Last updated: 11/30/2016
Worksheet 6-Imputation Of Childcare Tax Credit
Start Your Free Trial $ 13.99What you get:
- Instant access to fillable Microsoft Word or PDF forms.
- Minimize the risk of using outdated forms and eliminate rejected fillings.
- Largest forms database in the USA with more than 80,000 federal, state and agency forms.
- Download, edit, auto-fill multiple forms at once in MS Word using our Forms Workflow Ribbon
- Trusted by 1,000s of Attorneys and Legal Professionals
Description
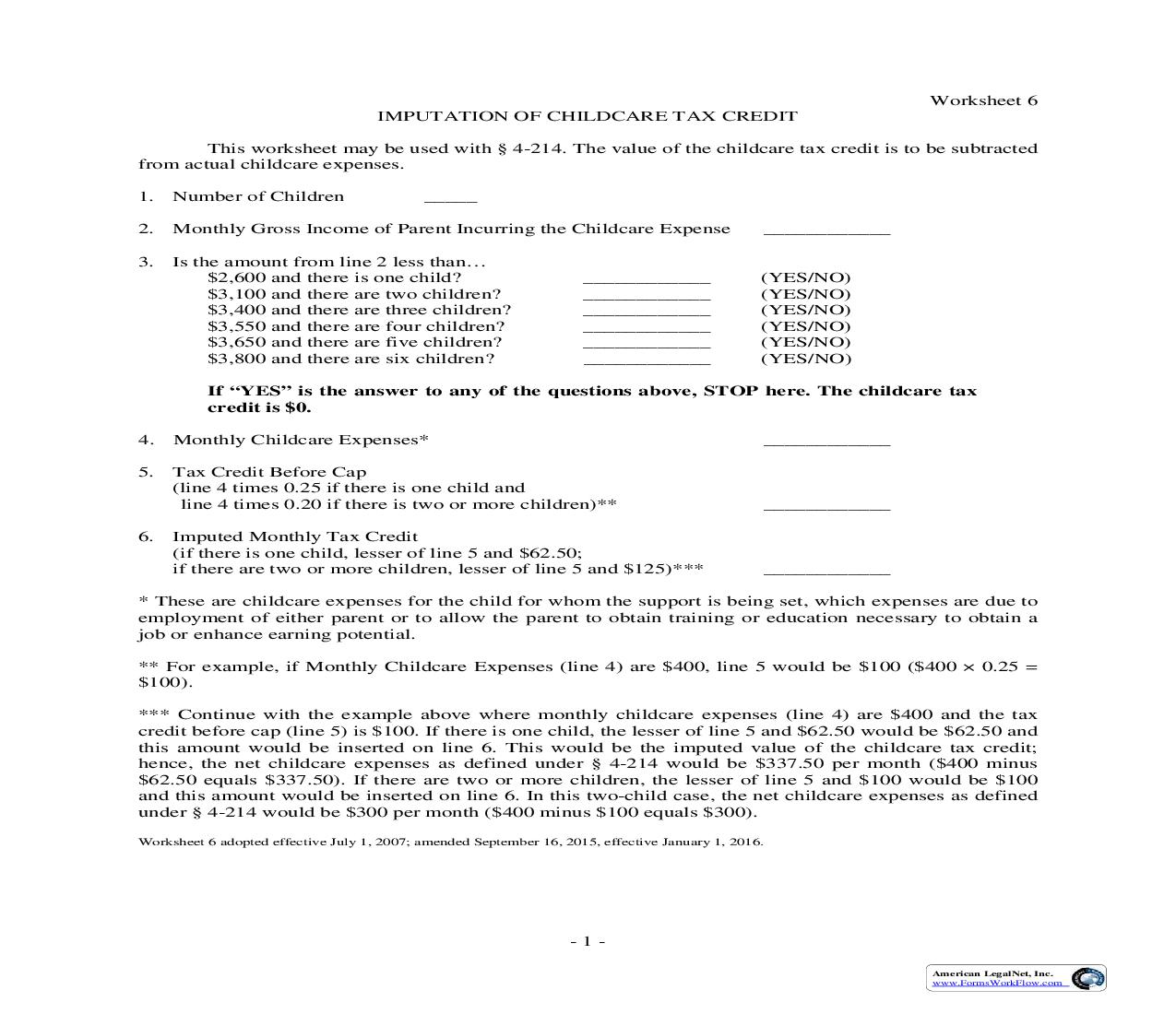
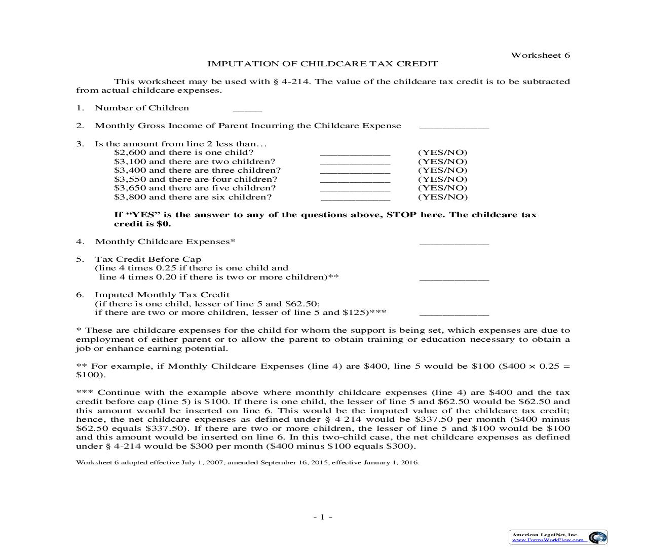
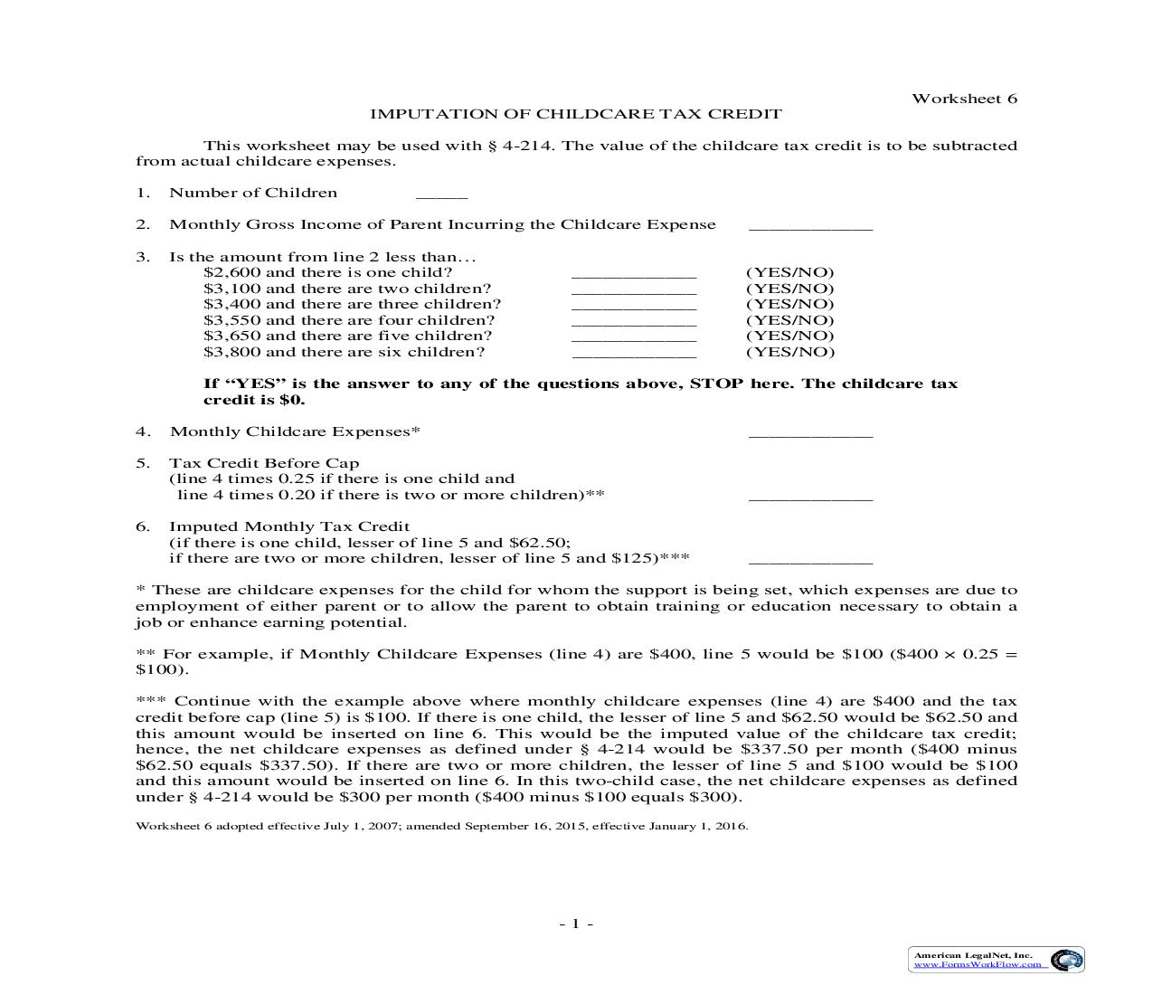
Worksheet 6 IMPUTATION OF CHILDCARE TAX CREDIT This worksheet may be used with § 4-214. The value of the childcare tax credit is to be subtracted from actual childcare expenses. 1. Number of Children _____ ____________ 2. Monthly Gross Income of Parent Incurring the Childcare Expense 3. Is the amount from line 2 less than... $2,600 and there is one