Last updated: 9/29/2020
Checklist For Guardianship Proceedings
Start Your Free Trial $ 15.99What you get:
- Instant access to fillable Microsoft Word or PDF forms.
- Minimize the risk of using outdated forms and eliminate rejected fillings.
- Largest forms database in the USA with more than 80,000 federal, state and agency forms.
- Download, edit, auto-fill multiple forms at once in MS Word using our Forms Workflow Ribbon
- Trusted by 1,000s of Attorneys and Legal Professionals
Description
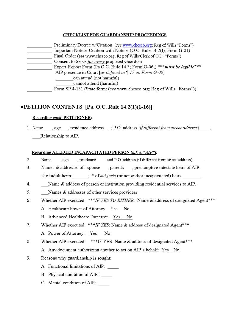
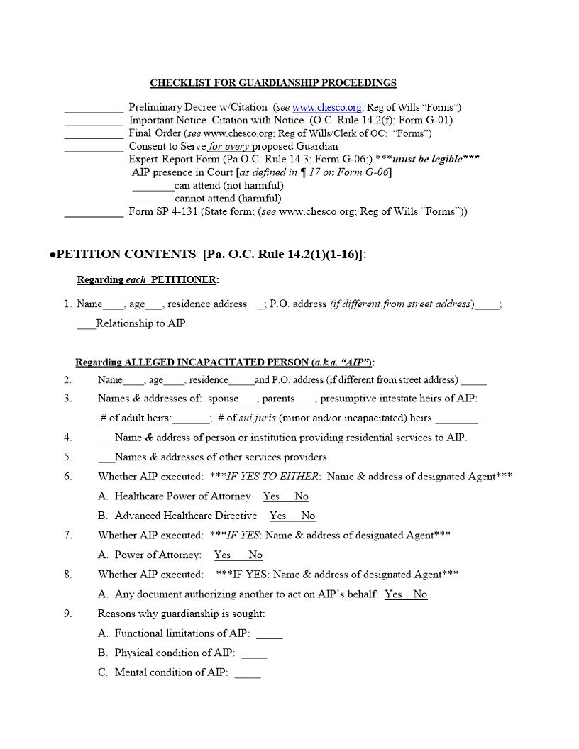
CHECKLIST FOR GUARDIANSHIP PROCEEDINGS Preliminary Decree w/Citation ( see www.chesco.org Important Notice Citation with Notice ( O.C. Rule 14.2(f); Form G - 0 1) Final Order ( see Consent to Serve for every proposed Guardian Expert Repor t Form (Pa O.C. Rule 14.3; Form G - 06; ) *** must be legible *** AIP presence in Court [ as defi ned in 266 17 on Form G - 06 ] can attend (not harmful) cannot attend (harmful) Form SP 4 - 131 ( State form ; ( see ) P ETITION CONTENTS [Pa. O.C. Rule 14.2(1)(1 - 16) ] : Regarding each PETITIONER : 1. Name , age , residence address ; P.O. address (if different from street address ) ; Relationship to AIP. R egarding ALLEGED INCAPACITATED PERSON ( ) : 2. Name , age, residence and P.O. address (if differ ent from street address) 3. Names & addresses of : spouse , parents , presumptive intestate heirs of AIP : # of adult heirs: ; # of sui juris (minor and/or incapacitated) heirs 4. Name & address of person or in stitution providing r esidential services to AIP. 5. Names & addresses of other services providers 6. Whe ther AIP executed: *** IF YES TO EITHER : Name & address of designated Agent*** A. Health care Power of Attorney Yes No B. Advanced Healthcare Directive Yes No 7. Whether AIP executed: *** IF YES : Name & address of designated Agent*** A. Power of Attorney : Yes No 8. Whether AIP executed: ***IF YES: Name & address of designated Agent*** A. : Yes No 9. Reasons why g uardianship is sought: A. Functional limitations of AIP: B. Physical condition of AIP: C. Mental condition of AIP: American LegalNet, Inc. www.FormsWorkFlow.com Yes No *** IF NO & list of the spec ific areas sought to be covered in the guardianship decree 10. Probability whether physical condition will improve Probability whether mental condition will improve 11. Whether there was ever a prior incapacity (guardianship) hearing Yes No ***IF YES: Name of Court ; Date of hearing ; Determination/outcome *** 12. Steps taken to find a less restrictive alternative to guardianship 13. IF seeking Guardianship of ESTATE: A. Gross value of Estate (if known): $ B. Net income of Estate (if known): $ C. Whether a pre - paid burial account has been established: Yes No. 14. Is AIP a Veteran: Yes No ; Is AIP receiving VA benefits (for self or through spouse): Yes No 15. Name & Address of a ve notice of annual guardianship reports [***M ay include persons in #3 - 8 above***] NOMINATION OF PROPOSED GUARDIAN(S) [Pa. O.C. Rule 14.2(b)] : *** MUST DO # 17 - 23 FOR EACH Proposed Guardian *** 16. Seeking to be: Guardian of the Person ; Guardi an of the Estate 17. Name , age, residence address; P.O. address (if different from street address); Relationship to AIP: *** IF an Entity: A. Name of person(s) to have direct responsibility for AIP . B. Name of Principal of en tity. 18. Whether proposed guardian has any adverse interest to AIP : Yes No 19. Whether proposed guardian is available and able to vision or confer with AIP: Yes No 20. Whether proposed guardian has completed any guardianship training. Yes No ***IF YES : name of training program; length of training; date of completion*** 21. Whether proposed guardian has ever has ever had any guardianship certification Yes No *** IF YES : current status of certification*** 22. Whether proposed guardian is now o r ever was a guardian in any other matter Yes No *** IF YES : the number of all active matters*** American LegalNet, Inc. www.FormsWorkFlow.com 23. All writings ( Nos. 6 - 8 above ): executed Healthcare POA; executed advance healthcare directive; executed POA; any other documents authorizing a third party to act on AIP behalf 24. Certified response to PA State Police c riminal check [ must be issued within 6 months of the date guardianship petition herein was filed ] for each proposed guardian . [redact SS#s] 25. IF any proposed guardian resided outside of PA within previous 5 years & was 18 yrs old or older any time during tha t period: A c riminal records check from the state(s) must be filed. 26. IF a proposed guardian is an Entity: the Entity must submit a PSP criminal record check. 27. Consent to serve as guardian for each proposed guardian ADDITIONAL REQUIREMENTS: Verification (required) [Pa. O.C. Rule 3.4(d)] Attorney Information : name, address, zip code, telephone # and Atty ID # At least 7 days prior to hearing the following must have been filed with C ourt : 1. Affidavit s of Service : Proving service made n o less than 20 days before date of hearing : 1. By p ersonal service upon AIP [Pa. O.C. Rule 14.2(f)(1)] Yes No 2. Upon all other persons/ entities entitled [ pursuant to Pa. O.C. Rule 4. 3 ] Yes No 2. Notice of Retention/Non - Retention of Counsel by A.I.P. : Yes No 3. Certificate of Service : When : Petitioner intends to use an Expert Report at hearing . Certificate to prove service of a copy of the Expert Rep ort made no later than 10 days prior to hearing upon : A. AIP ( if pro se ) or his/her Counsel & B. [pursuant to: Pa. O.C. Rule 14.3 (b)(1),(2), & (3)] NOTE: f ailure to meet servic e date requirements will result in cancellation of the hearin g and a rescheduled date/time. American LegalNet, Inc. www.FormsWorkFlow.com





