Last updated: 2/9/2021
Application Instructions For A Race Book And Or Sports Pool
Start Your Free Trial $ 13.99What you get:
- Instant access to fillable Microsoft Word or PDF forms.
- Minimize the risk of using outdated forms and eliminate rejected fillings.
- Largest forms database in the USA with more than 80,000 federal, state and agency forms.
- Download, edit, auto-fill multiple forms at once in MS Word using our Forms Workflow Ribbon
- Trusted by 1,000s of Attorneys and Legal Professionals
Description
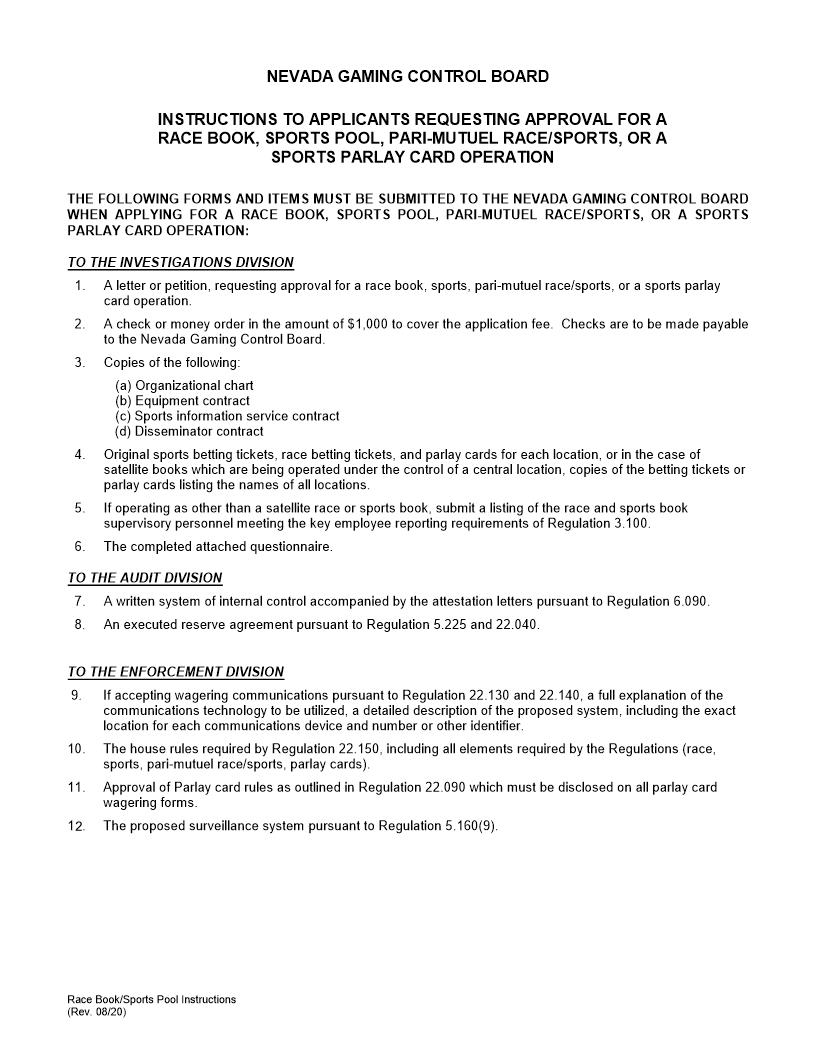
NEVADA GAMING CONTROL BOARD INSTRUCTIONS TO APPLICANTS REQUESTING APPROVAL FOR A RACE BOOK, SPORTS POOL, PARI-MUTUEL RACE/SPORTS, OR A SPORTS PARLAY CARD OPERATION THE FOLLOWING FORMS AND ITEMS MUST BE SUBMITTED TO THE NEVADA GAMING CONTROL BOARD WHEN APPLYING FOR A RACE BOOK, SPORTS POOL, PARI-MUTUEL RACE/SPORTS, OR A SPORTS PARLAY CARD OPERATION: TO THE INVESTIGATIONS DIVISION 1. A letter or petition, requesting approval for a race book, sports, pari-mutuel race/sports, or a sports parlay card operation. 2. A check or money order in the amount of $500 to cover the application fee. Checks are to be made payable to the Nevada Gaming Control Board. 3. Copies of the following: (a) Organizational chart (b) Equipment contract (c) Sports information service contract (d) Disseminator contract 4. Original sports betting tickets, race betting tickets, and parlay cards for each location, or in the case of satellite books which are being operated under the control of a central location, copies of the betting tickets or parlay cards listing the names of all locations. 5. If operating as other than a satellite race or sports book, submit a listing of the race and sports book supervisory personnel meeting the key employee reporting requirements of Regulation 3.100. 6. The completed attached questionnaire. TO THE AUDIT DIVISION 7. A written system of internal control accompanied by the attestation letters pursuant to Regulation 6.090 (satellite books included). 8. An executed reserve agreement pursuant to Regulations 5.225 and 22.040. TO THE ENFORCEMENT DIVISION 9. If accepting wagering communications pursuant to Regulation 22.130 and 22.140, a full explanation of the communications technology to be utilized, a detailed description of the proposed system, including the exact location for each communications device and number or other identifier. 10. The house rules required by Regulation 22.150, including all elements required by the Regulations (race, sports, pari-mutuel race/sports, parlay cards). 11. Approval of parlay card rules as outlined in Regulation 22.090 which must be disclosed on all parlay card wagering forms. 12. The proposed surveillance system pursuant to Regulation 5.160(9). Race Book/Sports Pool Instructions (Rev. 04/19) American LegalNet, Inc. www.FormsWorkFlow.com





