Last updated: 2/6/2023
Petition For Refund Or Review {BCA-1.17}
Start Your Free Trial $ 13.99What you get:
- Instant access to fillable Microsoft Word or PDF forms.
- Minimize the risk of using outdated forms and eliminate rejected fillings.
- Largest forms database in the USA with more than 80,000 federal, state and agency forms.
- Download, edit, auto-fill multiple forms at once in MS Word using our Forms Workflow Ribbon
- Trusted by 1,000s of Attorneys and Legal Professionals
Description
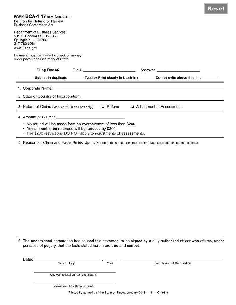
FORM BCA-1.17 (rev. Dec. 2014) Petition for Refund or Review Business Corporation Act Department of Business Services 501 S. Second St., Rm. 350 Springfield, IL 62756 217-782-6961 www.cyberdriveillinois.com Payment must be made by check or money order payable to Secretary of State. Filing Fee: $5 11. Corporate Name: _______________________________________________________________________________ 13. Nature of Claim: (Mark an "X" in one box only.) ________ Submit in duplicate ________ Type or Print clearly in black ink ________ Do not write above this line ________ File #: ___________________________ Approved: ______________________ 12. State or Country of Incorporation: __________________________________________________________________ 14. Amount of Claim: $________________________________ o Refund o Adjustment of Assessment 15. Reason for Claim and Facts Relied Upon: (For more space, use reverse side or attach additional sheets of this size.) · No refund will be made from an overpayment of less than $200. · Any amount to be refunded will be reduced by $200. · The $200 restrictions DO NOT apply to adjustments of assessments. 16. The undersigned corporation has caused this statement to be signed by a duly authorized officer who affirms, under penalties of perjury, that the facts stated herein are true and correct. Dated _______________________________ , _____ by ______________________________________ Any Authorized Officer's Signature Name and Title (type or print) Month Day Year ________________________________________________ Exact Name of Corporation ______________________________________ Printed by authority of the State of Illinois. January 2015 -- 1 -- C 198.9 American LegalNet, Inc. www.FormsWorkFlow.com
Related forms
-
Application For Registration Renewal Or Cancellation Of Foreign Corporation Name
Illinois/Secretary Of State/Corporation/ -
Application For Reservation Of Name Under General Not For Profit Corporation Act Only
Illinois/Secretary Of State/Corporation/ -
Articles Of Merger Or Consolidation Under General Not For Profit Corporation Act
Illinois/Secretary Of State/Corporation/ -
Articles Of Revocation Of Dissolution Under General Not For Profit Corporation Act
Illinois/Secretary Of State/Corporation/ -
Statement Of Cancellation Of Non Reissuable Shares
Illinois/Secretary Of State/Corporation/ -
Statement Of Correction Under The General Not For Profit Corporation Act
Illinois/Secretary Of State/Corporation/ -
Statement Of Resolution Establishing Series
Illinois/Secretary Of State/Corporation/ -
Application For Authority To Conduct Affairs In Illinois Under The General Not For Profit Corporation Act
Illinois/Secretary Of State/Corporation/ -
Application For Registration Renewal Or Cancellation Of Foreign Corp Name Under General Not For Profit Corporation Act
Illinois/Secretary Of State/Corporation/ -
Application For Withdrawal And Final Report General Not For Profit Corporation Act Foreign Corporations
Illinois/Secretary Of State/Corporation/ -
Application To Adopt Change Or Cancel An Assumed Corporate Name
Illinois/Secretary Of State/Corporation/ -
Notice Of Resignation Of Registered Agent
Illinois/Secretary Of State/Corporation/ -
Female And Minority Directors Report
Illinois/5 Secretary Of State/Corporation/ -
Articles Of Incorporation Close Corporation
Illinois/Secretary Of State/Corporation/ -
Articles Of Incorporation Professional Service Corporation
Illinois/Secretary Of State/Corporation/ -
Articles Of Incorporation Medical Corporation
