Last updated: 2/16/2024
Defendants Response
Start Your Free Trial $ 17.99What you get:
- Instant access to fillable Microsoft Word or PDF forms.
- Minimize the risk of using outdated forms and eliminate rejected fillings.
- Largest forms database in the USA with more than 80,000 federal, state and agency forms.
- Download, edit, auto-fill multiple forms at once in MS Word using our Forms Workflow Ribbon
- Trusted by 1,000s of Attorneys and Legal Professionals
Description
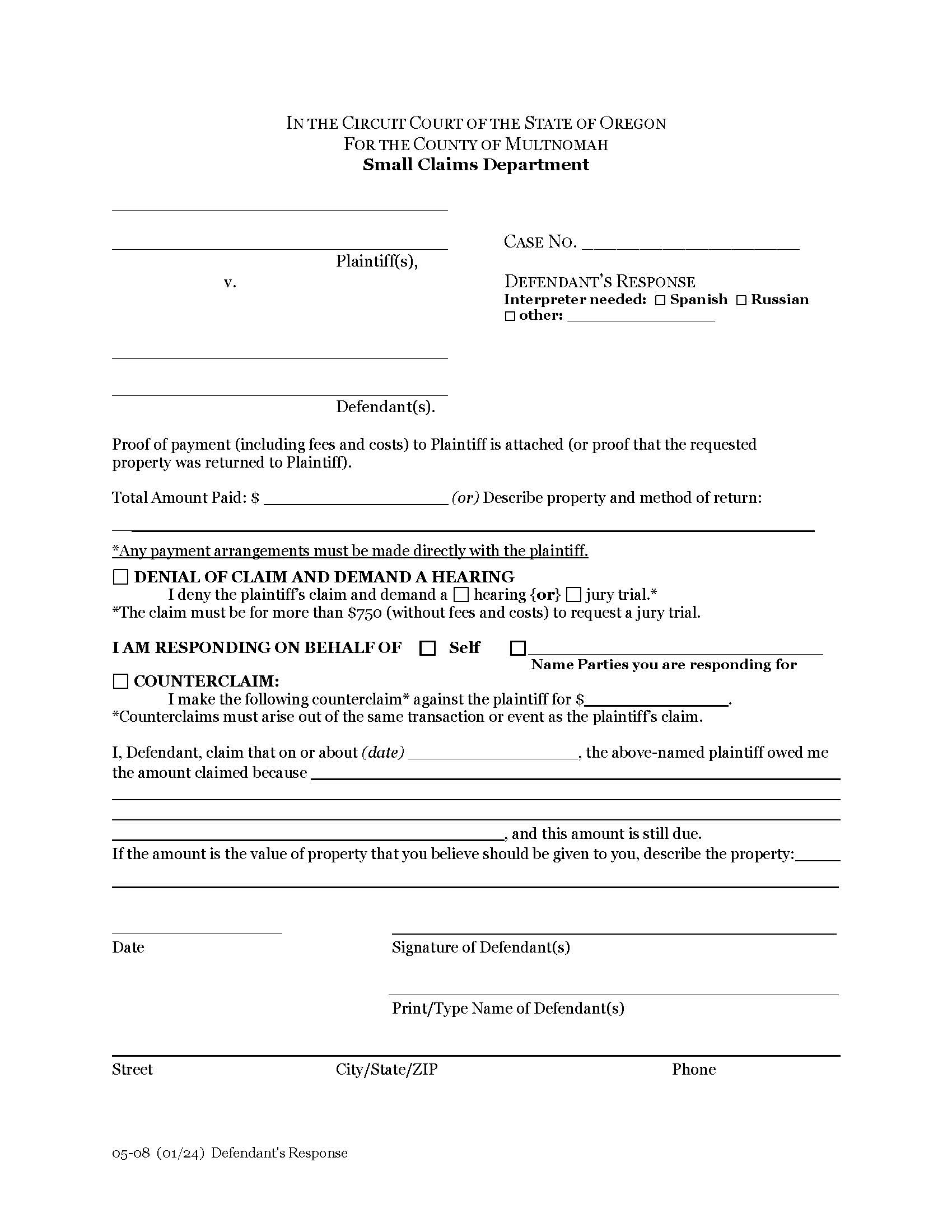
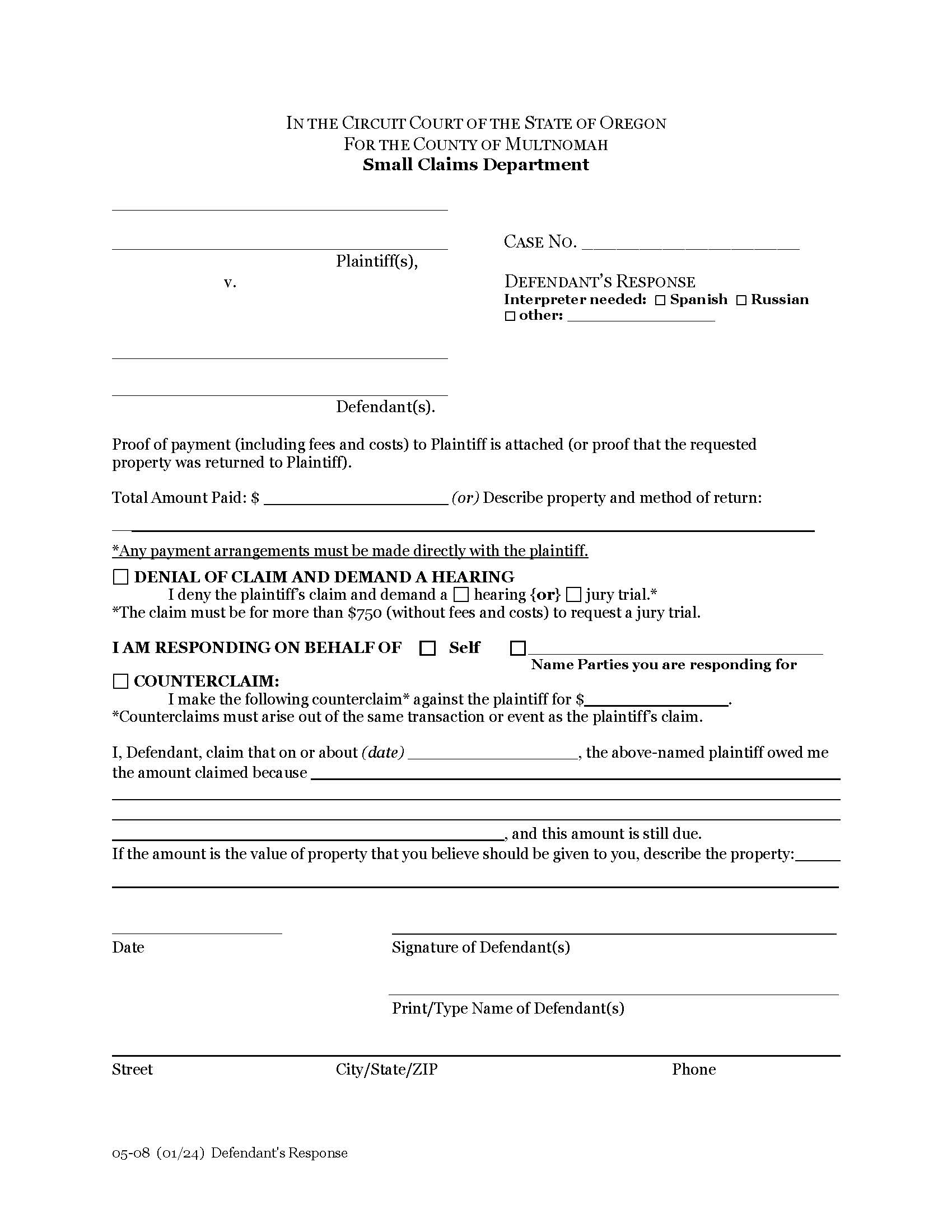
Form 05-08 - DEFENDANT’S RESPONSE. This form is used in the Small Claims Department of the Circuit Court of the State of Oregon, specifically for the County of Multnomah. It allows defendants to formally respond to a plaintiff's claim in a small claims case. Defendants can provide proof of payment, deny the claim and request a hearing or jury trial, or make a counterclaim against the plaintiff. The form requires the defendant's signature, contact information, and details regarding any counterclaim made. www.FormsWorkflow.com
Related forms
-
Declaration Of Noncompliance And Request For Judgment
Oregon/Local County/Multnomah/Circuit Court/ -
Waiver Of Rights Under The Servicemembers CIvil Relief Act
Oregon/Local County/Multnomah/Circuit Court/ -
Acknowledgment Of Restriction Of Assets
Oregon/Local County/Multnomah/Circuit Court/ -
Certificate Of Compliance With Service Of Proposed Order
Oregon/Local County/Multnomah/Circuit Court/ -
Certificate Of Required Dispute Resolution
