Last updated: 8/2/2021
Verified Petition (Leave For Guardian To Sell Real Property)
Start Your Free Trial $ 18.00What you get:
- Instant access to fillable Microsoft Word or PDF forms.
- Minimize the risk of using outdated forms and eliminate rejected fillings.
- Largest forms database in the USA with more than 80,000 federal, state and agency forms.
- Download, edit, auto-fill multiple forms at once in MS Word using our Forms Workflow Ribbon
- Trusted by 1,000s of Attorneys and Legal Professionals
Description
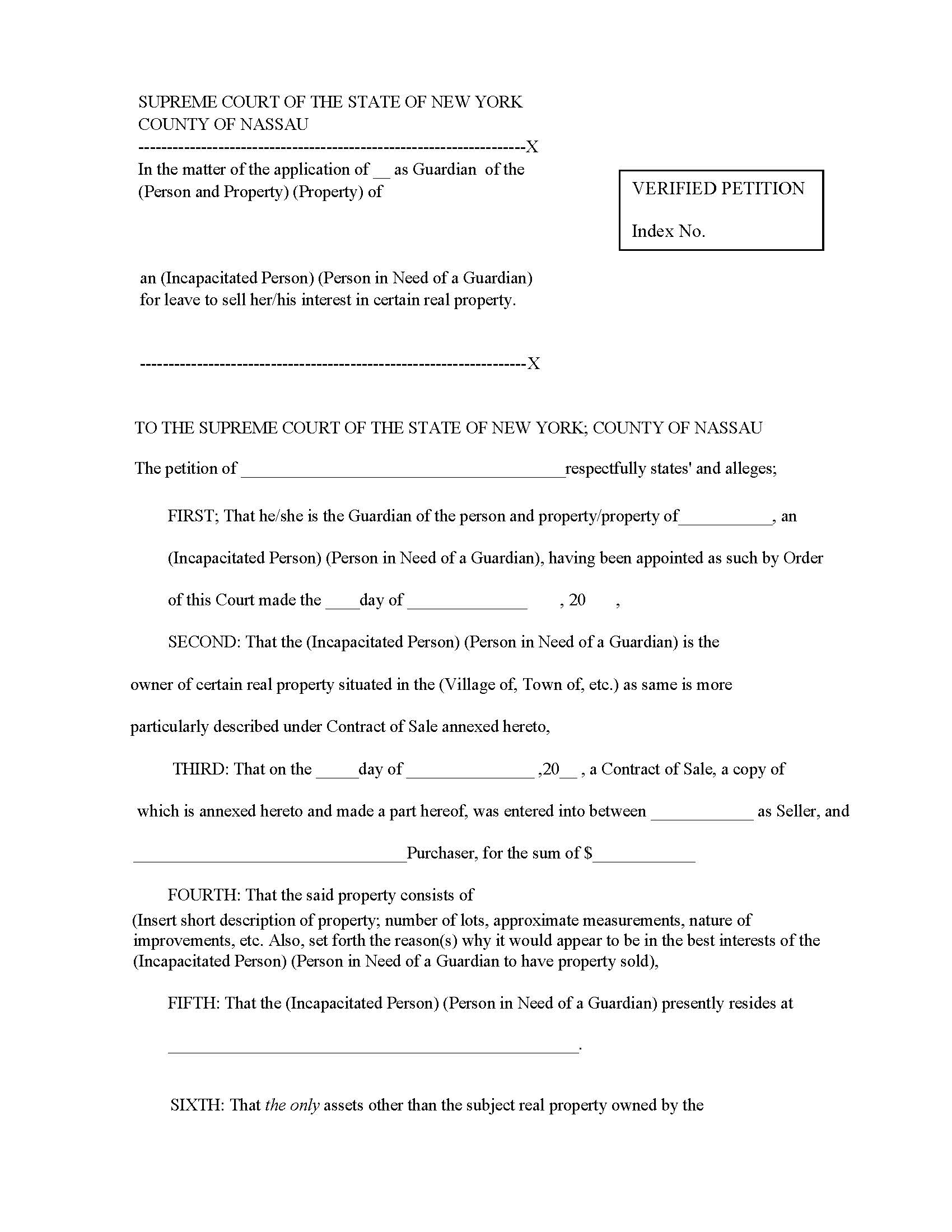
VERIFIED PETITION. This form is a verified petition submitted to the New York Supreme Court, specifically for cases involving the guardianship of an incapacitated person or a person in need of a guardian. The petition seeks court approval to sell the individual's interest in certain real property. It outlines the petitioner's status as the guardian, provides details about the incapacitated person and the property, describes a contract of sale, and argues that the sale is in the best interest of the incapacitated person. The petitioner requests a court order to confirm the sale, execute necessary documents, appoint an appraiser, and conduct a hearing on the matter. www.FormsWorkflow.com
Related forms
-
Satisfaction Of Judgment
New York/Local County/Nassau/Supreme Court/General/ -
Partial Satisfaction Of Judgment
New York/Local County/Nassau/Supreme Court/General/ -
Affidavit In Support Of Nunc Pro Tunc Order Change Of Adults Name (Sample And Form)
New York/Local County/Nassau/Supreme Court/General/ -
Affidavit In Support Of Order Extending Mechanics Lien (Sample And Form)
New York/Local County/Nassau/Supreme Court/General/ -
Affidavit In Support Of TRO Against Public Officer Board Or Municipal Corporation (Sample And Form)
New York/Local County/Nassau/Supreme Court/General/ -
Affidavit In Support Of TRO In Civil Action (Sample And Form)
New York/Local County/Nassau/Supreme Court/General/ -
Affidavit Of Consent Of Infant Over 14 (Sample And Form)
New York/Local County/Nassau/Supreme Court/General/ -
Affidavit Of Service (After Commencement Of Litigation)
New York/Local County/Nassau/Supreme Court/General/ -
Certification Pursuant To 22 NYCRR 130.1.1-a (Sample And Form)
New York/Local County/Nassau/Supreme Court/General/ -
Emergency Affidavit (Sample And Form)
New York/Local County/Nassau/Supreme Court/General/ -
Legal Back (Sample And Form)
New York/Local County/Nassau/Supreme Court/General/ -
Notice Of Appeal (Sample And Form)
New York/Local County/Nassau/Supreme Court/General/ -
Notice Of Appearance (Sample And Form)
New York/Local County/Nassau/Supreme Court/General/ -
Notice Of Motion (Sample And Form)
New York/Local County/Nassau/Supreme Court/General/ -
