Last updated: 1/12/2009
Notification That Supplementary Search Request Is Considered Not To Have Been Submitted {PCT-IB-379}
Start Your Free Trial $ 13.99What you get:
- Instant access to fillable Microsoft Word or PDF forms.
- Minimize the risk of using outdated forms and eliminate rejected fillings.
- Largest forms database in the USA with more than 80,000 federal, state and agency forms.
- Download, edit, auto-fill multiple forms at once in MS Word using our Forms Workflow Ribbon
- Trusted by 1,000s of Attorneys and Legal Professionals
Description
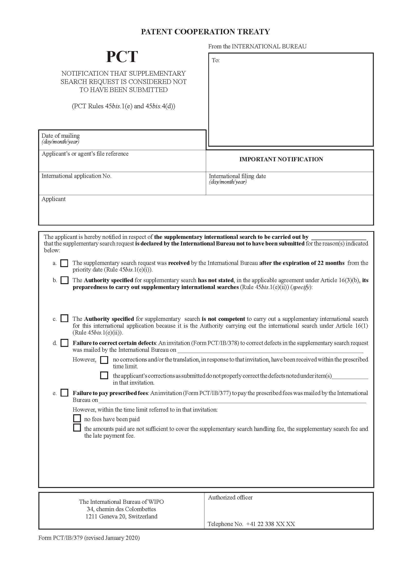
PATENT COOPERATION TREATY From the INTERNATIONAL BUREAU To: PCT NOTIFICATION THAT SUPPLEMENTARY SEARCH REQUEST IS CONSIDERED NOT TO HAVE BEEN SUBMITTED, AND, IF APPLICABLE, REFUND OF FEES (PCT Rules 45bis.1(e), 45bis.2(d), 45bis.3(d) and 45bis.4(d)) Date of mailing (day/month/year) Applicant's or agent's file reference IMPORTANT NOTIFICATION International application No. International filing date (day/month/year) Applicant The applicant is hereby notified of the following in respect of the supplementary international search to be carried out by _________________________________________ 1. The applicant is hereby notified that the supplementary search request is declared by the International Bureau not to have been submitted for the reason(s) indicated below: a. b. The supplementary search request was received by the International Bureau after the expiration of 19 months from the priority date (Rule 45bis.1(e)(i)). The Authority specified for supplementary search has not stated, in the applicable agreement under Article 16(3)(b), its preparedness to carry out supplementary international searches (Rule 45bis.1(e)(ii)): in general for the claimed subject matter of this international application beyond a certain number of international applications which has now been exceeded for other reasons (specify): c. The Authority specified for supplementary search is not competent to carry out a supplementary international search for this international application because it is the Authority carrying out the international search under Article 16(1) (Rule 45bis.1(e)(ii)). Failure to correct certain defects: An invitation (Form PCT/IB/378) to correct defects in the supplementary search request was mailed by the International Bureau on _____________________________________________ However, no corrections and/or the translation, in response to that invitation, have been received within the prescribed time limit. the applicant's corrections as submitted do not properly correct the defects noted under item(s)____________ in that invitation. e. Failure to pay prescribed fees: An invitation (Form PCT/IB/377) to pay the prescribed fees was mailed by the International Bureau on ______________________________________________ However, within the time limit referred to in that invitation: no fees have been paid the amounts paid are not sufficient to cover the supplementary search handling fee, the supplementary search fee and the late payment fee. 2. Consequently, the International Bureau will refund to the applicant, in full, any amount paid in respect of the supplementary search request (Rules 45bis.2(d) and 45bis.3(d)). The International Bureau of WIPO 34, chemin des Colombettes 1211 Geneva 20, Switzerland Facsimile No. +41 22 338 82 70 Form PCT/IB/379 (January 2009) American LegalNet, Inc. www.FormsWorkflow.com d. Authorized officer Telephone No. +41 22 338 XX XX
Related forms
-
Communication In Cases For Which No Other Form Is Applicable
Cooley IP Forms/US Patent Office/PCT/International Bureau/ -
Communication Of International Applications
Cooley IP Forms/US Patent Office/PCT/International Bureau/ -
First Notice Informing The Applicant Of The Communication Of The International Application
Cooley IP Forms/US Patent Office/PCT/International Bureau/ -
Furnishing Of Copies Of Priority Documents
Cooley IP Forms/US Patent Office/PCT/International Bureau/ -
International Application Status Form (IASF)
Cooley IP Forms/US Patent Office/PCT/International Bureau/ -
International Preliminary Report On Patentability
Cooley IP Forms/US Patent Office/PCT/International Bureau/ -
Invitation To Correct Declarations Made In The Request Under PCT Rule 4.17
Cooley IP Forms/US Patent Office/PCT/International Bureau/ -
Invitation To Correct Priority Claim
Cooley IP Forms/US Patent Office/PCT/International Bureau/ -
Invitation To Furnish Original Of Document Transmitted By Telegraph Teleprinter Facsimile
Cooley IP Forms/US Patent Office/PCT/International Bureau/ -
Invitation To Indicate Competent International Preliminary Examing Authority
Cooley IP Forms/US Patent Office/PCT/International Bureau/ -
Invitation To Request Rectification
Cooley IP Forms/US Patent Office/PCT/International Bureau/ -
Notice Of Withdrawal
Cooley IP Forms/US Patent Office/PCT/International Bureau/ -
Notification Concerning Copies Of Documents In The File
