Last updated: 6/1/2023
Foreign LLC Application For Registration
Start Your Free Trial $ 15.99What you get:
- Instant access to fillable Microsoft Word or PDF forms.
- Minimize the risk of using outdated forms and eliminate rejected fillings.
- Largest forms database in the USA with more than 80,000 federal, state and agency forms.
- Download, edit, auto-fill multiple forms at once in MS Word using our Forms Workflow Ribbon
- Trusted by 1,000s of Attorneys and Legal Professionals
Description
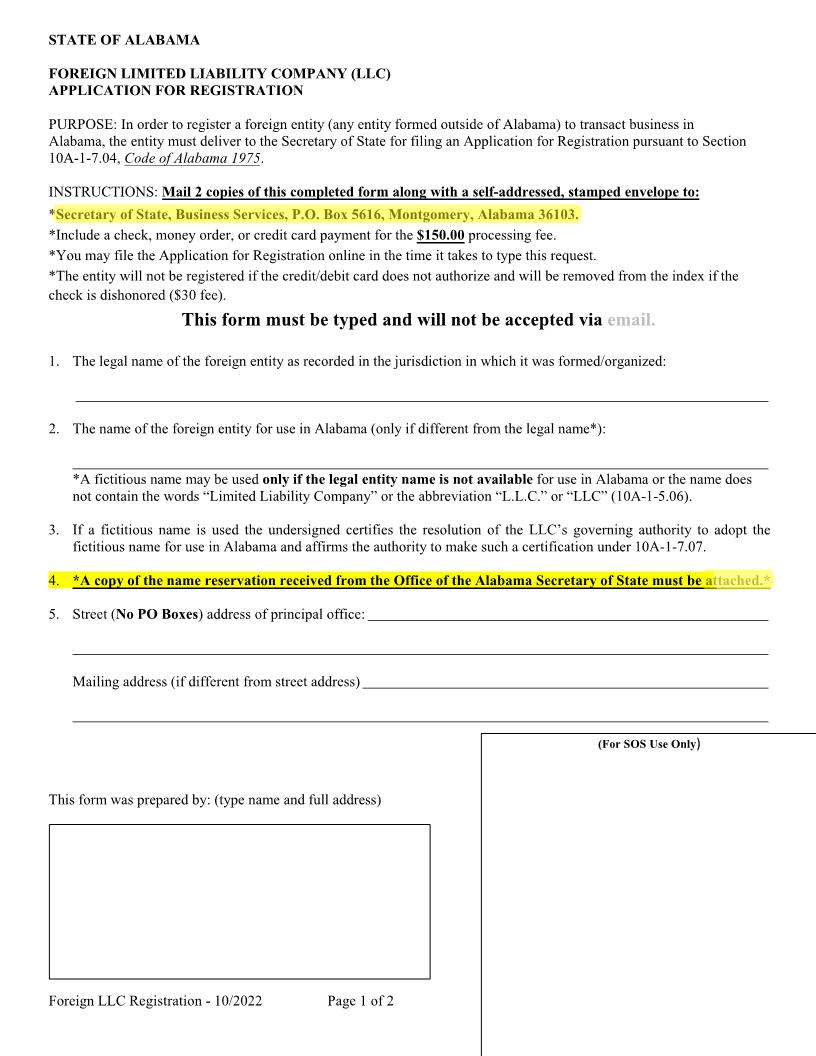
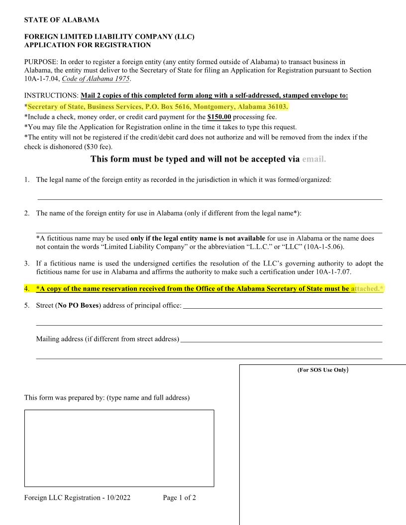
STATE OF ALABAMA FOREIGN LIMITED LIABILITY COMPANY (LLC) APPLICATION FOR REGISTRATION Foreign LLC - 1/2019 Page 1 of 2 PURPOSE: In order to register a foreign entity (any entity formed outside of Alabama) to transact business in Alabama, the entity must deliver to the Secretary of State for filing an Application for Registration pursuant to Section 10A-1-7.04, Code of Alabama 1975. INSTRUCTIONS: Mail two (2) completed forms with the appropriate fee to the Office of the Secretary of State at PO Box 5616, Montgomery, AL 36103. Include a check, money order, or credit card payment for $150.00 for standard processing or $250.00 for expedited processing (within twenty four (24) hours after date of receipt). The application is only accepted via mail or courier and will not be accepted via email. Using a credit card and our website, you may file the Foreign LLC online in the time it takes to type this application. If a receipt is needed, use registered mail service or a courier service. No fees are charged or deposited until the Application is approved. The entity will not be registered if the credit card does not authorize and will be removed from the index if the check is dishonored ($30 fee). All processing instructions are complete in this form; cover letters are not necessary and will not be reviewed. The information completing this form must be typed or the filing will be rejected without review. Emailed applications will not be acknowledged, reviewed, processed, or returned. 1. The legal name of the foreign entity as recorded in the jurisdiction in which it was formed/organized: 2. The name of the foreign entity for use in Alabama only if different from the legal name*: *A fictitious name may be used only if the legal entity name is not available for use in Alabama or the name does not contain the words 223Limited Liability Company224 or the abbreviation 223L.L.C.224 or 223LLC224 (10A-1-5.06). 3. If a fictitious name is used the undersigned certifies the resolution of the LLC222s governing authority to adopt the fictitious name for use in Alabama and affirms the authority to make such a certification under 10A-1-7.07. 4. A copy of the name reservation received from the Office of the Alabama Secretary of State must be attached. 