California Jury Instructions
11 Dangerous Condition Of Public Property
Last updated: 7/9/2021
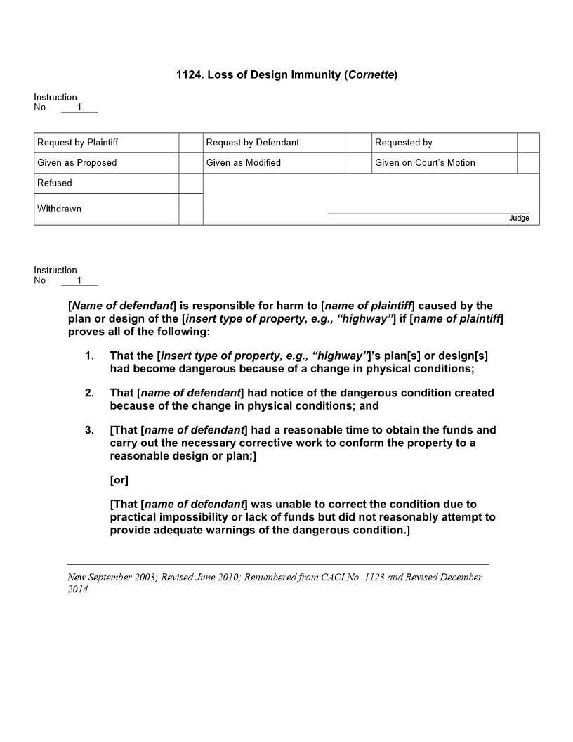
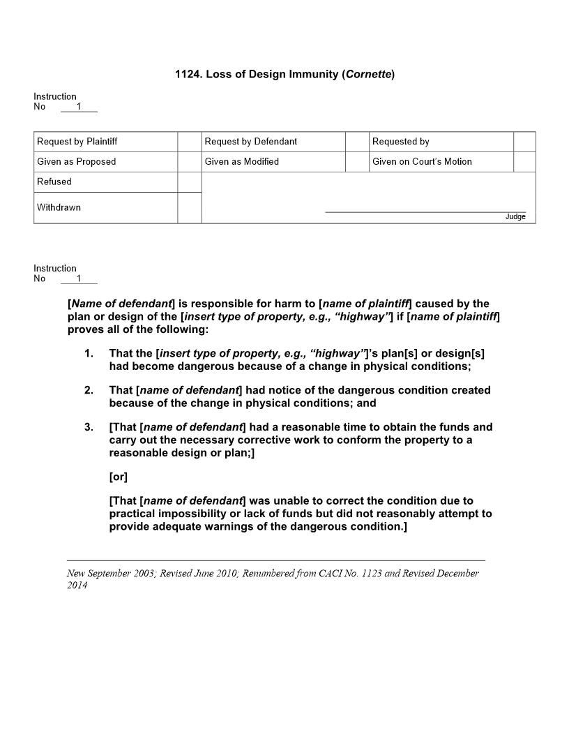
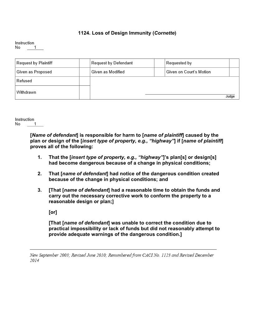
1124. Loss of Design Immunity (Cornette)
Start Your Free Trial $ 13.99What you get:
- Instant access to fillable Microsoft Word or PDF forms.
- Minimize the risk of using outdated forms and eliminate rejected fillings.
- Largest forms database in the USA with more than 80,000 federal, state and agency forms.
- Download, edit, auto-fill multiple forms at once in MS Word using our Forms Workflow Ribbon
- Trusted by 1,000s of Attorneys and Legal Professionals
Description
Instruction No 1 Request by Plaintiff Request by Defendant Requested by Given as Proposed Given as Modified Given on Court222s Motion Refused Withdrawn Judge Instruction No 1 New September 2003; Revised June 2010; Renumbered from CACI No. 1123 and Revised December 2014
Related forms
Our Products





