Idaho
Secretary Of State
Uniform Commercial Code
Last updated: 8/10/2023
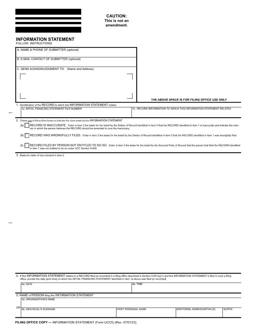
Information Statement {UCC5}
Start Your Free Trial $ 13.99What you get:
- Instant access to fillable Microsoft Word or PDF forms.
- Minimize the risk of using outdated forms and eliminate rejected fillings.
- Largest forms database in the USA with more than 80,000 federal, state and agency forms.
- Download, edit, auto-fill multiple forms at once in MS Word using our Forms Workflow Ribbon
- Trusted by 1,000s of Attorneys and Legal Professionals
Description
UCC5, INFORMATION STATEMENT www.FormsWorkflow.com
Related forms
Our Products





