Last updated: 8/10/2022
Application Proceed Pro Se On Direct Appeal {13.6}
Start Your Free Trial $ 13.99What you get:
- Instant access to fillable Microsoft Word or PDF forms.
- Minimize the risk of using outdated forms and eliminate rejected fillings.
- Largest forms database in the USA with more than 80,000 federal, state and agency forms.
- Download, edit, auto-fill multiple forms at once in MS Word using our Forms Workflow Ribbon
- Trusted by 1,000s of Attorneys and Legal Professionals
Description
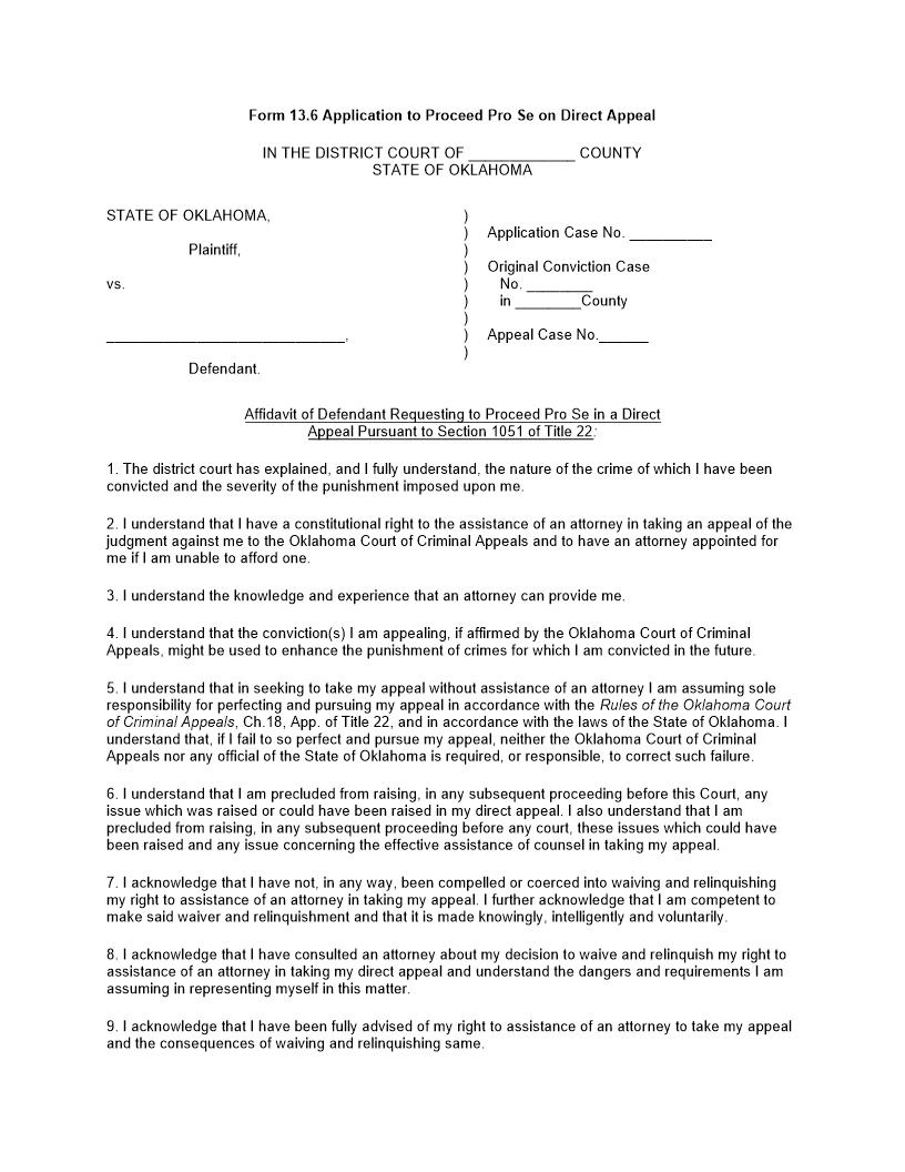
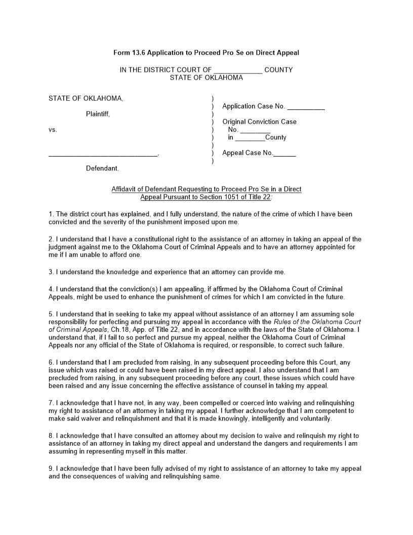
OCCAOnline Rules of the Court of Criminal Appeals Form 13.6 Application to Proceed Pro Se on Direct Appeal IN THE DISTRICT COURT OF _________________ COUNTY STATE OF OKLAHOMA STATE OF OKLAHOMA, Plaintiff, vs. ) ) ) ) ) ) ) ) ) Application Case No. _________________ Original Conviction Case No. _____________________________ in _________________________County Appeal Case No._____________________ ___________________________________, Defendant. Affidavit of Defendant Requesting to Proceed Pro Se in a Direct Appeal Pursuant to Section 1051 of Title 22: 1. The district court has explained, and I fully understand, the nature of the crime of which I have been convicted and the severity of the punishment imposed upon me. 2. I understand that I have a constitutional right to the assistance of an attorney in taking an appeal of the judgment against me to the Oklahoma Court of Criminal Appeals and to have an attorney appointed for me if I am unable to afford one. 3. I understand the knowledge and experience that an attorney can provide me. 4. I understand that the conviction(s) I am appealing, if affirmed by the Oklahoma Court of Criminal Appeals, might be used to enhance the punishment of crimes for which I am convicted in the future. 5. I understand that in seeking to take my appeal without assistance of an attorney I am assuming sole responsibility for perfecting and pursuing my appeal in accordance with the Rules of the Oklahoma Court of Criminal Appeals, Ch.18, App. of Title 22, and in accordance with the laws of the State of Oklahoma. I understand that, if I fail to so perfect and pursue my appeal, neither the Oklahoma Court of Criminal Appeals nor any official of the State of Oklahoma is required, or responsible, to correct such failure. 