Last updated: 5/29/2015
Supplement To Spousal-Domestic Partner Property Petition {PRO 038}
Start Your Free Trial $ 17.99What you get:
- Instant access to fillable Microsoft Word or PDF forms.
- Minimize the risk of using outdated forms and eliminate rejected fillings.
- Largest forms database in the USA with more than 80,000 federal, state and agency forms.
- Download, edit, auto-fill multiple forms at once in MS Word using our Forms Workflow Ribbon
- Trusted by 1,000s of Attorneys and Legal Professionals
Description
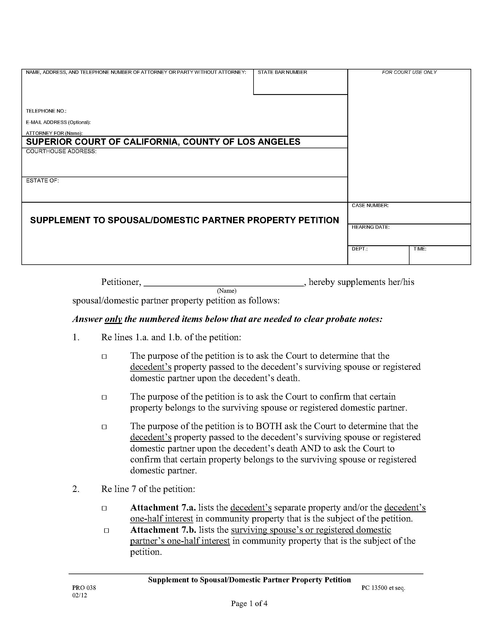
PRO 038 - SUPPLEMENT TO SPOUSAL/DOMESTIC PARTNER PROPERTY PETITION. This is a Los Angeles County Superior Court probate form used to provide additional information or documentation in support of a Spousal or Domestic Partner Property Petition under Probate Code § 13500 et seq. This supplement is typically filed to address probate examiner notes before hearing. The form clarifies the purpose of the petition (determination of property passing to the surviving spouse/domestic partner, confirmation of ownership, or both), identifies attachments listing separate and community property interests, and provides detailed findings regarding the character of property under Local Rule 10.32. Required disclosures may include marriage or partnership dates, net worth at marriage, gifts or inheritances, residency history, deeds, beneficiary designations, and any community or quasi-community property agreements. The supplement must be signed under penalty of perjury. PC 13500 et seq. www.FormsWorkflow.com
Related forms
-
Application And Order Appointing Successor Probate Referee
California/Local County/Los Angeles/Probate/ -
Conservatorship Care Plan
California/Local County/Los Angeles/Probate/ -
Waiver Of Notice
California/Local County/Los Angeles/Probate/ -
Waiver Of Account
California/Local County/Los Angeles/Probate/ -
Supplement To Spousal-Domestic Partner Property Petition
California/Local County/Los Angeles/Probate/ -
Supplement To Report Of Sale And Petition For Order Confirming Sale
California/Local County/Los Angeles/Probate/ -
Supplement To Petition For Termination Of Guardianship (Re Names And Addresses Of Relatives)
California/Local County/Los Angeles/Probate/ -
Supplement To Petition For Termination Of Guardianship (Re Dispensing With Notice)
California/Local County/Los Angeles/Probate/ -
Supplement To Petition For Probate Re Heirs And Next Of Kin
California/Local County/Los Angeles/Probate/ -
Supplement To Petition For Probate Re Character And Value Of Decendents Property
California/Local County/Los Angeles/Probate/ -
Supplement To Petition For Probate (Re Spouse Or Domestic Partner)
California/Local County/Los Angeles/Probate/ -
Supplement To Petition For Probate (Re Issue)
California/Local County/Los Angeles/Probate/ -
Supplement To Petition For Appointment Of Probate Conservator
California/Local County/Los Angeles/Probate/ -
Report And Petition For Dispensing With Accounting And-Or Bond
California/Local County/Los Angeles/Probate/ -
Request For Initial Probate Hearing In A District Court-Conservatorship-Guardianship
California/Local County/Los Angeles/Probate/ -
Probate Subsequent Document Filing Coversheet
California/Local County/Los Angeles/Probate/ -
Examination Of Original Will-Codicil(s)
California/2 Local County/Los Angeles/Probate/ -
Request To Continue Petition Hearing And Order (Probate)
California/2 Local County/Los Angeles/Probate/ -
Request To Continue Petition Hearing information (Probate)
California/2 Local County/Los Angeles/Probate/ -
Notice Of Conservatees Rights
California/Local County/Los Angeles/Probate/ -
Request By Court Appointed Counsel For Authority To Perform Additional Hours
California/Local County/Los Angeles/Probate/ -