Oregon/Local County/Multnomah/Circuit Court/ -
Certificate Re Notice Given Of Intent To Appear At Ex Parte Time {SLR 8.011(3)}
Oregon/Local County/Multnomah/Circuit Court/ -
Motion For Order Allowing Inspection And Copying Of Sealed Adoption Records And Affidavit
Oregon/Local County/Multnomah/Circuit Court/ -
Notice Accompanying Proposed Order
Oregon/Local County/Multnomah/Circuit Court/ -
Order Vacating Judgment Of Dismissal With Stipulated Motion
Oregon/Local County/Multnomah/Circuit Court/ -
Request For Court Adoption Records
Oregon/Local County/Multnomah/Circuit Court/ -
Affidavit Re UCCJEA Information
Oregon/Local County/Multnomah/Circuit Court/ -
Appeal Of Arbitration Award And Request For Trial
Oregon/Local County/Multnomah/Circuit Court/ -
Certificate Of Service
Oregon/Local County/Multnomah/Circuit Court/ -
Certification Of Services And Request For Payment Of Arbitrator Fee
Oregon/Local County/Multnomah/Circuit Court/ -
Declaration Of NonMilitary Not Minor Not Incapacitated
Oregon/Local County/Multnomah/Circuit Court/ -
Motion Referring Case Into Court Arbitration
Oregon/Local County/Multnomah/Circuit Court/ -
Motion Removing Case From Arbitration And Assigning To Trial Docket
Oregon/Local County/Multnomah/Circuit Court/ -
Request For Fee Review
Oregon/Local County/Multnomah/Circuit Court/ -
Residential Eviction Agreement Between Parties
Oregon/Local County/Multnomah/Circuit Court/ -
Change Of Address Or Phone
Oregon/Local County/Multnomah/Circuit Court/ -
Mediator Application
Oregon/Local County/Multnomah/Circuit Court/ -
Small Claim And Notice Of Small Claim
