Other Orders-Property Removal {FM-1102} | Pdf Fpdf Doc Docx | California

 California   Local County   Santa Clara   Family Law 
Other Orders-Property Removal {FM-1102} | Pdf Fpdf Doc Docx | California

Last updated: 5/29/2015

Other Orders-Property Removal {FM-1102}

Start Your Free Trial $ 13.99
200 Ratings
What you get:
  • Instant access to fillable Microsoft Word or PDF forms.
  • Minimize the risk of using outdated forms and eliminate rejected fillings.
  • Largest forms database in the USA with more than 80,000 federal, state and agency forms.
  • Download, edit, auto-fill multiple forms at once in MS Word using our Forms Workflow Ribbon
  • Trusted by 1,000s of Attorneys and Legal Professionals

Description

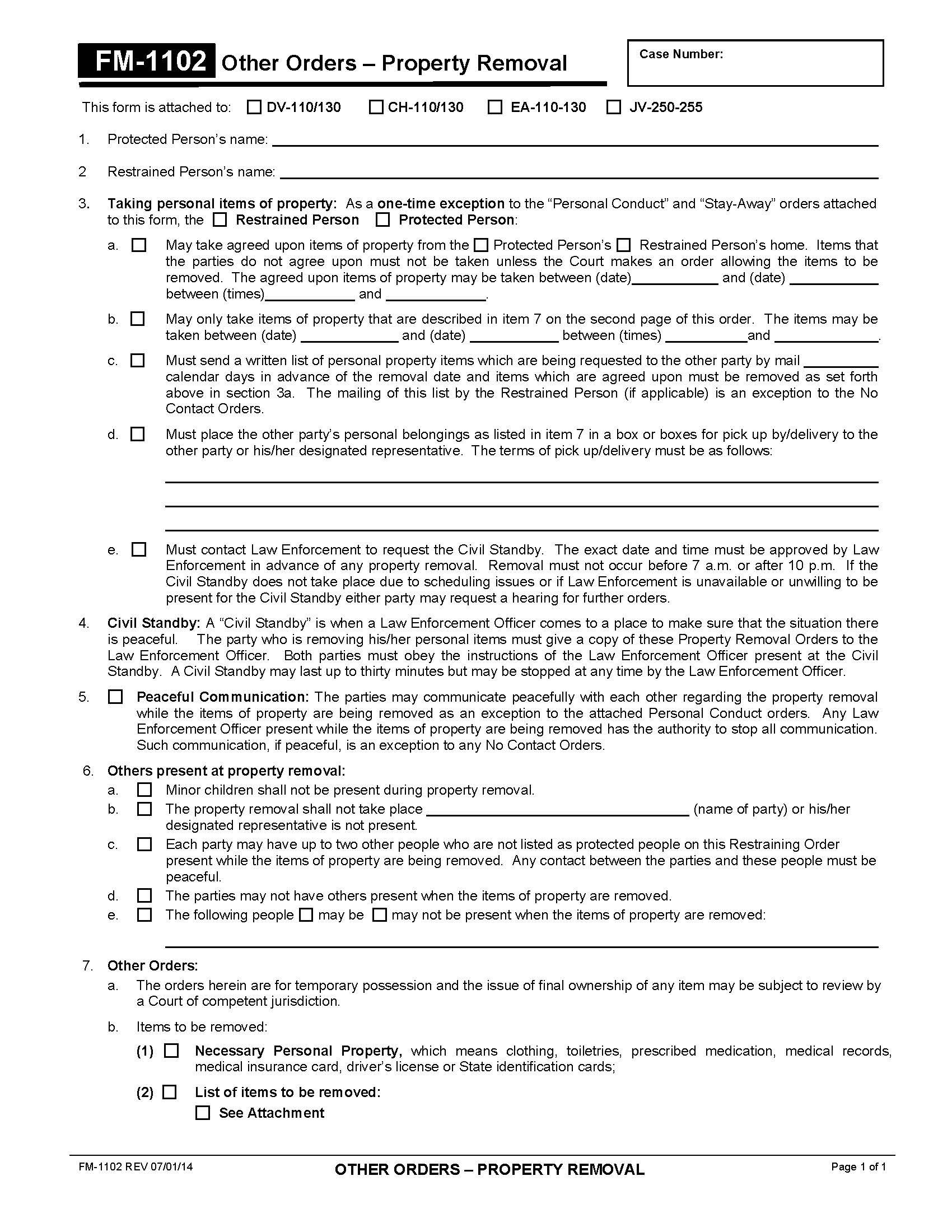
FM-1102 - OTHER ORDERS ­ PROPERTY REMOVAL. This form is used in the context of a court case to outline the process and conditions under which a protected or restrained person may remove personal property from the other person's home. It serves as an exception to "Personal Conduct" and "Stay-Away" orders, specifying details such as the dates and times for property removal, the involvement of law enforcement for a civil standby, and any required peaceful communication. It also includes provisions for notifying the other party, listing items to be removed, and ensuring minor children are not present during the removal. www.FormsWorkflow.com

Related forms

Our Products