Last updated: 5/27/2020
Mandatory Disclosure Of Information Confidential Form {LF-FAM-105}
Start Your Free Trial $ 13.99What you get:
- Instant access to fillable Microsoft Word or PDF forms.
- Minimize the risk of using outdated forms and eliminate rejected fillings.
- Largest forms database in the USA with more than 80,000 federal, state and agency forms.
- Download, edit, auto-fill multiple forms at once in MS Word using our Forms Workflow Ribbon
- Trusted by 1,000s of Attorneys and Legal Professionals
Description
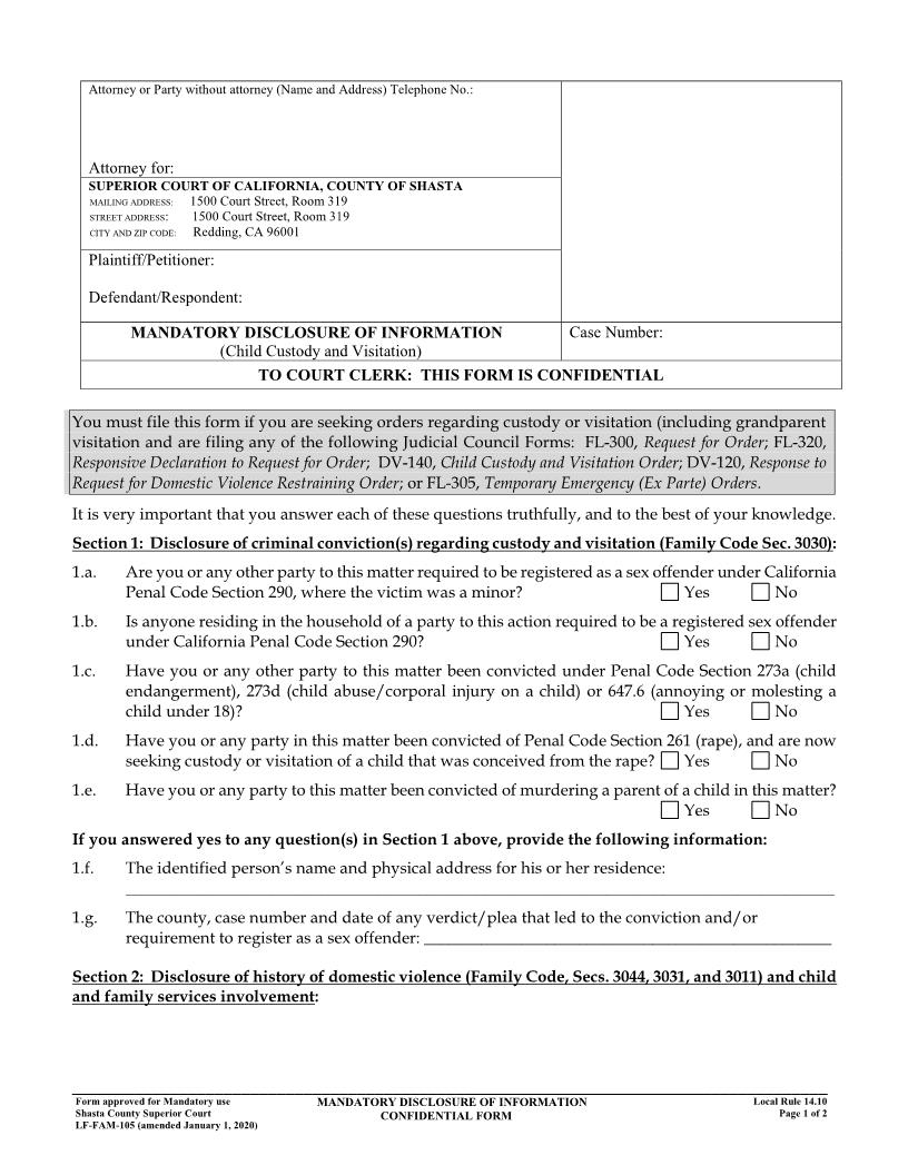
FormapprovedforMandatoryuseShastaCountySuperiorCourtLF-FAM-105(newJuly1,2019)MANDATORYDISCLOSUREOFINFORMATIONCONFIDENTIALFORMLocalRule14.10Page1of2AttorneyorPartywithoutattorney(NameandAddress)TelephoneNo.:Attorneyfor: SUPERIORCOURTOFCALIFORNIA,COUNTYOFSHASTAMAILINGADDRESS:1500CourtStreet,Room319STREETADDRESS:1500CourtStreet,Room319CITYANDZIPCODE:Redding,CA96001 Plaintiff/Petitioner: Defendant/Respondent: MANDATORYDISCLOSUREOFINFORMATION(ChildCustodyandVisitation) Case Number: TOCOURTCLERK:THISFORMISCONFIDENTIAL YoumustfilethisformifyouareseekingordersregardingcustodyorvisitationandarefilingaJudicial CouncilFormFL-300,RequestforOrder;JudicialCouncilFormDV-140,ChildCustodyandVisitationOrder; orJudicialCouncilFormFL-305,TemporaryEmergency(ExParte)Orders. Itisveryimportantthatyouanswereachofthesequestionstruthfully,andtothebestofyourknowledge.Section1:Disclosureofcriminalconviction(s)regardingcustodyandvisitation(FamilyCodeSec.3030): 1.a.AreyouoranyotherpartytothismatterrequiredtoberegisteredasasexoffenderunderCaliforniaPenalCodeSection290,wherethevictimwasaminor? Yes No1.b.IsanyoneresidinginthehouseholdofapartytothisactionrequiredtobearegisteredsexoffenderunderCaliforniaPenalCodeSection290? Yes No1.c.HaveyouoranyotherpartytothismatterbeenconvictedunderPenalCodeSection273a(childendangerment),273d(childabuse/corporalinjuryonachild)or647.6(annoyingormolestingachildunder18)? Yes No1.d.HaveyouoranypartyinthismatterbeenconvictedofPenalCodeSection261(rape),andarenowseekingcustodyorvisitationofachildthatwasconceivedfromtherape? Yes No1.e.Haveyouoranypartytothismatterbeenconvictedofmurderingaparentofachildinthismatter? Yes NoIfyouansweredyestoanyquestion(s)inSection1above,providethefollowinginformation:1.f.Theidentifiedperson222snameandphysicaladdressforhisorherresidence:1.g.Thecounty,casenumberanddateofanyverdict/pleathatledtotheconvictionand/orrequirementtoregisterasasexoffender:Section2:Disclosureofhistoryofdomesticviolence(FamilyCode,Secs.3044,3031,and3011)andchild