Order Extending Mechanics Lien (Sample And Form)
New York/Local County/Nassau/Supreme Court/General/ -
Order For Withdrawal Of Infants Funds (Sample And Form)
New York/Local County/Nassau/Supreme Court/General/ -
Order To Show Cause For Contempt In Civil Action (Sample And Form)
New York/Local County/Nassau/Supreme Court/General/ -
Order To Show Cause For Contempt In Civil Action With TRO (Sample And Form)
New York/Local County/Nassau/Supreme Court/General/ -
Order To Show Cause In Civil Action (Sample And Form)
New York/Local County/Nassau/Supreme Court/General/ -
Order To Show Cause In Civil Action With TRO (Sample And Form)
New York/Local County/Nassau/Supreme Court/General/ -
Order To Show Cause In Special Proceeding With TRO (Sample And Form)
New York/Local County/Nassau/Supreme Court/General/ -
Petition For Change Of Adults Name (Sample And Form)
New York/Local County/Nassau/Supreme Court/General/ -
Petition For Withdrawal Of Infants Funds With Verification (Sample And Form)
New York/Local County/Nassau/Supreme Court/General/ -
Petition With Verification (Sample And Form)
New York/Local County/Nassau/Supreme Court/General/ -
Proposed Order (Sample And Form)
New York/Local County/Nassau/Supreme Court/General/ -
Reply Affidavit (Sample And Form)
New York/Local County/Nassau/Supreme Court/General/ -
Request For Preliminary Conference (Sample And Form)
New York/Local County/Nassau/Supreme Court/General/ -
Stipulation Discontinuing Action (Sample And Form)
New York/Local County/Nassau/Supreme Court/General/ -
Summons (Sample And Form)
New York/Local County/Nassau/Supreme Court/General/ -
Summons With Notice (Sample And Form)
New York/Local County/Nassau/Supreme Court/General/ -
Affidavit In Opposition (Sample And Form)
New York/Local County/Nassau/Supreme Court/General/ -
Affidavit In Support (Sample And Form)
New York/Local County/Nassau/Supreme Court/General/ -
Client Request For Fee Arbitration (Nassau)
New York/3 Local County/Nassau/Supreme Court/General/ -
Initial Report (Guardianship - Incapacitated Person)
New York/3 Local County/Nassau/Supreme Court/General/ -
Application For Approval Of Expenditures (Short Form) - Order
New York/3 Local County/Nassau/Supreme Court/General/ -
Commission For Guardian
New York/3 Local County/Nassau/Supreme Court/General/ -
Annual Report Of Personal Needs Guardian
New York/3 Local County/Nassau/Supreme Court/General/ -
Statement Identifying Real Property
New York/3 Local County/Nassau/Supreme Court/General/ -
Order To Show Cause To Appoint Guardian
New York/3 Local County/Nassau/Supreme Court/General/ -
Annual Report Of Guardian (Property Management And Personal Needs)
New York/3 Local County/Nassau/Supreme Court/General/ -
