Last updated: 10/14/2020
4101. Failure to Use Reasonable Care Essential Factual Elements
Start Your Free Trial $ 13.99What you get:
- Instant access to fillable Microsoft Word or PDF forms.
- Minimize the risk of using outdated forms and eliminate rejected fillings.
- Largest forms database in the USA with more than 80,000 federal, state and agency forms.
- Download, edit, auto-fill multiple forms at once in MS Word using our Forms Workflow Ribbon
- Trusted by 1,000s of Attorneys and Legal Professionals
Description
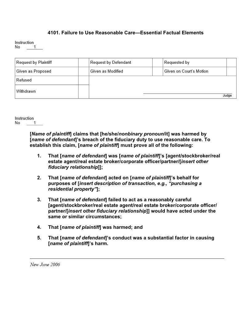
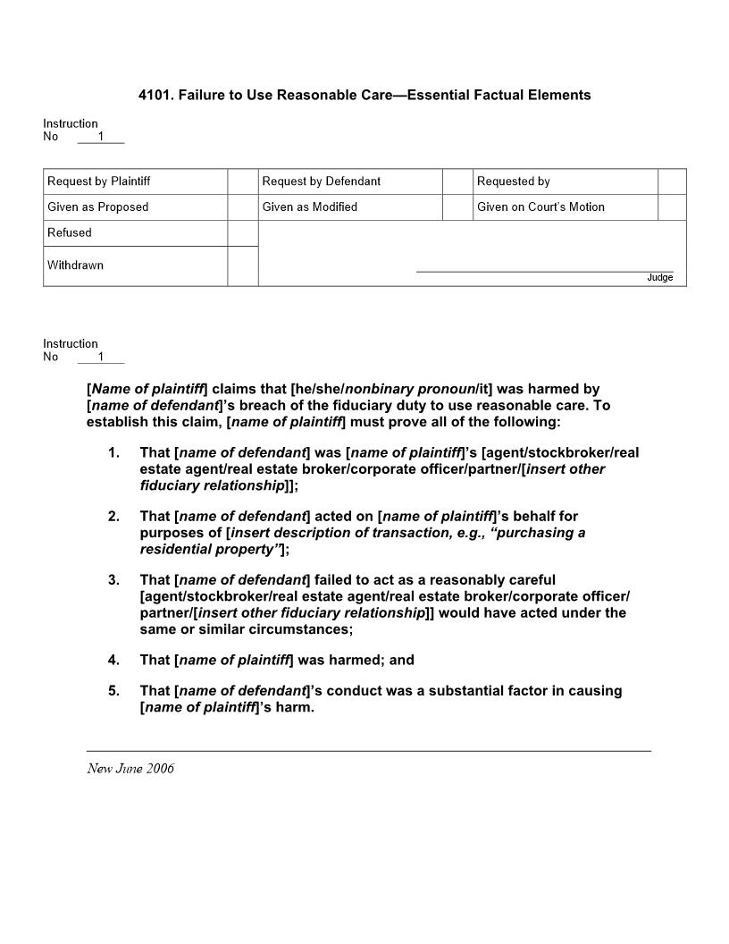
4101. Failure to Use Reasonable Care--Essential Factual Elements Instruction No 1 Request by Plaintiff Given as Proposed Refused Withdrawn Request by Defendant Given as Modified Requested by Given on Court's Motion Judge Instruction No 1 [Name of plaintiff] claims that [he/she/it] was harmed by [name of defendant]'s breach of the fiduciary duty to use reasonable care. To establish this claim, [name of plaintiff] must prove all of the following: 1. That [name of defendant] was [name of plaintiff]'s [agent/stockbroker/real estate agent/real estate broker/corporate officer/partner/[insert other fiduciary relationship]]; That [name of plaintiff] acted on [name of plaintiff]'s behalf for purposes of [insert description of transaction, e.g., "purchasing a residential property"]; That [name of defendant] failed to act as a reasonably careful [agent/stockbroker/real estate agent/real estate broker/corporate officer/partner/[insert other fiduciary relationship]] would have acted under the same or similar circumstances; That [name of plaintiff] was harmed; and That [name of defendant]'s conduct was a substantial factor in causing [name of plaintiff]'s harm. 2. 3. 4. 5. ________________________________________________________________________________ New June 2006





