Last updated: 2/12/2024
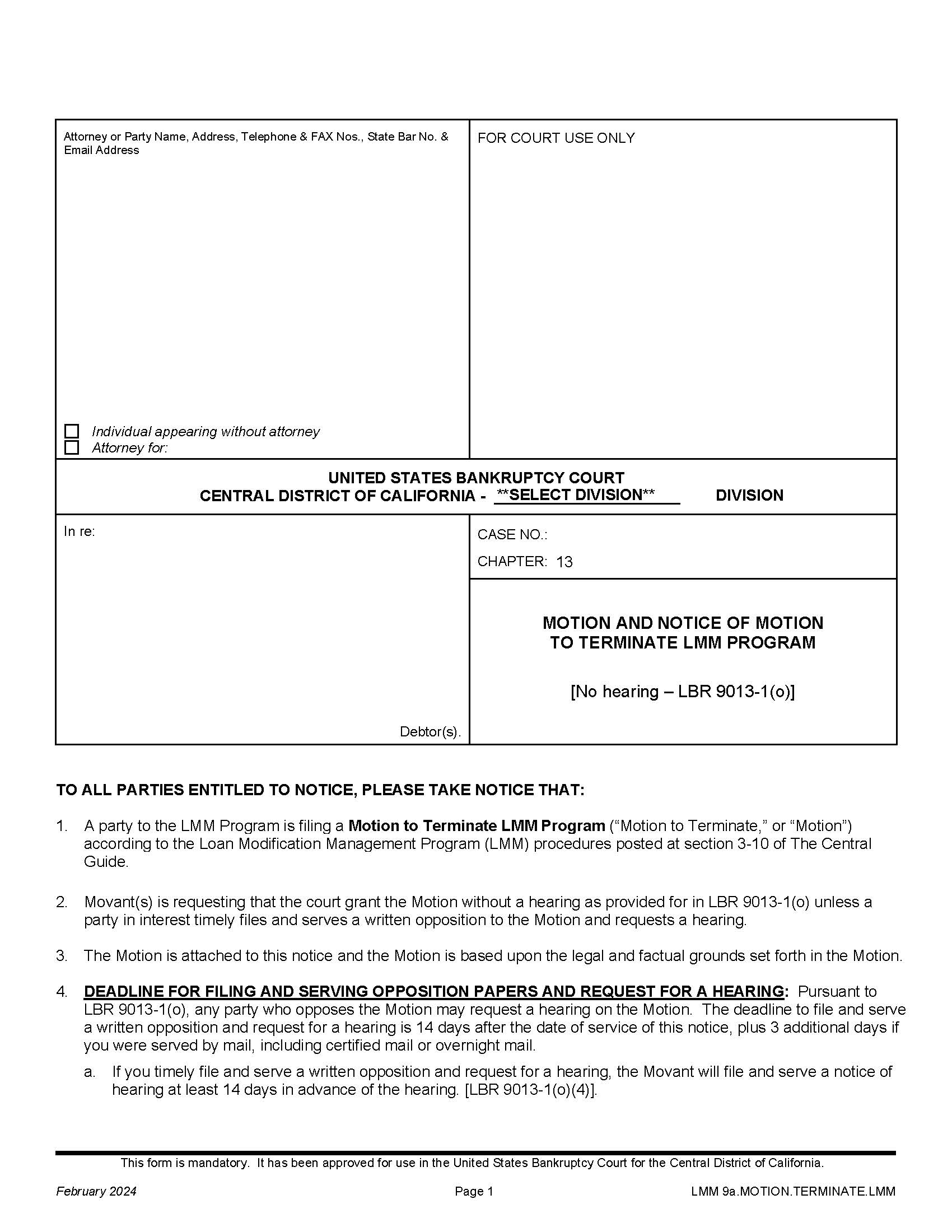
Motion And Notice Of Motion To Terminate LMM Program {LMM 9a.MOTION.TERMINATE.LMM}
Start Your Free Trial $ 6.00What you get:
- Instant access to fillable Microsoft Word or PDF forms.
- Minimize the risk of using outdated forms and eliminate rejected fillings.
- Largest forms database in the USA with more than 80,000 federal, state and agency forms.
- Download, edit, auto-fill multiple forms at once in MS Word using our Forms Workflow Ribbon
- Trusted by 1,000s of Attorneys and Legal Professionals
Description
LMM 9a.MOTION.TERMINATE.LMM - MOTION AND NOTICE OF MOTION TO TERMINATE LMM PROGRAM [No hearing – LBR 9013-1(o)]. This form is used in bankruptcy cases in the Central District of California. It's filed by a party involved in the Loan Modification Management (LMM) Program to request the termination of the program. The form outlines the legal basis for the motion, including deadlines for opposition, and provides details about why the termination is being sought. It also includes a proof of service section to confirm that the document has been served to all relevant parties. www.FormsWorkflow.com