Designation (Of Nassau Clerk For Service Of Process)
New York/3 Local County/Nassau/Supreme Court/General/ -
Notice Of Arbitration Award And Award Hearing Information (Attorney-Client Arbitration)
New York/3 Local County/Nassau/Supreme Court/General/ -
Application For Index Number
New York/Local County/Nassau/Supreme Court/General/ -
Tax To Be Paid (Mortgage) No Recorded Document
New York/3 Local County/Nassau/Supreme Court/General/ -
Document Cover Sheet (Land Records)
New York/3 Local County/Nassau/Supreme Court/General/ -
Foreclosure Settlement Conference Worksheet
New York/3 Local County/Nassau/Supreme Court/General/ -
Foreclosure Settlement Conference Additional Information
New York/3 Local County/Nassau/Supreme Court/General/ -
Foreclosure Settlement Conference Status Form
New York/3 Local County/Nassau/Supreme Court/General/ -
Foreclosure Settlement Conference Intake Form
New York/3 Local County/Nassau/Supreme Court/General/ -
Order To Show Cause (Leave For Guardian To Sell Real Property)
New York/3 Local County/Nassau/Supreme Court/General/ -
Verified Petition (Leave For Guardian To Sell Real Property)
New York/3 Local County/Nassau/Supreme Court/General/ -
Order Approving Contract Of Sale (For Guardian To Sell Real Property)
New York/3 Local County/Nassau/Supreme Court/General/ -
Order Confirming Sale (By Guardian Of Real Property)
New York/3 Local County/Nassau/Supreme Court/General/ -
Order Approving Contract Of Sale (For Guardian Of Property Management)
New York/3 Local County/Nassau/Supreme Court/General/ -
Petition For Appointment Of Guardian Of Person And Property
New York/3 Local County/Nassau/Supreme Court/General/ -
Order Settling Final Account (By Guardian Of Deceased Ward)
New York/3 Local County/Nassau/Supreme Court/General/ -
Acknowledged Consent Interested Party To Discharge Guardian Without Formal Accounting
New York/3 Local County/Nassau/Supreme Court/General/ -
Decree Discharging Guardian Surety Upon Approval Final Account (Deceased Ward)
New York/3 Local County/Nassau/Supreme Court/General/ -
Acknowledged Consent Interested Party Discharge Guardian Without Formal Accounting [Surety]
New York/3 Local County/Nassau/Supreme Court/General/ -
Acknowledged Consent Interested Party Discharge Guardian Without Formal Accounting [Executor-Administrator]
New York/3 Local County/Nassau/Supreme Court/General/ -
Petition For Judicial Approval Final Account By Decree (Deceased Ward)
New York/3 Local County/Nassau/Supreme Court/General/ -
Affidavit In Support Of Compensation (Final Accounting Guardian Of Deceased Ward)
New York/3 Local County/Nassau/Supreme Court/General/ -
Affidavit Of Service By Certified Mail (Final Accounting Guardian Of Deceased Ward)
