Last updated: 2/6/2024
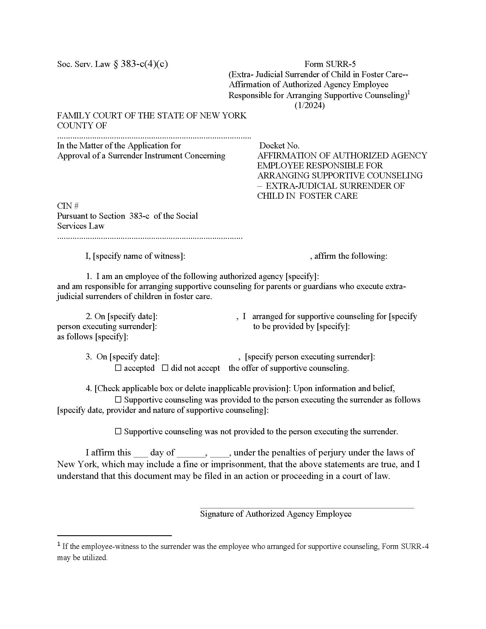
Affirmation Of Authorized Agency Employee Arranging Supportive Counseling - Extra Judicial Surrender {SURR-5}
Start Your Free Trial $ 14.00What you get:
- Instant access to fillable Microsoft Word or PDF forms.
- Minimize the risk of using outdated forms and eliminate rejected fillings.
- Largest forms database in the USA with more than 80,000 federal, state and agency forms.
- Download, edit, auto-fill multiple forms at once in MS Word using our Forms Workflow Ribbon
- Trusted by 1,000s of Attorneys and Legal Professionals
Description
Form SURR-5 - AFFIRMATION OF AUTHORIZED AGENCY EMPLOYEE RESPONSIBLE FOR ARRANGING SUPPORTIVE COUNSELING – EXTRA-JUDICIAL SURRENDER OF CHILD IN FOSTER CARE. This form is used in the Family Court of the State of New York for the application for approval of a surrender instrument concerning a child. The affirmation is made by an employee of the authorized agency who is responsible for arranging supportive counseling for parents or guardians executing extra-judicial surrenders of children in foster care. The employee affirms that they arranged for supportive counseling for the person executing the surrender on a specified date, provided details of the counseling offered or provided, and indicates whether the person accepted or declined the offer of supportive counseling. Soc. Serv. Law § 383-c(4)(c). www.FormsWorkflow.com





