Last updated: 2/6/2012
Appearance Bond {AO 98}
Start Your Free Trial $ 13.99What you get:
- Instant access to fillable Microsoft Word or PDF forms.
- Minimize the risk of using outdated forms and eliminate rejected fillings.
- Largest forms database in the USA with more than 80,000 federal, state and agency forms.
- Download, edit, auto-fill multiple forms at once in MS Word using our Forms Workflow Ribbon
- Trusted by 1,000s of Attorneys and Legal Professionals
Description
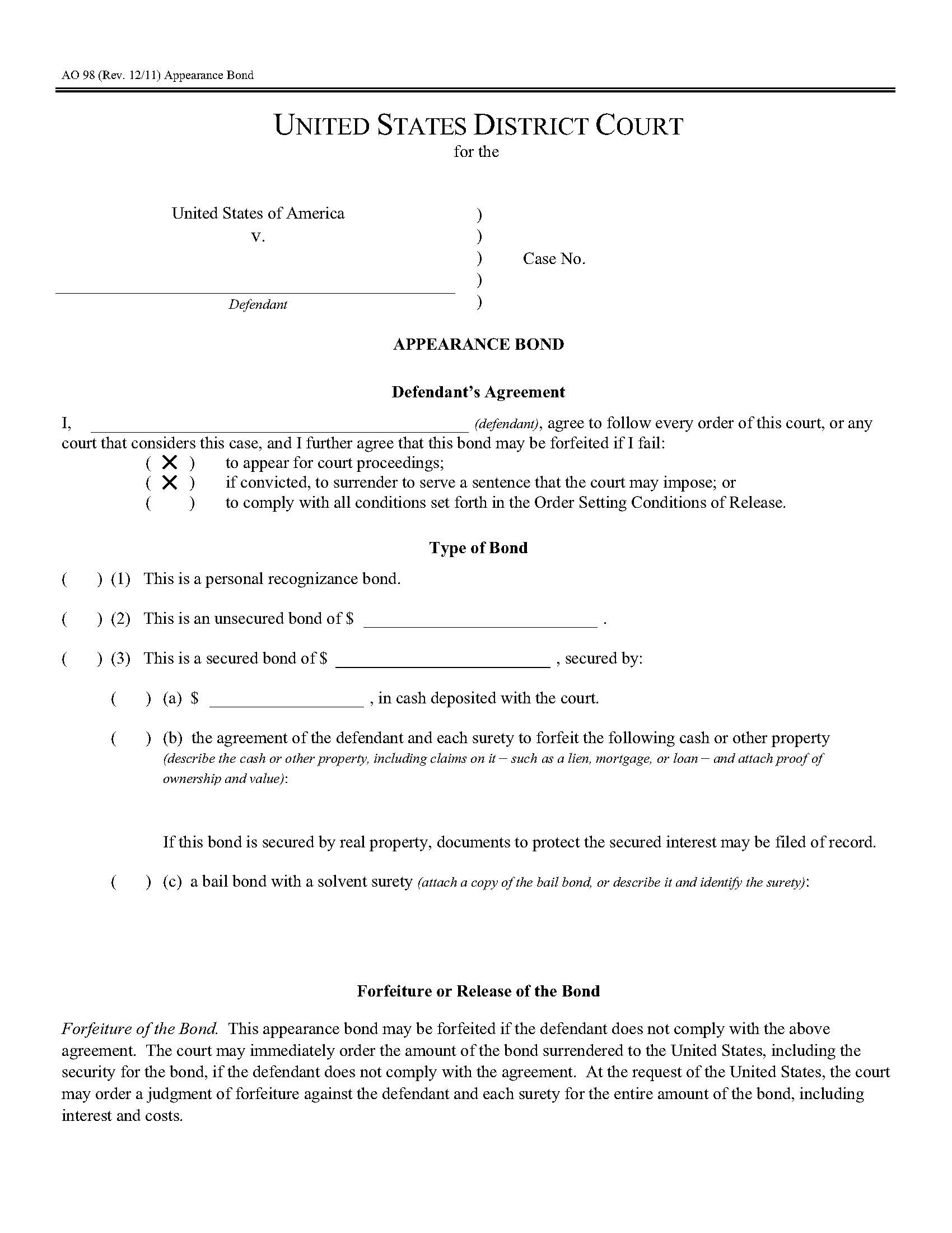
AO 98 - APPEARANCE BOND. This form is used in federal criminal cases to establish conditions for a defendant's release while awaiting court proceedings. The defendant agrees to appear in court, comply with release conditions, and surrender if sentenced. The bond may be personal recognizance, unsecured, or secured by cash, property, or a bail bond. If the defendant fails to comply, the bond can be forfeited, and the court may seize the security. The bond is released if the defendant is found not guilty or reports to serve a sentence. The form also includes declarations about property ownership and acceptance of the bond's terms. www.FormsWorkflow.com
Related forms
-
Consent To Proceed Before US Magistrate Judge In A Misdemeanor Case
Official Federal Forms/Federal District/Administrative Office - Criminal/ -
Motion To Vacate Set Aside Or Correct Sentence By Person In Federal Custody
Official Federal Forms/Federal District/Administrative Office - Criminal/ -
Appearance Bond Of Witness
Official Federal Forms/Federal District/Administrative Office - Criminal/ -
Advice Of Penalties And Sanctions
Official Federal Forms/Federal District/Administrative Office - Criminal/ -
Summons In A Criminal Case
Official Federal Forms/Federal District/Administrative Office - Criminal/ -
Commitment To Another District
Official Federal Forms/Federal District/Administrative Office - Criminal/ -
Criminal Complaint
Official Federal Forms/Federal District/Administrative Office - Criminal/ -
Release Deportation Or Exclusion Order Of Detention Pending Trial
Official Federal Forms/Federal District/Administrative Office - Criminal/ -
Petition For Relief From A Conviction Or Sentence By A Person In State Custody
Official Federal Forms/Federal District/Administrative Office - Criminal/ -
Application For A Warrant To Seize Personal Property Subject To Civil Forfeiture
Official Federal Forms/Federal District/Administrative Office - Criminal/ -
Arrest Warrant
Official Federal Forms/Federal District/Administrative Office - Criminal/ -
Drug Offenders Reinstatement Of Federal Benefits
Official Federal Forms/Federal District/Administrative Office - Criminal/ -
Order Requiring A Defendant To Appear In The District Where Charges Are Pending
Official Federal Forms/Federal District/Administrative Office - Criminal/ -
Order Scheduling A Detention Hearing
Official Federal Forms/Federal District/Administrative Office - Criminal/ -
Order To Detain A Defendant Temporarily Under 18 USC 3142(d)
Official Federal Forms/Federal District/Administrative Office - Criminal/ -
Search And Seizure Warrant
Official Federal Forms/Federal District/Administrative Office - Criminal/ -
Search And Seizure Warrant On Oral Testimony
Official Federal Forms/Federal District/Administrative Office - Criminal/ -
Subpoena To Testify At A Hearing Or Trial In A Criminal Case
Official Federal Forms/Federal District/Administrative Office - Criminal/ -
Subpoena To Testify Before A Grand Jury
Official Federal Forms/Federal District/Administrative Office - Criminal/ -
Waiver Of A Preliminary Hearing
Official Federal Forms/Federal District/Administrative Office - Criminal/ -
Waiver Of An Indictment
