Last updated: 4/13/2015
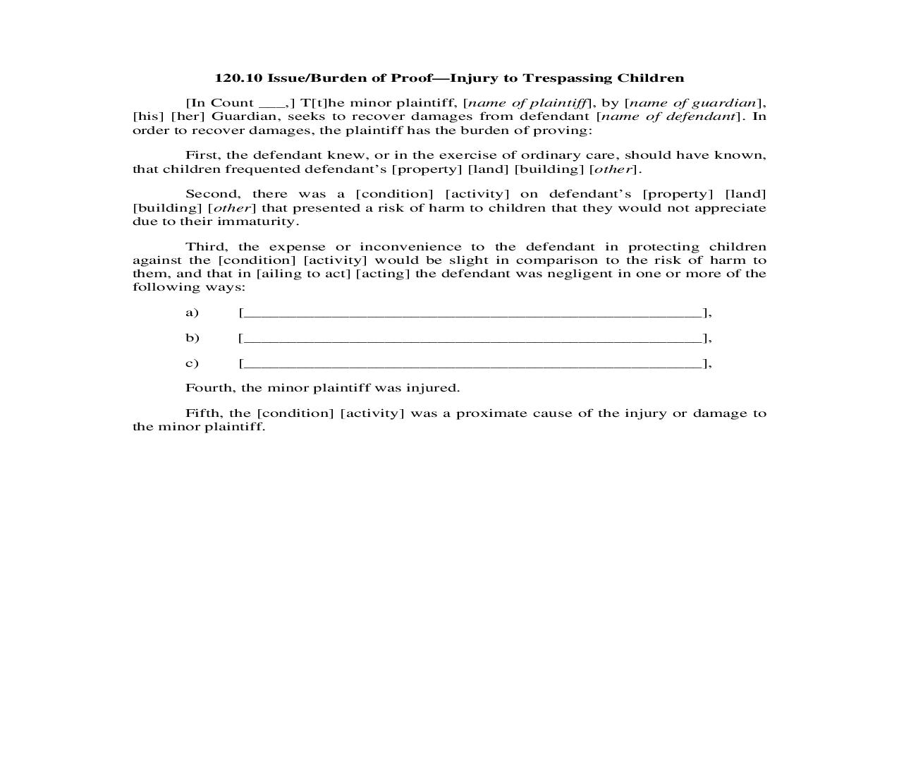
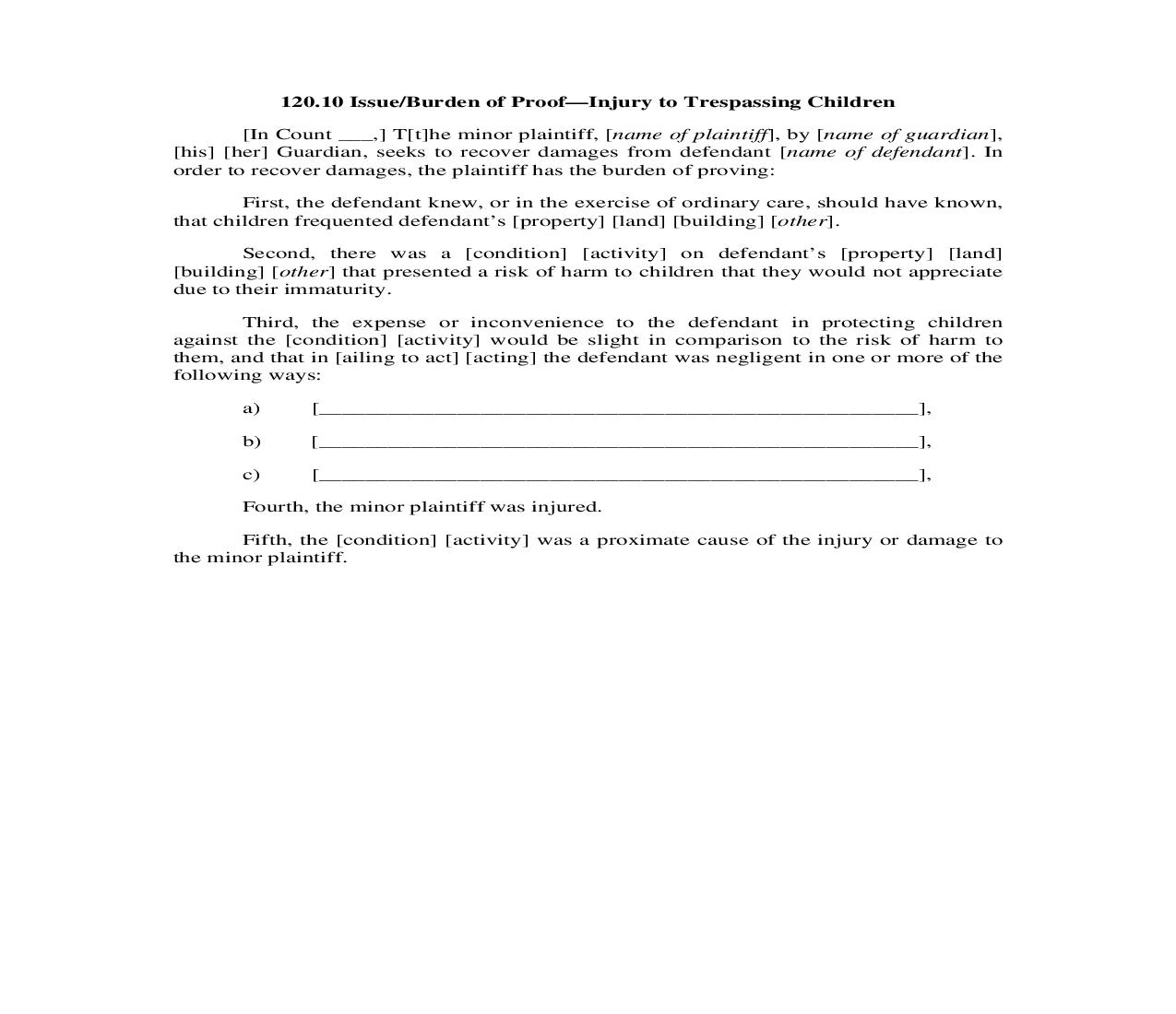
120.10. Issue-Burden of Proof-Injury to Trespassing Children
Start Your Free Trial $ 11.99What you get:
- Instant access to fillable Microsoft Word or PDF forms.
- Minimize the risk of using outdated forms and eliminate rejected fillings.
- Largest forms database in the USA with more than 80,000 federal, state and agency forms.
- Download, edit, auto-fill multiple forms at once in MS Word using our Forms Workflow Ribbon
- Trusted by 1,000s of Attorneys and Legal Professionals
Description
120.10 Issue/Burden of Proof--Injury to Trespassing Children [In Count ___,] T[t]he minor plaintiff, [name of plaintiff], by [name of guardian], [his] [her] Guardian, seeks to recover damages from defendant [name of defendant]. In order to recover damages, the plaintiff has the burden of proving: First, the defendant knew, or in the exercise of ordinary care, should have known, that children frequented defendant's [property] [land] [building] [other]. Second, there was a [condition] [activity] on defendant's [property] [land] [building] [other] that presented a risk of harm to children that they would not appreciate due to their immaturity. Third, the expense or inconvenience to the defendant in protecting children against the [condition] [activity] would be slight in comparison to the risk of harm to them, and that in [ailing to act] [acting] the defendant was negligent in one or more of the following ways: a) b) c) [____________________________________________________], [____________________________________________________], [____________________________________________________], Fourth, the minor plaintiff was injured. Fifth, the [condition] [activity] was a proximate cause of the injury or damage to the minor plaintiff.





