Last updated: 5/31/2024
Notice Of Amendment To Debtors List Of Creditors Mailing Matrix Chapter 13 {MSSB-A13-2}
Start Your Free Trial $ 13.99What you get:
- Instant access to fillable Microsoft Word or PDF forms.
- Minimize the risk of using outdated forms and eliminate rejected fillings.
- Largest forms database in the USA with more than 80,000 federal, state and agency forms.
- Download, edit, auto-fill multiple forms at once in MS Word using our Forms Workflow Ribbon
- Trusted by 1,000s of Attorneys and Legal Professionals
Description
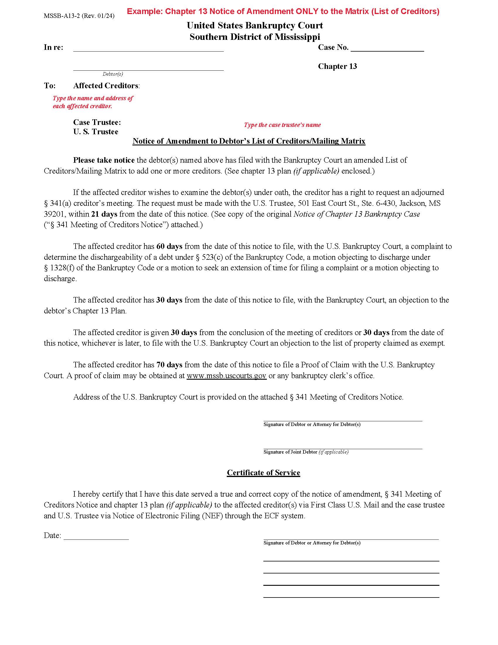
MSSB-A13-2 - CHAPTER 13 NOTICE OF AMENDMENT TO DEBTOR'S LIST OF CREDITORS/MAILING MATRIX. This form is used to inform affected creditors, the case trustee, and the U.S. Trustee that the debtor has amended their List of Creditors/Mailing Matrix to include additional creditors. It notifies creditors of their rights to request an adjourned § 341(a) creditor’s meeting, file complaints regarding dischargeability of debts, object to the debtor’s Chapter 13 Plan, and object to the list of exempt property within specified timeframes. Creditors are also informed of the deadline to file a Proof of Claim with the U.S. Bankruptcy Court. www.FormsWorkflow.com
Related forms
-
Ballot Summary And Certification
Mississippi/Federal/Bankruptcy Court/Southern District/ -
Certification Of Exigent Circumstances
Mississippi/Federal/Bankruptcy Court/Southern District/ -
Chapter 13 Plan
Mississippi/Federal/Bankruptcy Court/Southern District/ -
Declaration In Support Of Motion To Impose The Automatic Stay
Mississippi/Federal/Bankruptcy Court/Southern District/ -
Declaration In Support Of Motion To Extend The Automatic Stay
Mississippi/Federal/Bankruptcy Court/Southern District/ -
Order Partially Avoiding Lien
Mississippi/Federal/Bankruptcy Court/Southern District/ -
Request For Email Notification Of Debtor
Mississippi/Federal/Bankruptcy Court/Southern District/ -
Request For Remote Electronic Access To Transcript (Adversary)
Mississippi/Federal/Bankruptcy Court/Southern District/ -
Request For Remote Electronic Access To Transcript (Bankruptcy)
Mississippi/Federal/Bankruptcy Court/Southern District/ -
Order Granting Limited Stay Relief (Dissolution Of Marriage)
Mississippi/Federal/Bankruptcy Court/Southern District/ -
Disclosure Of Pre-Petition Fees Paid By Debtor To Debtors Counsel
Mississippi/Federal/Bankruptcy Court/Southern District/ -
Order Confirming Chapter 13 Plan
Mississippi/Federal/Bankruptcy Court/Southern District/ -
Order Extending Automatic Stay
Mississippi/Federal/Bankruptcy Court/Southern District/ -
Order Imposing Automatic Stay
Mississippi/Federal/Bankruptcy Court/Southern District/ -
Motion To Redact Document
Mississippi/3 Federal/Bankruptcy Court/Southern District/ -
Motion To Redact Document Filed By Other Party
Mississippi/3 Federal/Bankruptcy Court/Southern District/ -
Order Granting Motion To Redact Document
Mississippi/3 Federal/Bankruptcy Court/Southern District/ -
Order Granting Motion To Redact Document Filed By Other Party
Mississippi/3 Federal/Bankruptcy Court/Southern District/ -
Certificate Of Service Re Notice Of Filing Chapter 13 Plan
Mississippi/Federal/Bankruptcy Court/Southern District/ -
Notice Of Objection To Claim 30 Day Notice
Mississippi/Federal/Bankruptcy Court/Southern District/ -
Notice And Motion For Entry Of Order Declaring Lien Satisfied
Mississippi/Federal/Bankruptcy Court/Southern District/ -
Transcript Order
Mississippi/Federal/Bankruptcy Court/Southern District/ -
Application For Search Of Bankruptcy Records
Mississippi/Federal/Bankruptcy Court/Southern District/ -
Application For Payment Of Unclaimed Funds
Mississippi/3 Federal/Bankruptcy Court/Southern District/ -
Notice Of Amendment To Debtors List Of Creditors Mailing Matrix Chapter 13
Mississippi/Federal/Bankruptcy Court/Southern District/ -
Notice Of Amendment Of Schedules Chapter 7 No Asset
Mississippi/Federal/Bankruptcy Court/Southern District/ -
Notice Of Amendment Of Schedules Chapter 7 Asset
Mississippi/Federal/Bankruptcy Court/Southern District/ -
Notice Of Amendment Of Schedules Chapter 13
Mississippi/Federal/Bankruptcy Court/Southern District/ -
Notice Of Amendment Of Schedule H
Mississippi/Federal/Bankruptcy Court/Southern District/ -
Notice Of Amendment Of Schedule G
Mississippi/Federal/Bankruptcy Court/Southern District/ -
Notice Of Amendment Of Schedule C
Mississippi/Federal/Bankruptcy Court/Southern District/ -
Order Granting Application For Payment Of Unclaimed Funds
Mississippi/3 Federal/Bankruptcy Court/Southern District/ -
Audio Recording Order
Mississippi/Federal/Bankruptcy Court/Southern District/ -
Notice Of Filing Chapter 13 Plan
Mississippi/Federal/Bankruptcy Court/Southern District/ -
Debtors Certification And Motion For Entry Of Chapter 13 Discharge
Mississippi/Federal/Bankruptcy Court/Southern District/ -
Certification In Support Of Motion For Hardship Discharge
Mississippi/Federal/Bankruptcy Court/Southern District/ -
Chapter 11 Individual Debtors Certification And Request For Entry Of Discharge
Mississippi/Federal/Bankruptcy Court/Southern District/
Form Preview
Contact Us
Success: Your message was sent.
Thank you!




