Last updated: 2/22/2024
Petition For Order Terminating Guardianship
Start Your Free Trial $ 14.00What you get:
- Instant access to fillable Microsoft Word or PDF forms.
- Minimize the risk of using outdated forms and eliminate rejected fillings.
- Largest forms database in the USA with more than 80,000 federal, state and agency forms.
- Download, edit, auto-fill multiple forms at once in MS Word using our Forms Workflow Ribbon
- Trusted by 1,000s of Attorneys and Legal Professionals
Description
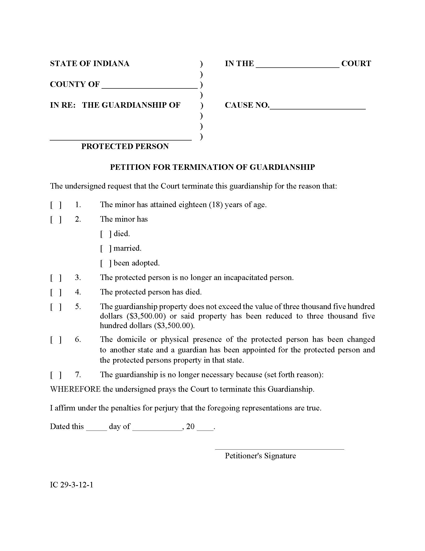
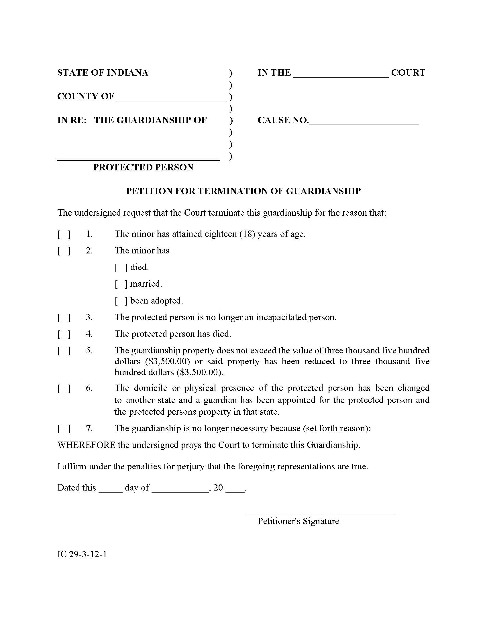
PETITION FOR TERMINATION OF GUARDIANSHIP. This form is used in the state of Indiana. It is filed in the appropriate court by an individual seeking to terminate a guardianship over a protected person. The petitioner selects one or more reasons for termination from a list provided, such as the protected person reaching adulthood, death, marriage, adoption, no longer being incapacitated, property value being below a certain threshold, change of domicile to another state, or no longer necessitating guardianship for other reasons. www.FormsWorkflow.com
Related forms
-
Attorneys Undertaking And Obligation
Indiana/Local County/Hamilton/Circuit-Superior Court/Probate/ -
Biennial Report Of Guardian Minor No Assets
Indiana/Local County/Hamilton/Circuit-Superior Court/Probate/ -
Biennial Report Of Guardian Minor Restricted
Indiana/Local County/Hamilton/Circuit-Superior Court/Probate/ -
Certification By Financial Or Investment Institution
Indiana/Local County/Hamilton/Circuit-Superior Court/Probate/ -
Guardian Ad Litem Report A Minor
Indiana/Local County/Hamilton/Circuit-Superior Court/Probate/ -
Guardian Ad Litem Report Incapacitated Person
Indiana/Local County/Hamilton/Circuit-Superior Court/Probate/ -
Guardians A Guide To Performing Your Fiduciary Duties
Indiana/Local County/Hamilton/Circuit-Superior Court/Probate/ -
Instructions To Guardian Ad Litem
Indiana/Local County/Hamilton/Circuit-Superior Court/Probate/ -
Instructions To Guardians
Indiana/Local County/Hamilton/Circuit-Superior Court/Probate/ -
Instructions To Personal Representative Of Supervised Estate
Indiana/Local County/Hamilton/Circuit-Superior Court/Probate/ -
Instructions To Personal Representative Of Unsupervised Estate
Indiana/Local County/Hamilton/Circuit-Superior Court/Probate/ -
Maximum Fee Guidelines For Supervised Estates
Indiana/Local County/Hamilton/Circuit-Superior Court/Probate/ -
Order Approving Biennial Report
Indiana/Local County/Hamilton/Circuit-Superior Court/Probate/ -
Physicians Report
Indiana/Local County/Hamilton/Circuit-Superior Court/Probate/ -
Report For Release Of Funds
Indiana/Local County/Hamilton/Circuit-Superior Court/Probate/ -
Clerks Certificate As To Costs-Claims
Indiana/Local County/Hamilton/Circuit-Superior Court/Probate/ -
Current Report On Incapacitated Adult - Guardianship Of Person And Estate
Indiana/Local County/Hamilton/CircuitSuperior Court/Probate/ -
Current Report On Incapacitated Adults Personal Condition
Indiana/Local County/Hamilton/CircuitSuperior Court/Probate/ -
Consent To Guardians Final Report-Accounting Emancipated Minor Waiver Of Hearing
Indiana/Local County/Hamilton/CircuitSuperior Court/Probate/ -
Order Appointing Guardian Over Person And Estate Of Incapacitated Person
Indiana/Local County/Hamilton/CircuitSuperior Court/Probate/ -
Acceptance And Oath Of Guardian Over Minors Person And Estate
Indiana/Local County/Hamilton/CircuitSuperior Court/Probate/ -
Acceptance And Oath Of Guardian Over Person Of Incapacitated Person
Indiana/Local County/Hamilton/CircuitSuperior Court/Probate/ -
Petition For Appointment Of Guardian Of The Person Over Minor
Indiana/Local County/Hamilton/CircuitSuperior Court/Probate/ -
Waiver Of Notice Of Hearing And Consent To Guardianship By Relative
Indiana/Local County/Hamilton/CircuitSuperior Court/Probate/ -
Order Appointing Guardian Over Person And Estate Of Minor
Indiana/Local County/Hamilton/CircuitSuperior Court/Probate/ -
Order Terminating Guardianship
Indiana/Local County/Hamilton/CircuitSuperior Court/Probate/ -
Waiver Of Notice Of Hearing Consent To Guardianship Alleged Incapacitated Person
Indiana/Local County/Hamilton/CircuitSuperior Court/Probate/ -
Petition For Appointment Guardian Over Person And Estate Of Incapacitated Person
Indiana/Local County/Hamilton/CircuitSuperior Court/Probate/ -
Guardianship Information Sheet
Indiana/Local County/Hamilton/CircuitSuperior Court/Probate/ -
Petition For Order Terminating Guardianship
Indiana/Local County/Hamilton/CircuitSuperior Court/Probate/
Form Preview
Contact Us
Success: Your message was sent.
Thank you!




