Last updated: 10/9/2019
Notice To Tenant Of Payment Required To Avoid Eviction {6}
Start Your Free Trial $ 5.99What you get:
- Instant access to fillable Microsoft Word or PDF forms.
- Minimize the risk of using outdated forms and eliminate rejected fillings.
- Largest forms database in the USA with more than 80,000 federal, state and agency forms.
- Download, edit, auto-fill multiple forms at once in MS Word using our Forms Workflow Ribbon
- Trusted by 1,000s of Attorneys and Legal Professionals
Description
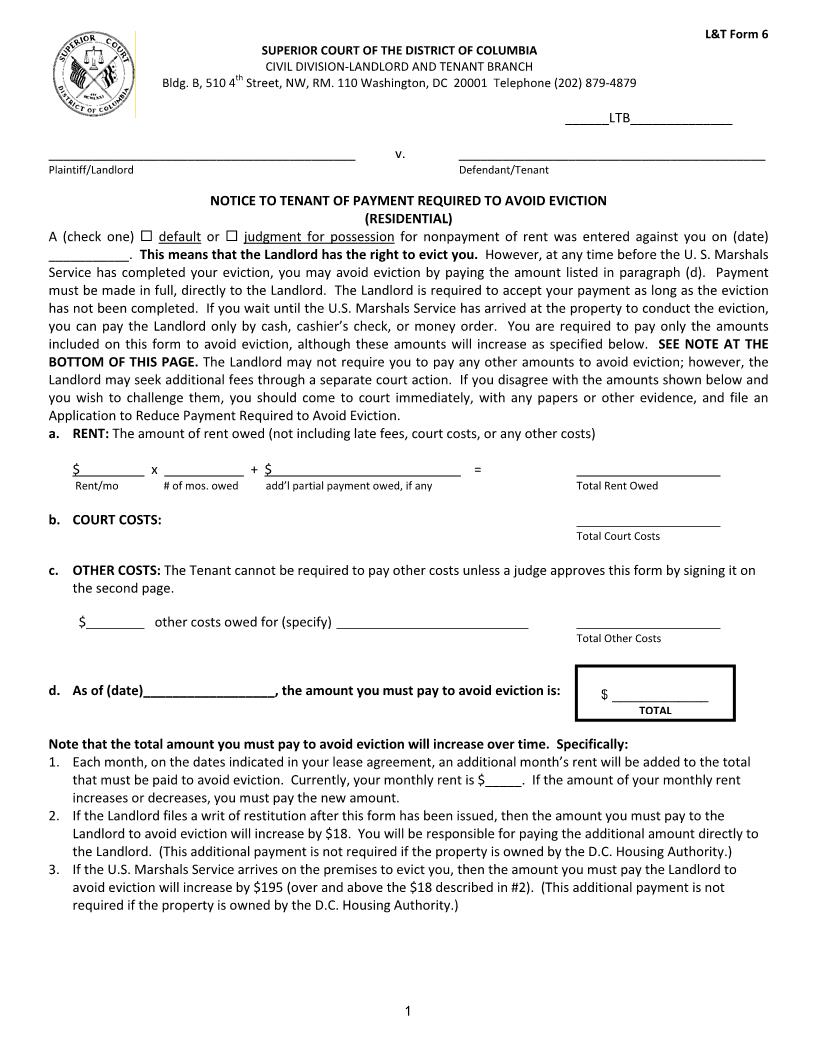
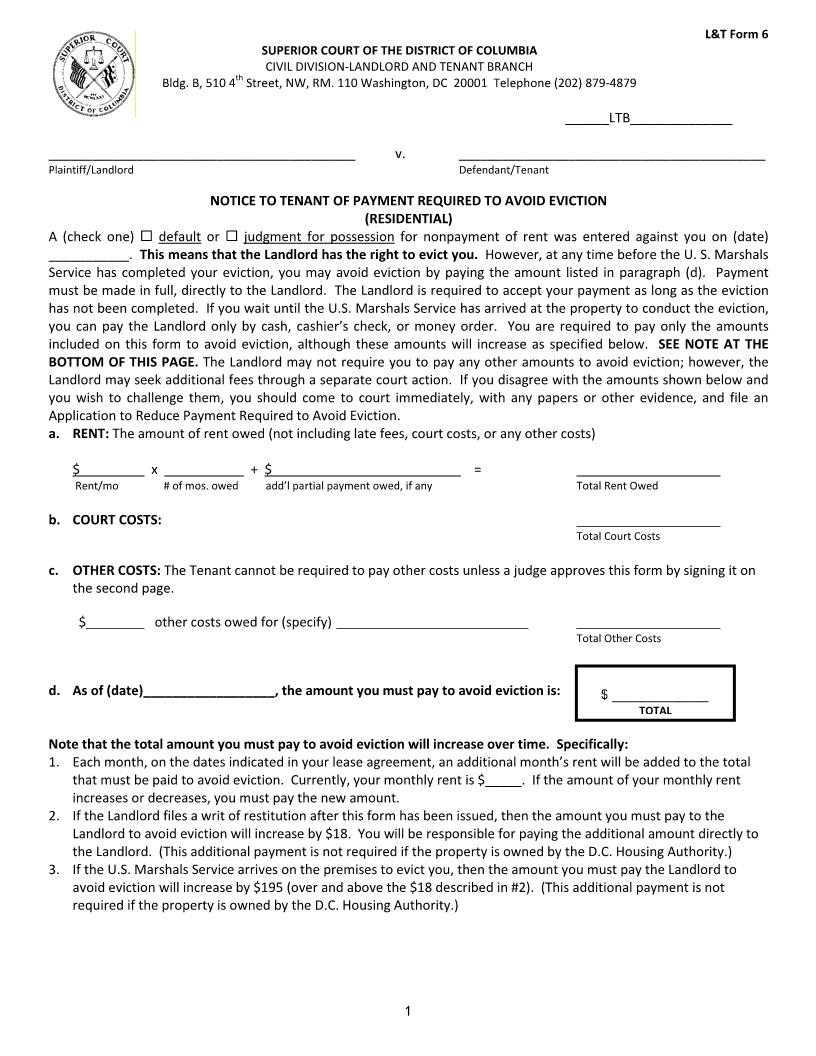
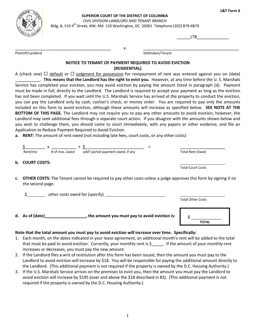
SUPERIOR COURT OF THE DISTRICT OF COLUMBIA CIVIL DIVISION LANDLORD AND TENANT BRANCH th Bldg. B, 510 4 Street, NW, RM. 110 Washington, DC 20001 Telephone (202) 879-4879 L&T Form 6 L&T __________________________________________ Plaintiff/Landlord v. __________________________________________ Defendant/Tenant NOTICE TO TENANT OF PAYMENT REQUIRED TO AVOID EVICTION A (check one) default or judgment for possession for nonpayment of rent was entered against you on (date) ___________. This means that the Landlord has the right to evict you. However, at any time before the U. S. Marshals Service has completed your eviction, you may avoid eviction by paying the amount listed in paragraph (e). Payment must be made in full, directly to the Landlord. The Landlord is required to accept your payment as long as the eviction has not been completed. If you wait until the U.S. Marshals Service has arrived at the property to conduct the eviction, you can pay the Landlord only by cash, cashier's check, or money order. You are required to pay only the amounts included on this form to avoid eviction, although these amounts will increase as specified below. The Landlord may not require you to pay any other amounts to avoid eviction; however, the Landlord may seek additional fees through a separate court action. If you disagree with the amounts shown below and you wish to challenge them, you should come to court immediately, with any papers or other evidence, and file an Application to Reduce Payment Required to Avoid Eviction. a. RENT: the amount of rent owed (not including late fees, court costs, or any other costs) $ Rent/mo x # of mos. owed +$ add'l partial payment owed, if any = Total Rent Owed b. COURT COSTS: Total Court Costs c. LATE FEES: The Tenant