Official Federal Forms/Federal District/Administrative Office - Criminal/ -
Waiver Of Rule 32.1 Hearing (Violation Of Probation Or Supervised Release)
Official Federal Forms/Federal District/Administrative Office - Criminal/ -
Waiver Of Rule 5 And 5.1 Hearings (Complaint Or Indictment)
Official Federal Forms/Federal District/Administrative Office - Criminal/ -
Warrant For The Arrest Of A Witness Or Material Witness
Official Federal Forms/Federal District/Administrative Office - Criminal/ -
Application For A Search Warrant
Official Federal Forms/Federal District/Administrative Office - Criminal/ -
Order Of Discharge And Dismissal Under 18 USC 3607(a)
Official Federal Forms/Federal District/Administrative Office - Criminal/ -
Subpoena To Testify At A Deposition In A Criminal Case
Official Federal Forms/Federal District/Administrative Office - Criminal/ -
Application For A Tracking Warrant
Official Federal Forms/Federal District/Administrative Office - Criminal/ -
Bail Information Sheet
Official Federal Forms/Federal District/Administrative Office - Criminal/ -
Order Requiring Assistance In Executing A Tracking Warrant (Under Seal)
Official Federal Forms/Federal District/Administrative Office - Criminal/ -
Probation Order Under 18 USC 3607
Official Federal Forms/Federal District/Administrative Office - Criminal/ -
Report Of A Grand Jurys Failure To Concur In An Indictment
Official Federal Forms/Federal District/Administrative Office - Criminal/ -
Record Of The Number Of Grand Jurors Concurring In An Indictment
Official Federal Forms/Federal District/Administrative Office - Criminal/ -
Tracking Warrant
Official Federal Forms/Federal District/Administrative Office - Criminal/ -
Order For A Presentence Investigation And Report
Official Federal Forms/Federal District/Administrative Office - Criminal/ -
Warrant For The Arrest Of A Witness In A Grand Jury Proceeding (Under Seal)
Official Federal Forms/Federal District/Administrative Office - Criminal/ -
Warrant To Seize Personal Property Subject To Civil Forfeiture
Official Federal Forms/Federal District/Administrative Office - Criminal/ -
Surety Information Sheet
Official Federal Forms/Federal District/Administrative Office - Criminal/ -
Appearance Bond
Official Federal Forms/Federal District/Administrative Office - Criminal/ -
Anticipatory Search And Seizure Warrant
Official Federal Forms/Federal District/Administrative Office - Criminal/ -
Subpoena To Produce Documents Information Or Objects In A Criminal Case
Official Federal Forms/Federal District/Administrative Office - Criminal/ -
Judgment In A Criminal Case (Statement Of Reasons)
Official Federal Forms/Federal District/Administrative Office - Criminal/ -
Amended Judgment In A Criminal Case
Official Federal Forms/Federal District/Administrative Office - Criminal/ -
Judgment In A Criminal Case (For Revocation Of Probation)
Official Federal Forms/Federal District/Administrative Office - Criminal/ -
Judgment In A Criminal Case
Official Federal Forms/Federal District/Administrative Office - Criminal/ -
Order Setting Conditions Of Release
Official Federal Forms/Federal District/Administrative Office - Criminal/ -
Order On Motion For Sentence Reduction Under 18 USC 3582(c)(1)(A)
Official Federal Forms/Federal District/Administrative Office - Criminal/ -
Order Regarding Motion For Sentence Reduction Pursuant To 18 USC 3582(C)(2)
Official Federal Forms/Federal District/Administrative Office - Criminal/ -
Additional Conditions Of Release
Official Federal Forms/Federal District/Administrative Office - Criminal/ -
Motion For Sentence Reduction Under 18 USC 3582(c)(1)(A)
Official Federal Forms/Federal District/Administrative Office - Criminal/
Form Preview
Contact Us
Success: Your message was sent.
Thank you!




