Last updated: 6/26/2023
Order Appointing Guardian Ad Litem {12.942(b)}
Start Your Free Trial $ 15.99What you get:
- Instant access to fillable Microsoft Word or PDF forms.
- Minimize the risk of using outdated forms and eliminate rejected fillings.
- Largest forms database in the USA with more than 80,000 federal, state and agency forms.
- Download, edit, auto-fill multiple forms at once in MS Word using our Forms Workflow Ribbon
- Trusted by 1,000s of Attorneys and Legal Professionals
Description
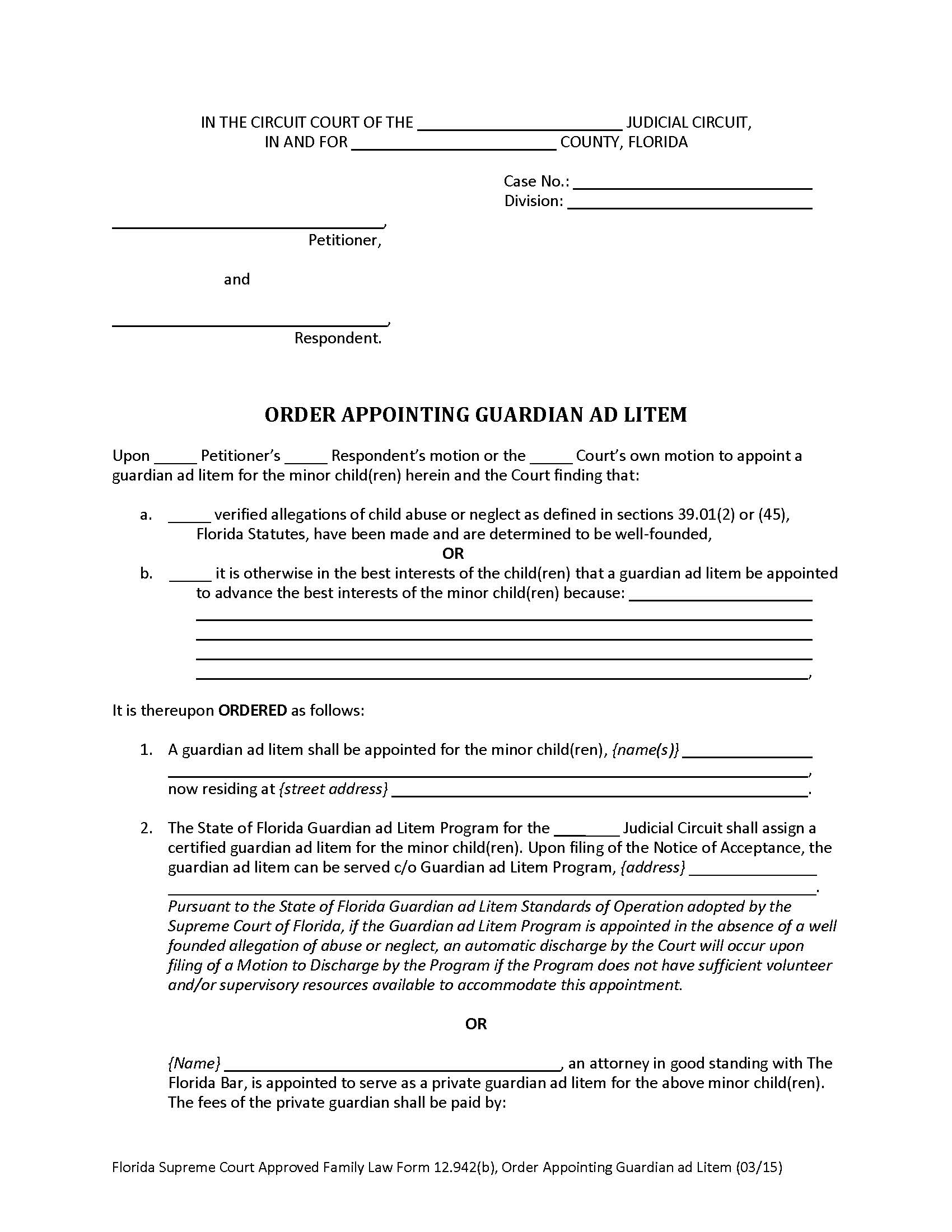
FLORIDA SUPREME COURT APPROVED FAMILY LAW FORM 12.942(b).- ORDER APPOINTING GUARDIAN AD LITEM. This form is used to officially appoint a guardian ad litem for a minor child in a case in the Circuit Court of a specific judicial circuit in a county in Florida. A guardian ad litem is a person appointed by the court to represent the best interests of a minor child involved in a legal proceeding. The purpose of appointing a guardian ad litem is to ensure that the child's interests are protected and advocated for during the legal process. It outlines the reasons for the appointment, such as allegations of child abuse or neglect or a determination that it is in the best interests of the child. The form specifies the responsibilities and powers of the guardian ad litem, including access to information, participation in proceedings, and submission of recommendations to the court. The form also mentions the State of Florida Guardian ad Litem Program, which is responsible for assigning a certified guardian ad litem for the minor child. Alternatively, an attorney in good standing with The Florida Bar can be appointed as a private guardian ad litem, and the form specifies the payment of fees. The order sets conditions and timelines for the guardian ad litem's involvement in the case, including the filing of reports and recommendations, access to the child, and the duration of the appointment. It also certifies that copies of the order have been provided to the parties involved in the case. www.FormsWorkflow.com
Related forms
-
Emergency Verified Motion For Child Pick Up Order w-Instructions
Florida/Statewide/Family Law/Motions/ -
Motion For Appointment Of Guardian Ad Litem w-Instructions
Florida/Statewide/Family Law/Motions/ -
Motion For Testimony And Attendance Of Minor Children w-Instructions
Florida/Statewide/Family Law/Motions/ -
Motion To Deviate From Child Support Guidelines w-Instructions
Florida/Statewide/Family Law/Motions/ -
Motion To Modify Or Dissolve Temporary Injunction w-Instructions
Florida/Statewide/Family Law/Motions/ -
Order Dissolving Temporary Injunction {12.940(e)}
Florida/Statewide/Family Law/Motions/ -
Temporary Support Order With No Dependent Or Minor Children {12.947(d)}
Florida/Statewide/Family Law/Motions/ -
Motion For Civil Contempt-Enforcement
Florida/Statewide/Family Law/Motions/ -
Notice Of Hearing Motion For Contempt Enforcement Support Matters
Florida/Statewide/Family Law/Motions/ -
Order To Pick Up Minor Child(ren)