6. I understand that I am precluded from raising, in any subsequent proceeding before this Court, any issue which was raised or could have been raised in my direct appeal. I also understand that I am precluded from raising, in any subsequent proceeding before any court, these issues which could have been raised and any issue concerning the effective assistance of counsel in taking my appeal. 7. I acknowledge that I have not, in any way, been compelled or coerced into waiving and relinquishing my right to assistance of an attorney in taking my appeal. I further acknowledge that I am competent to make said waiver and relinquishment and that it is made knowingly, intelligently and voluntarily. American LegalNet, Inc. www.FormsWorkFlow.com 8. I acknowledge that I have consulted an attorney about my decision to waive and relinquish my right to assistance of an attorney in taking my direct appeal and understand the dangers and requirements I am assuming in representing myself in this matter. 9. I acknowledge that I have been fully advised of my right to assistance of an attorney to take my appeal and the consequences of waiving and relinquishing same. 10. I herewith voluntarily waive and relinquish my right to an attorney, either retained or appointed, to represent me on appeal, and request the Oklahoma Court of Criminal Appeals to so find and allow me to represent myself in all further matters relating to this appeal. _____________________________________ Date ___________________________________ Signature of Defendant STATE OF OKLAHOMA COUNTY OF __________________________ ) ) ______________________, being first sworn under oath, states that he/she signed the above affidavit and that the statements therein are true to the best of his/her knowledge and belief. ___________________________________ Signature Subscribed and sworn to before me this _______day of ______________________, 20_______. American LegalNet, Inc. www.FormsWorkFlow.com





