Last updated: 10/10/2022
Motion for Ch 11 Discharge {LF3022-1}
Start Your Free Trial $ 5.99What you get:
- Instant access to fillable Microsoft Word or PDF forms.
- Minimize the risk of using outdated forms and eliminate rejected fillings.
- Largest forms database in the USA with more than 80,000 federal, state and agency forms.
- Download, edit, auto-fill multiple forms at once in MS Word using our Forms Workflow Ribbon
- Trusted by 1,000s of Attorneys and Legal Professionals
Description
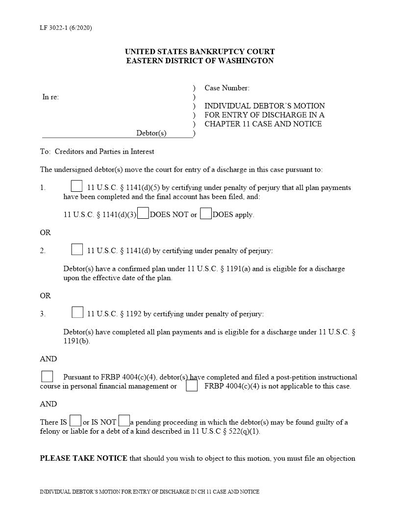
LF 3022-1 (5/2010) UNITED STATES BANKRUPTCY COURT EASTERN DISTRICT OF WASHINGTON In re: Case No. INDIVIDUAL DEBTOR'S MOTION FOR ENTRY OF DISCHARGE IN CHAPTER 11 CASE AND NOTICE THEREOF Debtor(s) To: Creditors and Parties in Interest I/We the undersigned debtor(s) move the court for entry of a discharge in this case pursuant to 11 U.S.C. ' 1141 (d)(5) by certifying under penalty of perjury that: 1. 2. All plan payments have been completed and the final account has been filed. (Check ONE): 11 U.S.C. ' 1141 (d)(3) DOES NOT apply or DOES apply. If 11 U.S.C. ' 1141 (d)(3) applies, the debtor=s statement of completion of instructional course concerning personal financial management as required by Fed. Bankr. Rule 1007(b) has been filed. (Check ONE): There IS or There IS NOT a pending proceeding in which the debtor(s) may be found guilty of a felony or liable for a debt of a kind described in 11 U.S.C. ' 522 (q)(1). 3. PLEASE TAKE NOTICE that should you wish to object to this motion, you must file an objection within 21 days of the date of this notice with the Clerk of the Bankruptcy Court at 904 W. Riverside, Suite 304, Spokane, WA 99201 and provide a copy to the attorney for the debtor(s) below. If you timely file an objection to this motion, you will be notified of the date, time and place of the hearing on the motion. Should you fail to object within the time set forth above, the Court may grant the motion for entry of discharge without further notice to you. Date: Debtor Debtor Attorney for Debtor(s) Name: Address: American LegalNet, Inc. www.FormsWorkFlow.com
Related forms
-
List Classifying Claims And Interests
Washington/Federal/USBC Eastern/ -
Notice Of Filing Of Written Disclosure Statement And Proposed Plan Of Reorganization
Washington/Federal/USBC Eastern/ -
Notice Of Hearing On Disclosure Statement And Confirmation Of Plan
Washington/Federal/USBC Eastern/ -
Plan Funding Analysis
Washington/Federal/USBC Eastern/ -
Pretrial Order
Washington/Federal/USBC Eastern/ -
Application For Order Approving Employment
Washington/Federal/USBC Eastern/ -
Chapter 13 Flat Fee Agreement
Washington/Federal/USBC Eastern/ -
Chapter 13 Plan
Washington/Federal/USBC Eastern/ -
Exhibit Index
Washington/Federal/USBC Eastern/ -
Notice Of Stay
Washington/Federal/USBC Eastern/ -
Motion For Order Confirming Chapter 13 Plan
Washington/Federal/USBC Eastern/ -
Request That Trustee Make Adequate Protection Payments
Washington/Federal/USBC Eastern/ -
Ballot For Accepting Or Rejecting Plan Of Reorganization
Washington/Federal/USBC Eastern/ -
Ballot Summary
Washington/Federal/USBC Eastern/ -
Report Of Balloting (Chapter 11)
Washington/Federal/USBC Eastern/ -
Application For Award Of Compensation And Reimbursement
Washington/Federal/USBC Eastern/ -
Order Confirming Chapter 13 Plan
Washington/Federal/USBC Eastern/ -
Ballot Summary - Continuation Page
Washington/Federal/USBC Eastern/ -
Address Change Form
Washington/Federal/USBC Eastern/ -
Report Of Balloting - Continuation Page
Washington/Federal/USBC Eastern/ -
Case Management Electronic Case Files System (CM ECF)
Washington/Federal/USBC Eastern/ -
Certificate Of Service Of Summons
Washington/Federal/USBC Eastern/ -
Statement In Support Of Confirmation Of Chapter 13 Plan
Washington/Federal/USBC Eastern/ -
Notice Of Scheduling Conference
Washington/Federal/USBC Eastern/ -
Request For Waiver From Electronic Filing
Washington/Federal/USBC Eastern/ -
Request For Waiver From Electronic Filing
Washington/Federal/USBC Eastern/ -
Declaration Of No Objections And Request For Entry Of Order
Washington/Federal/USBC Eastern/ -
Order Approving Employment By Trustee-Debtor In Possession
Washington/Federal/USBC Eastern/ -
Scheduling Order
Washington/Federal/USBC Eastern/ -
Plan Payment Declaration
Washington/Federal/USBC Eastern/ -
Order Granting Relief From Stay
Washington/Federal/USBC Eastern/ -
Notice of Approval of Disclosure Statement
Washington/Federal/USBC Eastern/ -
Chapter 12 Discharge And Notice
Washington/Federal/USBC Eastern/ -
Chapter 11 Post Confirmation Disbursement Report
Washington/Federal/USBC Eastern/ -
Chapter 11 Final Account
Washington/Federal/USBC Eastern/ -
Certificate Of Debtor(s)
Washington/Federal/USBC Eastern/ -
Declaration Regarding Payments
Washington/Federal/USBC Eastern/ -
Statement Of Witness To Signing Of Document
-
Narrative Summary
Washington/Federal/USBC Eastern/ -
Bill Of Costs
Washington/Federal/USBC Eastern/ -
Motion for Ch 11 Discharge
Washington/Federal/USBC Eastern/ -
Certification Supplemental Application Award Of Compensation Ch 13 Case
Washington/Federal/USBC Eastern/ -
Debtors Plan Payment Declaration (Ch 13 Cases)
Washington/Federal/USBC Eastern/ -
Statement Of Money Or Property Received Or Promised
Washington/Federal/USBC Eastern/ -
Summary Supporting Application For Compensation For Services Or Reimbursement Of Expenses
Washington/Federal/USBC Eastern/ -
Order Awarding Compensation
Washington/Federal/USBC Eastern/ -
DeBN Request Form
Washington/Federal/USBC Eastern/
Form Preview
Contact Us
Success: Your message was sent.
Thank you!