Oregon/Local County/Multnomah/Circuit Court/ -
Residential Eviction Complaint
Oregon/Local County/Multnomah/Circuit Court/ -
Residential Eviction Summons
Oregon/Local County/Multnomah/Circuit Court/ -
Public Records Request
Oregon/2 Local County/Multnomah/Circuit Court/ -
Judgment And Money Award
Oregon/Local County/Multnomah/Circuit Court/ -
Defendants Response
Oregon/Local County/Multnomah/Circuit Court/ -
Objection To Petition And Request For Hearing
Oregon/Local County/Multnomah/Circuit Court/ -
Arbitation Award Or Settlement Notice
Oregon/Local County/Multnomah/Circuit Court/ -
Guardianship Of A Minor Packet
Oregon/2 Local County/Multnomah/Circuit Court/ -
Annual Report Of Guardian
Oregon/Local County/Multnomah/Circuit Court/ -
Application To Serve As Arbitrator
Oregon/Local County/Multnomah/Circuit Court/ -
Arbitrators Notice Of Setting Of Date For Hearing
Oregon/Local County/Multnomah/Circuit Court/ -
Arbitrators Notice Request To Change Hearing Date
Oregon/Local County/Multnomah/Circuit Court/ -
Arbitrators Time Report
Oregon/Local County/Multnomah/Circuit Court/ -
Notice Of Selection Of Arbitrator And Setting Of Date For Hearing
Oregon/Local County/Multnomah/Circuit Court/ -
Order Approving Change In Hearing Date
Oregon/Local County/Multnomah/Circuit Court/ -
Order Referring Case Into Court Arbitration
Oregon/Local County/Multnomah/Circuit Court/ -
Order Removing Case From Arbitration and Assigning To Trial Docket
Oregon/Local County/Multnomah/Circuit Court/
Form Preview
Contact Us
Success: Your message was sent.
Thank you!