Status Report Of Administration
California/Local County/Los Angeles/Probate/ -
Notification Of Minors Death
California/Local County/Los Angeles/Probate/ -
Ex Parte Order To Claim Funds On Deposit With The County Treasury (PC 11854)
California/Local County/Los Angeles/Probate/ -
Notification To Court Of Address On Conservatorship Guardianship (Print On Yellow Paper)
California/Local County/Los Angeles/Probate/ -
Probate Case Cover Sheet - Certificate Of Grounds For Assignment To District
California/Local County/Los Angeles/Probate/ -
Consent To Serve
California/Local County/Los Angeles/Probate/ -
Ex Parte Petition For Amended Letters To Issue
California/Local County/Los Angeles/Probate/ -
Declaration In Support Of Application For Nunc Pro Tunc Order
California/Local County/Los Angeles/Probate/ -
Petition For Termination Of Proceeding And Discharge Of Personal Representative
California/Local County/Los Angeles/Probate/ -
Annual Compliance Certification For Probate Appointed Counsel Attorneys
California/Local County/Los Angeles/Probate/ -
Ex Parte Order Directing Amended Letters Of Conservatorship
California/Local County/Los Angeles/Probate/ -
Ex Parte Petition For Court Order To Release The Remains Of A Decedent
California/Local County/Los Angeles/Probate/ -
Ex Parte Order For Release Of The Remains Of A Decendent
California/Local County/Los Angeles/Probate/ -
Application And Order Appointing Probate Referee
California/Local County/Los Angeles/Probate/ -
Application And Order Appointing Probate Referee
California/2 Local County/Los Angeles/Probate/ -
Application And Order To Correct Name Of Case
California/Local County/Los Angeles/Probate/ -
Application For Appointment To Probate Appointed Counsel Panel
California/Local County/Los Angeles/Probate/ -
Application For Nunc Pro Tunc Order
California/Local County/Los Angeles/Probate/ -
Bid In Open Court On Sale Of Real Property
California/Local County/Los Angeles/Probate/ -
Ex Parte Order To Claim Funds On Deposit With The County Treasury (PC 11854)
California/Local County/Los Angeles/Probate/ -
Financial Documents Cover Sheet
California/Local County/Los Angeles/Probate/ -
Letter Of Transfer-Safekeeping Will
California/2 Local County/Los Angeles/Probate/ -
Notice Of Commencement Of Proceeding For A Court Supervised Trust
California/Local County/Los Angeles/Probate/ -
Notice Of Deposit Of Estate Planning Documents And Acknowledgment
California/Local County/Los Angeles/Probate/ -
Notice Of Location Of Joint Will
California/Local County/Los Angeles/Probate/ -
Nunc Pro Tunc Order Correcting Order
California/Local County/Los Angeles/Probate/ -
Order Approving Report And Dispensing With Accounting-Bond
California/Local County/Los Angeles/Probate/ -
Order Approving Waiver Of Account And Terminating Guardianship
California/Local County/Los Angeles/Probate/ -
Order Approving Waiver Of Account And Terminating Guardianship
California/Local County/Los Angeles/Probate/ -
Order Extending Temporary Guardianship
California/Local County/Los Angeles/Probate/ -
Order Terminating Proceeding And Discharging Personal Representative
California/Local County/Los Angeles/Probate/ -
Order Terminating Proceedings
California/Local County/Los Angeles/Probate/ -
Order Upon Hearing Of Status Report Of Administration
California/Local County/Los Angeles/Probate/ -
Probate Court Appointed Counsels Report For Developmentally Disabled Adults (Dementia)
California/Local County/Los Angeles/Probate/ -
Probate Court Appointed Counsels Report For Developmentally Disabled Adults
California/Local County/Los Angeles/Probate/ -
Proposed Notice To Creditors Of Trust
California/Local County/Los Angeles/Probate/
Form Preview
Contact Us
Success: Your message was sent.
Thank you!