cannot be required to pay a late fee unless a judge approves this form by signing it on the second page. $ late fee/mo x # of mos. owed +$ add'l partial payment owed, if any = Total Late Fee Owed d. OTHER COSTS: The Tenant cannot be required to pay other costs unless a judge approves this form by signing it on the second page. $ other costs owed for (specify) Total Other Costs e. As of (date)__________________, the amount you must pay to avoid eviction is: $ _____________ TOTAL Note that the total amount you must pay to avoid eviction will increase over time. Specifically: 1. Each month, on the dates indicated in your lease agreement, an additional month's rent, and late fees of $_____, will be added to the total that must be paid to avoid eviction. Currently, your monthly rent is $_____. If the amount of your monthly rent increases or decreases, you must pay the new amount. 2. If the Landlord files a writ of restitution after this form has been issued, then the amount you must pay to the Landlord to avoid eviction will increase by $18. You will be responsible for paying the additional amount directly to the Landlord. (This additional payment is not required if the property is owned by the D.C. Housing Authority.) 3. If the U.S. Marshals Service arrives on the premises to evict you, then the amount you must pay the Landlord to avoid eviction will increase by $195 (over and above the $18 described in #2). (This additional payment is not required if the property is owned by the D.C. Housing Authority.) 1 American LegalNet, Inc. www.FormsWorkFlow.com Certification or Oath: I hereby certify/swear that I have read this Notice to Tenant of Payment Required to Avoid Eviction and declare under penalty of perjury that the foregoing is true and correct to the best of my knowledge, information, and belief. Signature of Plaintiff/Landlord, Plaintiff's Agent, or Attorney Date Court Approval (if applicable): Signature of Judge Presiding in Landlord and Tenant Branch Date Date this form was mailed to Tenant by the Landlord and Tenant Branch Clerk's Office: Mailed to: The landlord must file this form within seven calendar days of the entry of a default or a judgment, whichever occurs first, in every case in which the complaint or notice to quit is based on unpaid rent, even if the landlord did not seek a money judgment. 2 American LegalNet, Inc. www.FormsWorkFlow.com





