Last updated: 1/12/2022
Order For Private Child Custody Recommending Counseling {FL-E-LP-603}
Start Your Free Trial $ 13.99What you get:
- Instant access to fillable Microsoft Word or PDF forms.
- Minimize the risk of using outdated forms and eliminate rejected fillings.
- Largest forms database in the USA with more than 80,000 federal, state and agency forms.
- Download, edit, auto-fill multiple forms at once in MS Word using our Forms Workflow Ribbon
- Trusted by 1,000s of Attorneys and Legal Professionals
Description
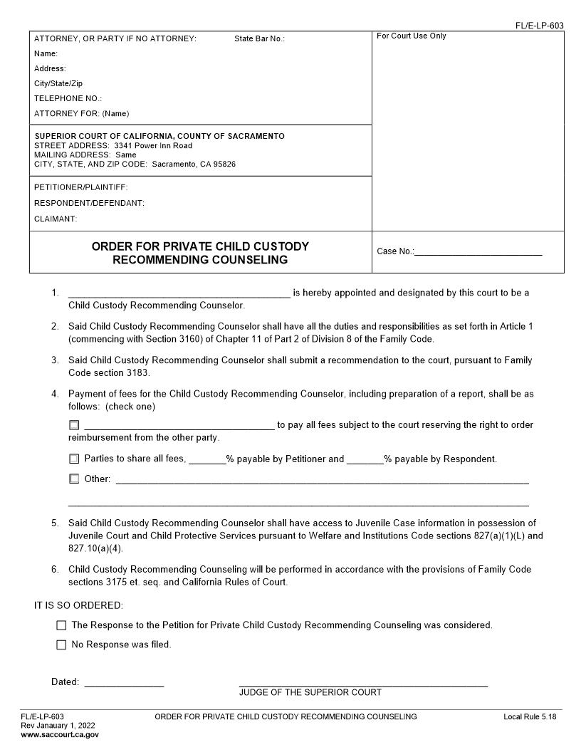
Form Adopted for Mandatory Use FL/E-LP-603 Revised 11/25/13 Local Rule 5.18 www.saccourt.ca.gov Page 1of 1 ORDER FOR PRIVATE CHILD CUSTODY RECOMMENDING COUNSELING FL/E-LP-603 ATTORNEY OR PARTY WITHOUT ATTORNEY (Name, State Bar number, and address): TELEPHONE NO. ATTORNEY FOR: (NAME) SUPERIOR COURT OF CALIFORNIA, COUNTY OF SACRAMENTO STREET ADDRESS: 3341 Power Inn Road MAILING ADDRESS: Same CITY AND ZIP CODE: Sacramento, CA 95826 PETITIONER/PLAINTIFF: RESPONDENT/DEFENDANT: FOR COURT USE ONLY ORDER FOR PRIVATE CHILD CUSTODY RECOMMENDING COUNSELING CASE NUMBER: 1. is hereby appointed and designated by this Court to be a Child Custody Recommending Counselor. 2. Said Child Custody Recommending Counselor shall have all the duties and responsibilities as set forth in Article 1 (commencing with Section 3160) of Chapter 11 of Part 2 of Division 8 of the Family Code. 3. Said Child Custody Recommending Counselor shall, pursuant to Family Code section 3183, submit a recommendation to the court. 4. Payment of fees for the Child Custody Recommending Counselor including preparation of a report shall be as follows: (check one) to pay all fees subject to the court reserving the right to order reimbursement from the other party. Parties to share all fees, % payable by Petitioner and % payable by Respondent. Other: 5. Said Child Custody Recommending Counselor shall have access to Juvenile Case information in possession of Juvenile Court and Child Protective Services pursuant to Welfare and Institutions Code sections 827(a)(1)(L) and 827.10 (a)(4). 6. Child Custody Recommending Counseling will be performed in accordance with the provisions of Family Code sections 3175 et. seq. and California Rules of Court. IT IS SO ORDERED: The Response to the Petition for Private Child Custody Recommending Counseling was considered. No response was filed. Dated: JUDGE OF THE SUPERIOR COURT American LegalNet, Inc. www.FormsWorkFlow.com





