Last updated: 6/7/2022
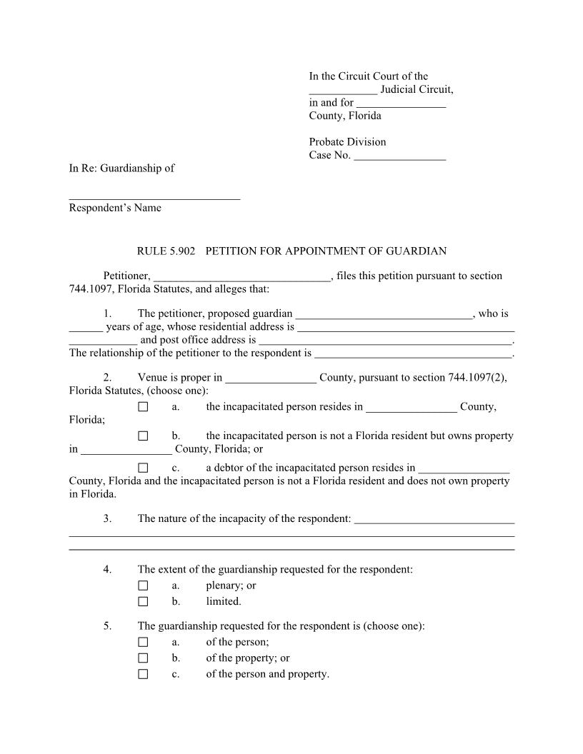
Petition For Appointment Of Guardian {5.902(a)}
Start Your Free Trial $ 22.00What you get:
- Instant access to fillable Microsoft Word or PDF forms.
- Minimize the risk of using outdated forms and eliminate rejected fillings.
- Largest forms database in the USA with more than 80,000 federal, state and agency forms.
- Download, edit, auto-fill multiple forms at once in MS Word using our Forms Workflow Ribbon
- Trusted by 1,000s of Attorneys and Legal Professionals
Description
RULE 5.902 PETITION FOR APPOINTMENT OF GUARDIAN.This is a probate court filing used in Florida Circuit Courts to request the appointment of a guardian for an alleged incapacitated person. Filed under section 744.1097, Florida Statutes, this petition provides the court with essential information about the proposed guardian, the respondent’s incapacity, venue, and the type and scope of guardianship requested. The form identifies whether a plenary or limited guardianship is sought and whether the guardianship concerns the person, property, or both. It also requires disclosure of the respondent’s assets, next of kin, and any known alternatives to guardianship, such as powers of attorney or advance directives. www.FormsWorkflow.com





