Last updated: 3/10/2017
TRO Questionnaire {1D-P-1467}
Start Your Free Trial $ 5.99What you get:
- Instant access to fillable Microsoft Word or PDF forms.
- Minimize the risk of using outdated forms and eliminate rejected fillings.
- Largest forms database in the USA with more than 80,000 federal, state and agency forms.
- Download, edit, auto-fill multiple forms at once in MS Word using our Forms Workflow Ribbon
- Trusted by 1,000s of Attorneys and Legal Professionals
Description
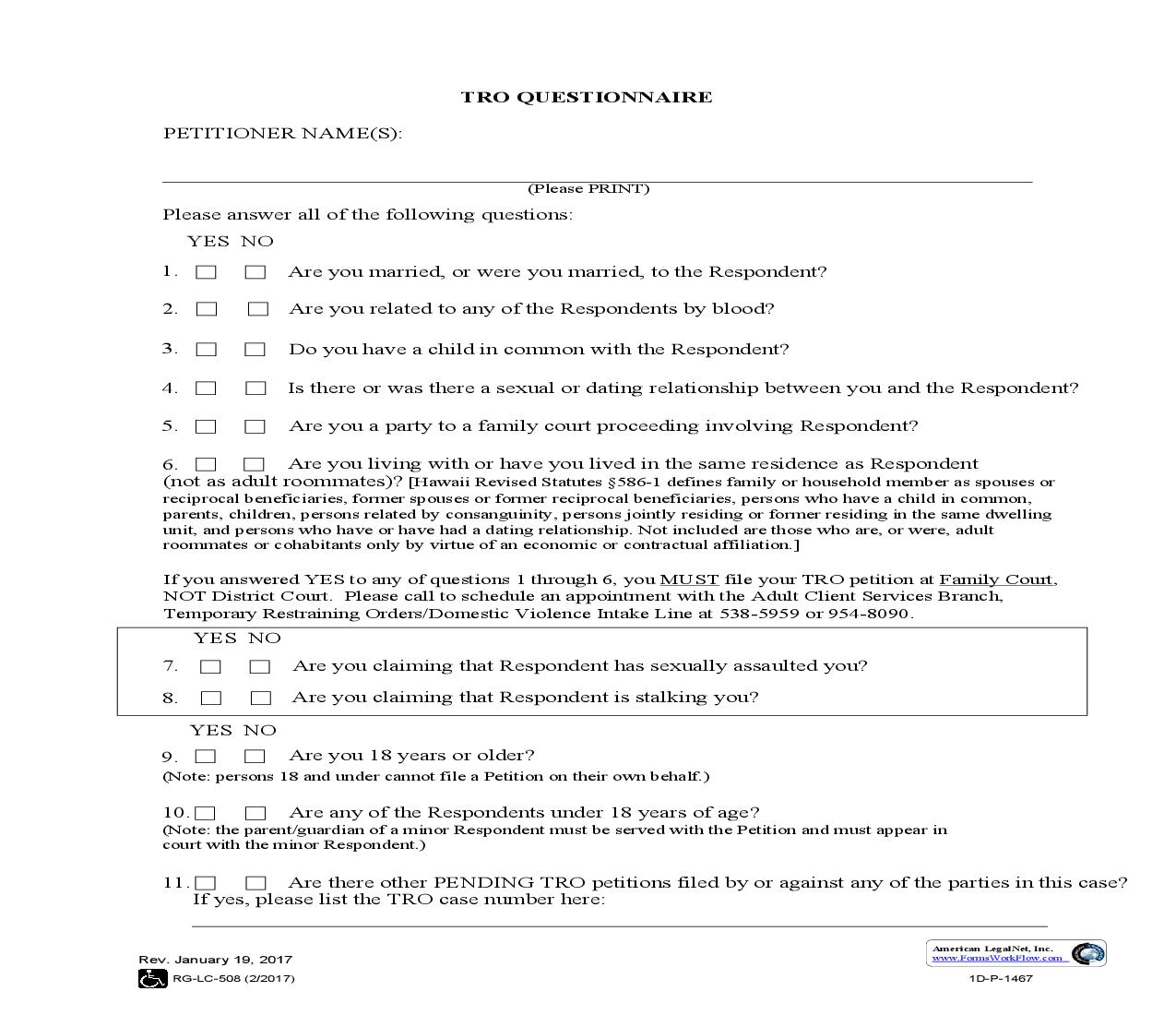
TRO QUESTIONNAIRE PETITIONER NAME(S): (Please PRINT) Please answer all of the following questions: YES NO 1. 2. 3. 4. 5. Are you married, or were you married, to the Respondent? Are you related to any of the Respondents by blood? Do you have a child in common with the Respondent? Is there or was there a sexual or dating relationship between you and the Respondent? Are you a party to a family court proceeding involving Respondent? Are you living with or have you lived in the same residence as Respondent 6. (not as adult roommates)? [Hawaii Revised Statutes §586-1 defines family or household member as spouses or reciprocal beneficiaries, former spouses or former reciprocal beneficiaries, persons who have a child in common, parents, children, persons related by consanguinity, persons jointly residing or former residing in the same dwelling unit, and persons who have or have had a dating relationship. Not included are those who are, or were, adult roommates or cohabitants only by virtue of an economic or contractual affiliation.] If you answered YES to any of questions 1 through 6, you MUST file your TRO petition at Family Court, NOT District Court. Please call to schedule an appointment with the Adult Client Services Branch, Temporary Restraining Orders/Domestic Violence Intake Line at 538-5959 or 954-8090. YES NO 7. 8. YES NO 9. 10. Are you 18 years or older? Are any of the Respondents under 18 years of age? (Note: persons 18 and under cannot file a Petition on their own behalf.) Are you claiming that Respondent has sexually assaulted you? Are you claiming that Respondent is stalking you? (Note: the parent/guardian of a minor Respondent must be served with the Petition and must appear in court with the minor Respondent.) 11. Are there other PENDING TRO petitions filed by or against any of the parties in this case? If yes, please list the TRO case number here: American LegalNet, Inc. www.FormsWorkFlow.com Rev. January 19, 2017 RG-LC-508 (2/2017) 1D-P-1467