5. Street (No PO Boxes) Address of principal office: Mailing Address (if different from street address) (For SOS Office Use Only) American LegalNet, Inc. www.FormsWorkFlow.com Foreign LLC 01/2019 Page 2 of 2 FOREIGN LIMITED LIABILITY COMPANY (LLC) APPLICATION FOR REGISTRATION 6. Entity222s jurisdiction of formation: (State or Country, if formed outside the United States, of formation) 7. Date of the entity222s formation in state/country of jurisdiction: / / (MM/DD/YYYY) 8. The undersigned certifies that the foreign entity exists as a valid Limited Liability Company under the laws of the entity222s jurisdiction of formation. 9. Name of registered agent for service of process (MUST be physically located in Alabama): 10. Street (No PO Boxes) Address of initial registered office (MUST be office of registered agent and physically located in Alabama): Mailing Address in Alabama of registered agent/office (if different from street address) 11. If the entity registering is a Non Profit LLC, Series LLC or Non-Profit Series LLC. Please check type below: Non-Profit LLC Series LLC Non-Profit Series LLC 12. The foreign entity will begin or began transacting business in Alabama (a date must be provided): Began or Will begin doing business: / / (MM/DD/YYYY) / / Date (MM/DD/YYYY) Typed Name and Title of Signature Below Signature of Person Authorized to Sign per 10A-1-4.01, Alabama Code In order to review the sections of the Code of Alabama 1975 referred to in the filing form you may access www.sos.alabama.gov and Go to Records. Choose the Code of Alabama link to review. American LegalNet, Inc. www.FormsWorkFlow.com FOREIGN LIMITED LIABILITY COMPANY (LLC) APPLICATION FOR REGISTRATION Secretary of State Payment Option Sheet: If you do not send an acknowledgement copy and a pre-addressed postage paid envelope with the filing, you will not receive a credit card or prepaid account receipt from the Secretary of State222s Office. Hold for pickup request 226 acknowledgement copy will have the receipt attached. The document of record will be stamped showing the receipt of the filing fee and expedite fee but will not show convenience fees which will be charged(generally these fees are between 2% and 5% of the total charge). Information MUST be typed or laser printed on a computer. Entity Name: Service Requested: $150.00 Registration filing fee $100.00 Expedited Processing fee *(Processed within 24 hours after receipt of filing)* Hold at Front Desk for Pick-up for: (Service providers who run couriers for pick-up 226 we do not have a call for pick-up service) Check is attached - Please make one check payable for the total amount of the fees (i.e., $250 if you are Requesting expedited service) to the Alabama Secretary of State. Charge fees to prepaid account: Account Number and Account Name Typed Name & Signature of Authorized Individual on Account Credit Card Type: (Visa, MC, Discover & AmEx) Card Number: Expiration Mo/Yr: / (MM/YY) Card Holder Name: Complete Billing Address: Street or PO City State Zip Signature of Card Holder: MUST be Signature of Card Holder American LegalNet, Inc. www.FormsWorkFlow.com