andfamilyservicesinvolvement: 2.a.Withinthelastfiveyearshasanycourtmadeafindingthatapartytothismatterhascommitteddomesticviolenceagainsttheotherpartyseekingcustodyofthechild,orhascommitteddomesticviolenceagainstthechildorchild222ssiblings? Yes No American LegalNet, Inc. www.FormsWorkFlow.com FormapprovedforMandatoryuseShastaCountySuperiorCourtLF-FAM-105(newJuly1,2019)MANDATORYDISCLOSUREOFINFORMATIONCONFIDENTIALFORMLocalRule14.10Page2of22.b.Areyouawareofanycourtfindingthatapartytothismatterhascommitteddomesticviolenceagainstaspouse,formerspouse,apersonhe/shecurrentlyorusetobeinadatingrelationshipwith,oragainstapersonthatregularlyresidedintheabusingparty222shousehold? Yes No2.c.HaveyouoranyotherpartytothismatterbeencontactedbyHHSA-Children222sServices(formerlyChildProtectiveServicesor223CPS224)basedonanact,orafailuretoact,thatconcernedanyofthechildreninthismatter? Yes No2.d.HaveyouoranyotherpartytothismatterbeencontactedbyHHSA-Children222sServices(formerlyChildProtectiveServicesor223CPS224)basedonanact,orafailuretoact,thatconcernedaparty222schildthatisnotinvolvedinthiscase? Yes NoIfyouansweredyestoanyquestionsinSection2,providethefollowing:2.e.Thenameofthepartytowhichafindingofabuseapplies:2.f.Theprotectedpersonsmadepartofanyrestrainingorderfollowingthefindingofabuse:2.g.Thedatethefinding/decision/rulingofabusewasmadebyacourt,andthedateanyrestrainingorderthereafterissued:2.h.ThedateeitherpartywascontactedbyHHSA-Children222sServices/224CPS224andthecountywherethecontactwasmade:2.i.Thefinding(s)ofanyinvestigationbyHHSA-Children222sServices/224CPS224relativetothepartyinvestigated:2.j.Attachacopyofthecourtdocument(s)(civilorcriminal)thataddressanyfindingorcourtordersregardingdomesticviolence.Section3:Disclosureofillegalsubstanceand/oralcoholabuseconvictions(FamilyCodeSection 3041.5)): 3.a.Haveyouoranypartytothismatterbeenconvictedorenteredapleaofguiltyfortheillegaluseorpossessionofacontrolledsubstancewithinthelastfiveyears? Yes No3.b.Haveyouoranypartytothismatterbeenconvictedorenteredapleaofguiltytodrivingundertheinfluenceofalcoholwithinthelastfiveyears? Yes NoIfanyansweredyestoanyofthequestionsinSection3,providethefollowing:3.c.Thenameofthepartyconvicted:3.d.Thecountywheretheconvictionwashad:3.e.Thedateoftheconviction:I,,declareunderpenaltyofperjuryunderthelawsoftheStateofCaliforniathattheforegoingistrueandcorrect.SignatureofDeclarantDate American LegalNet, Inc. www.FormsWorkFlow.com