Florida/Statewide/Family Law/Motions/ -
Motion For Temporary Support With No Dependent Or Minor Children w-Instructions
Florida/Statewide/Family Law/Motions/ -
Verified Motion For Temporary Injunction To Prevent Removal Of Minor Child(ren) And-Or Denial Of Passport Services
Florida/Statewide/Family Law/Motions/ -
Motion For Temporary Support And Time-Sharing With Dependent Or Minor Child(ren) w-Instructions
Florida/Statewide/Family Law/Motions/ -
Final Judgment-Supplemental Final Judgment Denying Relocation
Florida/Statewide/Family Law/Motions/ -
Final Judgment-Supplemental Final Judgment Granting Relocation
Florida/Statewide/Family Law/Motions/ -
Motion For Civil Contempt And-Or Return Of Child(ren)
Florida/Statewide/Family Law/Motions/ -
Motion For Order Permitting Relocation With Agreement {12.950(b)}
Florida/Statewide/Family Law/Motions/ -
Motion For Temporary Order Granting Relocation
Florida/Statewide/Family Law/Motions/ -
Order On Motion For Civil Contempt For Relocation And-Or Return Of Child(ren)
Florida/Statewide/Family Law/Motions/ -
Petition For Dissolution Of Marriage With Dependent Or Minor Child(ren) And Relocation {12.950(c)}
Florida/Statewide/Family Law/Motions/ -
Petition To Disestablish Paternity And-Or Terminate Child Support Obligation {12.951(a)}
Florida/Statewide/Family Law/Motions/ -
Temporary Order Of Granting Or Denying Relocation
Florida/Statewide/Family Law/Motions/ -
Writ Of Bodily Attachment (Child Support)
Florida/Statewide/Family Law/Motions/ -
Temporary Order Of Support Time-Sharing Dependent Or Minor Child(ren)
Florida/Statewide/Family Law/Motions/ -
Agreement For Relocation With Minor Child(ren) {12.950(a)}
Florida/Statewide/Family Law/Motions/ -
Supplemental Petition To Permit Relocation With Minor Child(ren) {12.950(d)}
Florida/Statewide/Family Law/Motions/ -
Agreement To Terminate Order Granting Temporary Custodial Responsibility During Deployment
Florida/1 Statewide/Family Law/Motions/ -
Agreement For Temporary Custodial Responsibility During Deployment
Florida/1 Statewide/Family Law/Motions/ -
Motion To Modify-Terminate Temporary Grant Custodial Responsibility During Deployment
Florida/1 Statewide/Family Law/Motions/ -
Motion For Temporary Order Granting Custodial Responsibility During Deployment
Florida/1 Statewide/Family Law/Motions/ -
Order Granting Temporary Custodial Responsibility During Deployment
Florida/1 Statewide/Family Law/Motions/ -
Order Disestablishing Paternity And-Or Terminating Child Support Obligation
Florida/Statewide/Family Law/Motions/ -
Temporary Injunction Prevent Removal Minor Child(ren) Denial Of Passport Services (Ex Parte)
Florida/Statewide/Family Law/Motions/ -
Temporary Injunction Prevent Removal Minor Child(ren) Denial Of Passport Services (After Notice)
Florida/Statewide/Family Law/Motions/ -
Order Appointing Guardian Ad Litem
Florida/Statewide/Family Law/Motions/ -
Order For Testimony And Attendance Of Minor Child(ren)
Florida/Statewide/Family Law/Motions/
Form Preview
Contact Us
Success: Your message was sent.
Thank you!