child? $3,100 and there are two children? $3,400 and there are three children? $3,550 and there are four children? $3,650 and there are five children? $3,800 and there are six children? ____________ ____________ ____________ ____________ ____________ ____________ (YES/NO) (YES/NO) (YES/NO) (YES/NO) (YES/NO) (YES/NO) If "YES" is the answer to any of the questions above, STOP here. The childcare tax credit is $0. 4. Monthly Childcare Expenses* 5. Tax Credit Before Cap (line 4 times 0.25 if there is one child and line 4 times 0.20 if there is two or more children)** 6. Imputed Monthly Tax Credit (if there is one child, lesser of line 5 and $62.50; if there are two or more children, lesser of line 5 and $125)*** ____________ ____________ ____________ * These are childcare expenses for the child for whom the support is being set, which expenses are due to employment of either parent or to allow the parent to obtain training or education necessary to obtain a job or enhance earning potential. ** For example, if Monthly Childcare Expenses (line 4) are $400, line 5 would be $100 ($400 × 0.25 = $100). *** Continue with the example above where monthly childcare expenses (line 4) are $400 and the tax credit before cap (line 5) is $100. If there is one child, the lesser of line 5 and $62.50 would be $62.50 and this amount would be inserted on line 6. This would be the imputed value of the childcare tax credit; hence, the net childcare expenses as defined under § 4-214 would be $337.50 per month ($400 minus $62.50 equals $337.50). If there are two or more children, the lesser of line 5 and $100 would be $100 and this amount would be inserted on line 6. In this two-child case, the net childcare expenses as defined under § 4-214 would be $300 per month ($400 minus $100 equals $300). Worksheet 6 adopted effective July 1, 2007; amended September 16, 2015, effective January 1, 2016. -1American LegalNet, Inc. www.FormsWorkFlow.com





