Last updated: 12/10/2021
Petition To Establish Parentage {Appendix N}
Start Your Free Trial $ 14.00What you get:
- Instant access to fillable Microsoft Word or PDF forms.
- Minimize the risk of using outdated forms and eliminate rejected fillings.
- Largest forms database in the USA with more than 80,000 federal, state and agency forms.
- Download, edit, auto-fill multiple forms at once in MS Word using our Forms Workflow Ribbon
- Trusted by 1,000s of Attorneys and Legal Professionals
Description
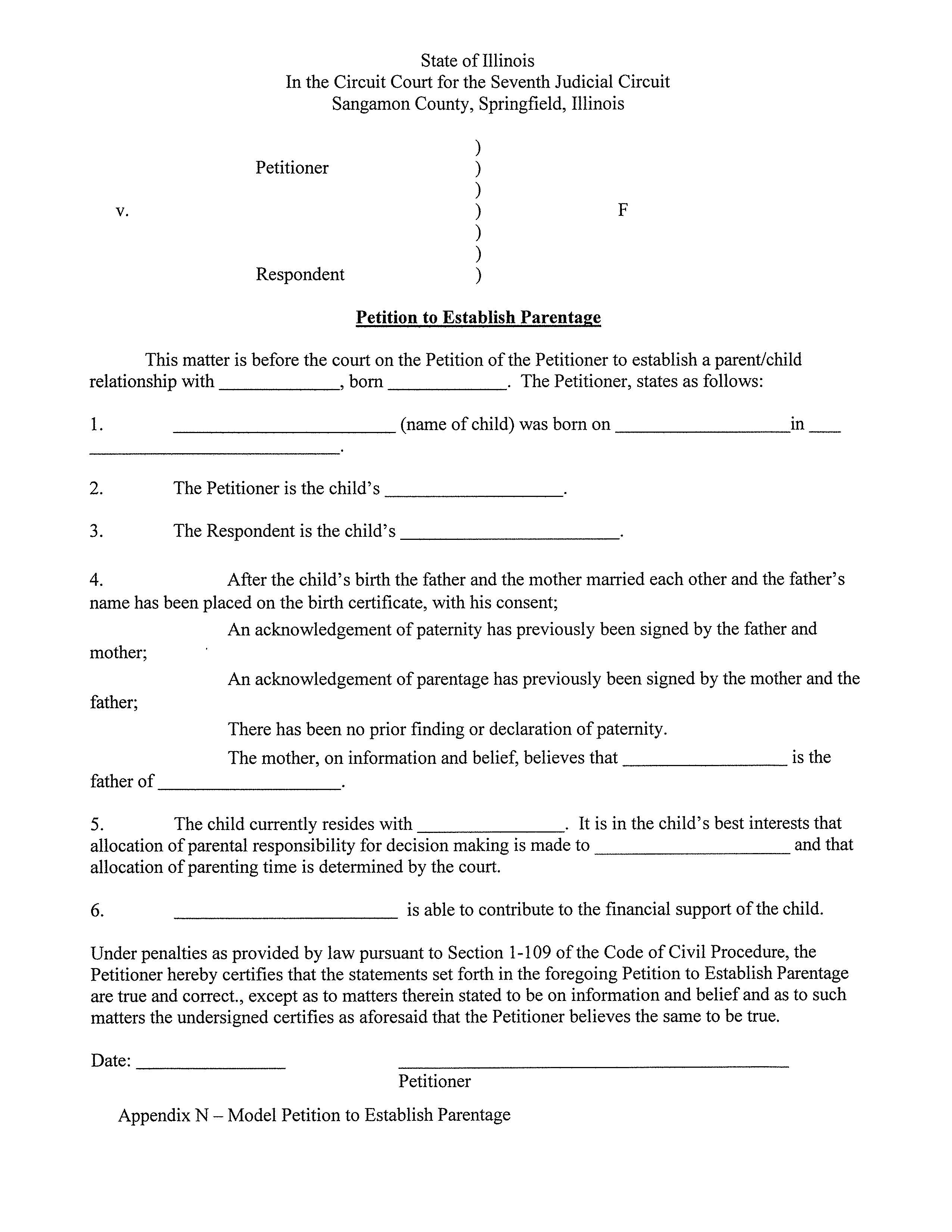
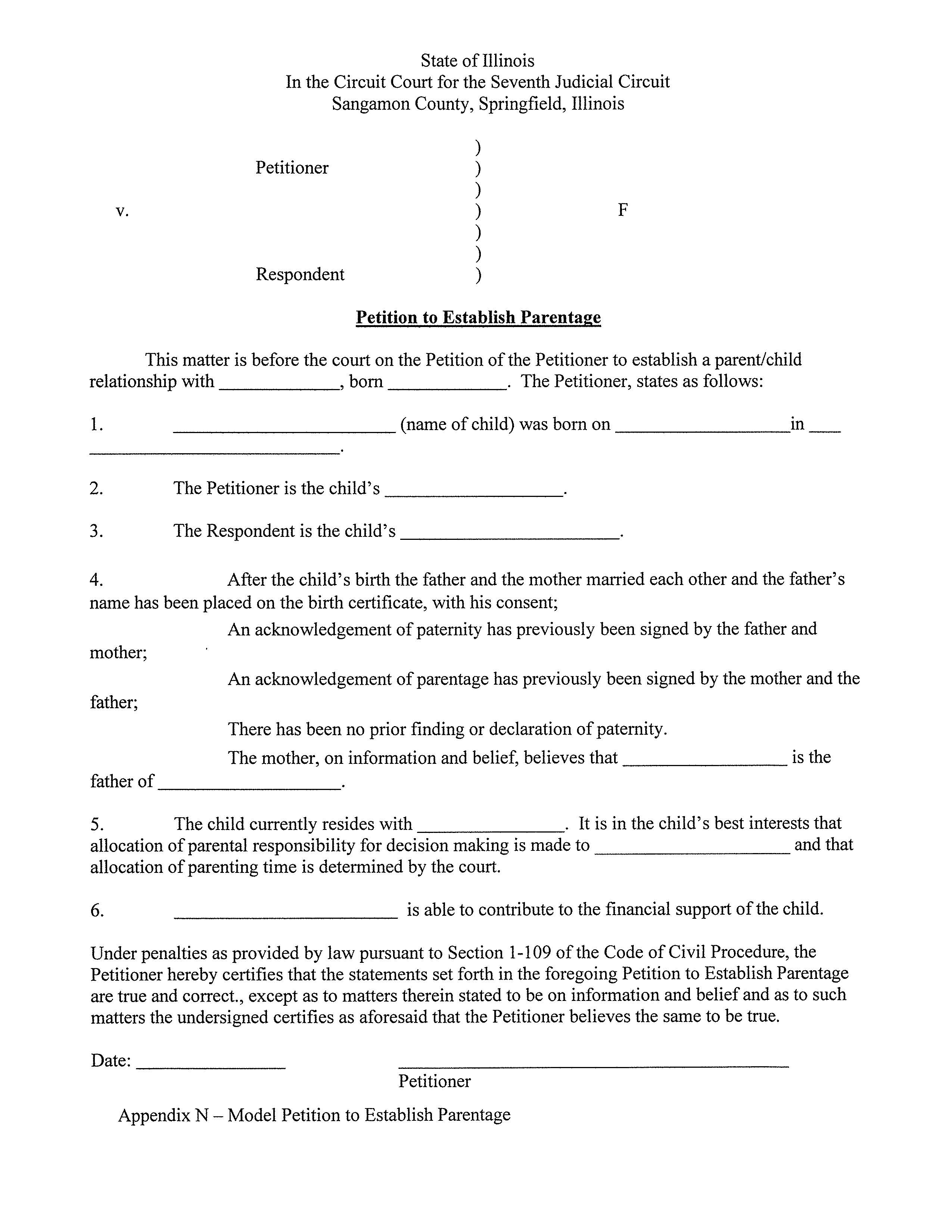
APPENDIX N - PETITION TO ESTABLISH PARENTAGE. This form is used in the Circuit Court for the Seventh Judicial Circuit of Illinois, Sangamon County,. It allows a petitioner to formally request that the court recognize and establish the legal parent-child relationship between the petitioner, the respondent, and the child named in the petition. The form provides essential details such as the child’s birth information, the petitioner’s relationship to the child, and the respondent’s relationship to the child. It also outlines whether paternity or parentage has been previously acknowledged, declared, or remains undetermined. Additionally, the petition requests that the court determine the allocation of parental responsibilities, parenting time, and financial support in the best interests of the child. By filing this petition, the petitioner affirms under penalty of law that the information provided is true and seeks a legal determination to secure the rights, responsibilities, and obligations of both parents regarding the child’s welfare. www.FormsWorkflow.com