New York/3 Local County/Nassau/Supreme Court/General/ -
Final Account (Deceased Ward) With Schedules A-F
New York/3 Local County/Nassau/Supreme Court/General/ -
Notice Of Motion (For Judicial Settlement Of Final Account)
New York/3 Local County/Nassau/Supreme Court/General/ -
Request For Transcription Of Minutes
New York/3 Local County/Nassau/Supreme Court/General/ -
Order (Long Form) With Legal Back (Sample And Form)
New York/3 Local County/Nassau/Supreme Court/General/ -
Attorney Good Faith ADR Certfication (22 NYCRR Section 202.11)
New York/3 Local County/Nassau/Supreme Court/General/ -
Notice Of Entry With Legal Back (Sample And Form)
New York/Local County/Nassau/Supreme Court/General/ -
Notice Of Settlement With Legal Back (Sample And Form)
New York/Local County/Nassau/Supreme Court/General/ -
Ex Parte Order Amending Judgment Of Foreclosure And Sale (Judge Sullivan)
New York/3 Local County/Nassau/Supreme Court/General/ -
Short Form Order Selection Of Neutral (Matrimonial ADR)
New York/3 Local County/Nassau/Supreme Court/General/ -
Report Of ADR Neutral (Matrimonial)
New York/3 Local County/Nassau/Supreme Court/General/ -
Preliminary Conference Stipulation And Order
New York/3 Local County/Nassau/Supreme Court/General/ -
Stipulation (Expedited Summary Jury Trial - Judge Cozzens)
New York/Local County/Nassau/Supreme Court/General/ -
Order Of Reference Matrimonial Mediation Program
New York/3 Local County/Nassau/Supreme Court/General/ -
Order Of Reference Matrimonial Special Master-Neutral Evaluation Program
New York/Local County/Nassau/Supreme Court/General/ -
Order Of Reference Civil Case ADR Program
New York/Local County/Nassau/Supreme Court/General/ -
Confidential Report Of ADR Neutral
New York/3 Local County/Nassau/Supreme Court/General/ -
Civil Case ADR Program Assignment Form
New York/Local County/Nassau/Supreme Court/General/ -
Order To Show Cause In Special Proceeding (Sample And Form)
New York/Local County/Nassau/Supreme Court/General/ -
Order And Judgment Appointing Successor Guardian Directing Final Report And Account
New York/3 Local County/Nassau/Supreme Court/General/ -
Order And Judgment Appointing Guardian
New York/3 Local County/Nassau/Supreme Court/General/ -
Affirmation (Of Plaintiff - Foreclosure)
New York/Local County/Nassau/Supreme Court/General/ -
Affirmation (Of Plaintiff - Foreclosure - Supplemental Papers)
New York/Local County/Nassau/Supreme Court/General/ -
Order Confirming Referee Report And Judgment Of Foreclosure And Sale
New York/3 Local County/Nassau/Supreme Court/General/ -
Deposition Schedule Rider Pursuant To 5(a) Of Preliminary Conference Order
New York/Local County/Nassau/Supreme Court/General/
Form Preview
Contact Us
Success: Your message was sent.
Thank you!




