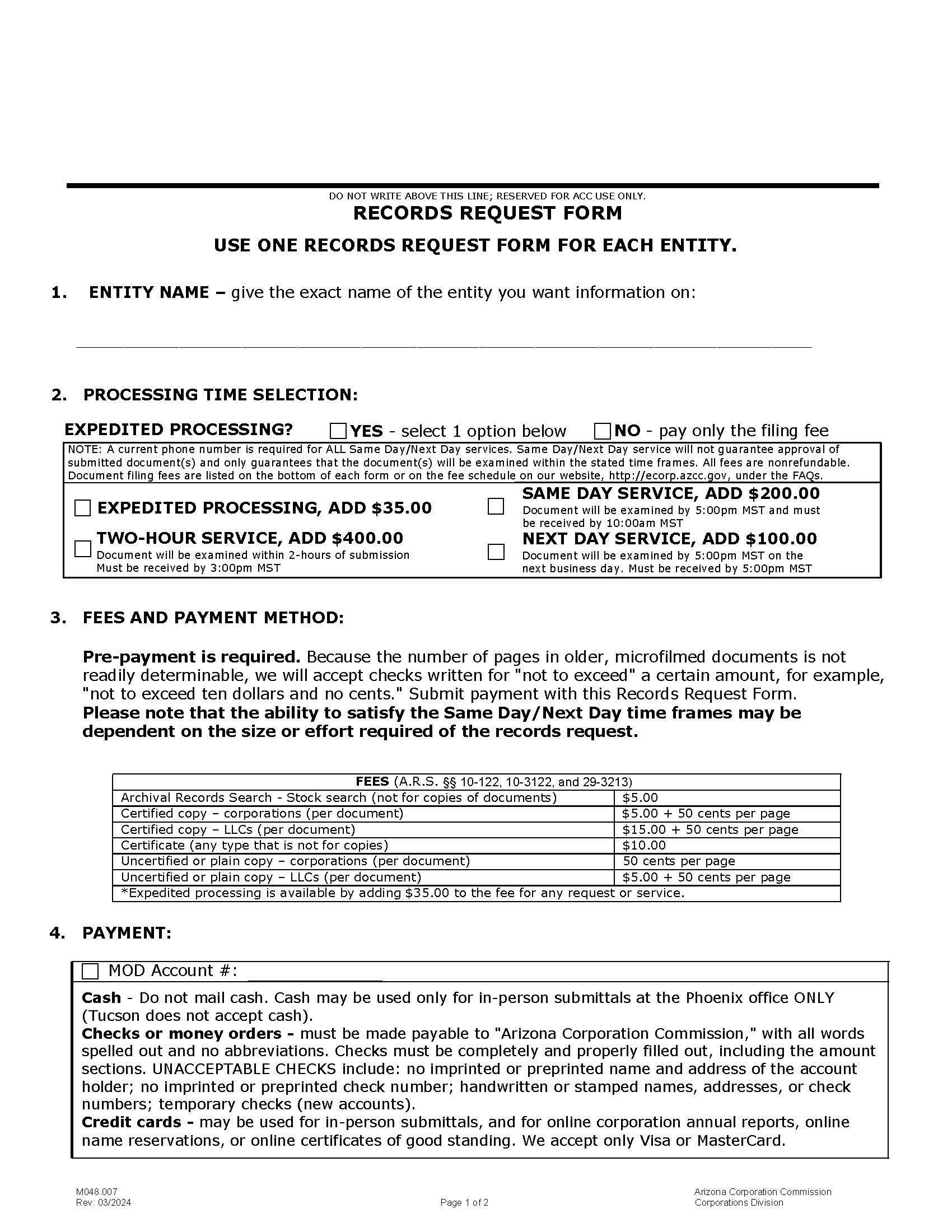
RECORDS REQUEST FORM. This form is used to request records from the Arizona Corporation Commission (ACC). It requires providing the entity name, selecting processing time, paying fees, choosing return delivery options, specifying requested records or services, and providing payment information. The form should be submitted to the ACC Records Section. www.FormsWorkflow.com
Related forms
Our Products





