Florida
Local County
Circuit
12th Circuit
General
Last updated: 11/13/2023
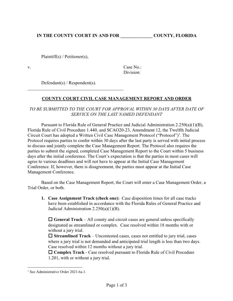
County Court Case Management Report And Order Approving {12JC CouCMRO}
Start Your Free Trial $ 0.00What you get:
- Instant access to fillable Microsoft Word or PDF forms.
- Minimize the risk of using outdated forms and eliminate rejected fillings.
- Largest forms database in the USA with more than 80,000 federal, state and agency forms.
- Download, edit, auto-fill multiple forms at once in MS Word using our Forms Workflow Ribbon
- Trusted by 1,000s of Attorneys and Legal Professionals
Description
12JC CouCMRO - County Court Case Management Report And Order Approving. www.FormsWorkflow.com
Related forms
Our Products