Illinois/Secretary Of State/Corporation/ -
Application For Authority To Transact Business In Illinois
Illinois/Secretary Of State/Corporation/ -
Report Following Merger Or Consolidation
Illinois/Secretary Of State/Corporation/ -
Cumulative Report Of Changes In Issued Shares And Paid-In Capital
Illinois/Secretary Of State/Corporation/ -
Articles Of Dissolution Under The General Not For Profit Corporation Act
Illinois/Secretary Of State/Corporation/ -
Application For Reinstatement Domestic-Foreign Corporations (NFP)
Illinois/5 Secretary Of State/Corporation/ -
Articles Of Merger Between Domestic-Foreign Corporations And Domestic NFP Corporation
Illinois/5 Secretary Of State/Corporation/ -
Application For Withdrawal And Final Report
Illinois/Secretary Of State/Corporation/ -
Articles Of Incorporation
Illinois/Secretary Of State/Corporation/ -
Notice Of Resignation Of Registered Agent
Illinois/Secretary Of State/Corporation/ -
Application To Adopt Change Cancel Assumed Corporate Name NFP
Illinois/5 Secretary Of State/Corporation/ -
Articles Of Amendment Restated Articles Of Incorporation NFP
Illinois/5 Secretary Of State/Corporation/ -
Application For Reservation Of Name
Illinois/Secretary Of State/Corporation/ -
Articles Of Amendment General Not For Profit Corporation Act
Illinois/Secretary Of State/Corporation/ -
Articles Of Merger Between Illinois Corporations And Limited Liability Companies
Illinois/5 Secretary Of State/Corporation/ -
Articles Of Amendment
Illinois/Secretary Of State/Corporation/ -
Articles Of Merger Consollidation Or Exchange
Illinois/5 Secretary Of State/Corporation/ -
Application For Amended Certificate Of Authority To Conduct Affairs In Illinois
Illinois/Secretary Of State/Corporation/ -
Articles Of Amendment Restated Articles Of Incorporation
Illinois/Secretary Of State/Corporation/ -
Statement Of Correction
Illinois/Secretary Of State/Corporation/ -
Petition For Refund Or Review
Illinois/Secretary Of State/Corporation/ -
Articles Of Dissolution
Illinois/Secretary Of State/Corporation/ -
Articles Of Revocation Of Dissolution
Illinois/Secretary Of State/Corporation/ -
Application For Reinstatement Of Domestic Or Foreign Corporation
Illinois/Secretary Of State/Corporation/ -
Statement Of Election To Establish An Extended Filing Month
Illinois/Secretary Of State/Corporation/ -
Allocation Factor Interrogatories
Illinois/Secretary Of State/Corporation/ -
Application For Amended Authority To Transact Business In Illinois
Illinois/Secretary Of State/Corporation/ -
Statement Of Change Of Registered Agent And Or Registered Office
Illinois/Secretary Of State/Corporation/ -
Statement Of Change Of Registered Agent And Or Registered Office
Illinois/Secretary Of State/Corporation/ -
Affidavit Of Compliance For Service On Secretary Of State NFP
Illinois/5 Secretary Of State/Corporation/ -
Articles Of Incorporation General Not For Profit Corporation Act
Illinois/Secretary Of State/Corporation/ -
Routine Processing Corporate Fax Transmittal Certificates Good Standing Or Copies
Illinois/Secretary Of State/Corporation/ -
Corporate Request For Certificates Of Good Standing Copies Of Documents
Illinois/5 Secretary Of State/Corporation/ -
Domestic Foreign Corporation Annual Report General Not For Profit Corporation Act
Illinois/Secretary Of State/Corporation/ -
Corporate Request For Certificates Of Good Standing Copies Of Documents
Illinois/Secretary Of State/Corporation/ -
Routine Processing Corporate Request Certificates Of Good Standing Or Copies
Illinois/5 Secretary Of State/Corporation/ -
Affidavit Of Compliance For Service On Secretary Of State
Illinois/Secretary Of State/Corporation/ -
Interim Report Of Changes
Illinois/5 Secretary Of State/Corporation/ -
Domestic Corporation Annual Report
Illinois/Secretary Of State/Corporation/ -
Foreign Corporation Annual Report
Illinois/Secretary Of State/Corporation/ -
Assumed Name Renewal
Illinois/Secretary Of State/Corporation/
Form Preview
Contact Us
Success: Your message was sent.
Thank you!