Cooley IP Forms/US Patent Office/PCT/International Bureau/ -
Notification Concerning Documents Transmitted
Cooley IP Forms/US Patent Office/PCT/International Bureau/ -
Notification Concerning Transmittal Of Copy Of International Preliminary Report
Cooley IP Forms/US Patent Office/PCT/International Bureau/ -
Notification Concerning Written Opinion Of International Searching Authority
Cooley IP Forms/US Patent Office/PCT/International Bureau/ -
Notification Of Defective Power Of Attorney Or Defective Revocation Of Power Of Attorney
Cooley IP Forms/US Patent Office/PCT/International Bureau/ -
Notification Of Transmittal Of Demand To The Competent International Preliminary
Cooley IP Forms/US Patent Office/PCT/International Bureau/ -
Notification That Demand Considered Not To Have Been Submitted
Cooley IP Forms/US Patent Office/PCT/International Bureau/ -
Notification That Demand Is Considered Not To Have Been Submitted Or Made
Cooley IP Forms/US Patent Office/PCT/International Bureau/ -
Request For The Production Of Proof
Cooley IP Forms/US Patent Office/PCT/International Bureau/ -
Notifcation Of Decision Concerning Request For Rectification
Cooley IP Forms/US Patent Office/PCT/International Bureau/ -
Notifcation Of Defects In The International Application
Cooley IP Forms/US Patent Office/PCT/International Bureau/ -
Notification Concerning Copies Of Documents In The File
Cooley IP Forms/US Patent Office/PCT/International Bureau/ -
Notification Concerning Paper Being Disregarded Or Document Considered
Cooley IP Forms/US Patent Office/PCT/International Bureau/ -
Notification Concerning Submission Or Transmittal Of Priority Document
Cooley IP Forms/US Patent Office/PCT/International Bureau/ -
Notification Concerning The Filing Of Amendments Of The Claims
Cooley IP Forms/US Patent Office/PCT/International Bureau/ -
Notification Of Cancellation Of Designation Or Elections
Cooley IP Forms/US Patent Office/PCT/International Bureau/ -
Notification Of Defects In Demand
Cooley IP Forms/US Patent Office/PCT/International Bureau/ -
Notification Of Defects With Regard To Correspondence Submitted By Applicant
Cooley IP Forms/US Patent Office/PCT/International Bureau/ -
Notification Of Election
Cooley IP Forms/US Patent Office/PCT/International Bureau/ -
Notification Of Facts Which Should Have Precluded The According Of An International Filing
Cooley IP Forms/US Patent Office/PCT/International Bureau/ -
Notification Of Late Submission Of Application Number Of Earlier Application
Cooley IP Forms/US Patent Office/PCT/International Bureau/ -
Notification Of Receipt Of Record Copy
Cooley IP Forms/US Patent Office/PCT/International Bureau/ -
Notification Of The Recording Of A Change
Cooley IP Forms/US Patent Office/PCT/International Bureau/ -
Notification Of Transmittal Of Copies Of Translation Of The International Preliminary Report
Cooley IP Forms/US Patent Office/PCT/International Bureau/ -
Notification Of Transmittal Of Copies Of Translation Of The Written Opinion
Cooley IP Forms/US Patent Office/PCT/International Bureau/ -
Notification Of Withdrawal Of Demand Or Elections
Cooley IP Forms/US Patent Office/PCT/International Bureau/ -
Notification Of Withdrawal Of International Application Or Designations
Cooley IP Forms/US Patent Office/PCT/International Bureau/ -
Notification Of Withdrawal Of Priority Claim
Cooley IP Forms/US Patent Office/PCT/International Bureau/ -
Notification Regarding Attempted Transmission Of Documents Via Telegraph Teleprinter
Cooley IP Forms/US Patent Office/PCT/International Bureau/ -
Notification Relating To Declaration Made Under Rule 4.17
Cooley IP Forms/US Patent Office/PCT/International Bureau/ -
Notification Relating To Priority Claim
Cooley IP Forms/US Patent Office/PCT/International Bureau/ -
Notification That Copy Of Priority Document Will Not Be Furnished
Cooley IP Forms/US Patent Office/PCT/International Bureau/ -
Notification That International Application Considered To Be Withdrawn
Cooley IP Forms/US Patent Office/PCT/International Bureau/ -
Second And Supplementary Notice Informing The Applicant Of The Communication
Cooley IP Forms/US Patent Office/PCT/International Bureau/ -
Transmittal Of Copies Of Priority Documents
Cooley IP Forms/US Patent Office/PCT/International Bureau/ -
Information Concerning Elected Offices Notified Of Their Election
Cooley IP Forms/US Patent Office/PCT/International Bureau/ -
Notification Concerning Availability Of The Publication Of The International Application
Cooley IP Forms/US Patent Office/PCT/International Bureau/ -
Invitation To Correct Defects In The Supplementary Search Request
Cooley IP Forms/US Patent Office/PCT/International Bureau/ -
Notification Concerning Representation
Cooley IP Forms/US Patent Office/PCT/International Bureau/ -
Invitation To Pay Prescribed Fees Together With Late Payment Fee
Cooley IP Forms/US Patent Office/PCT/International Bureau/ -
Notification Of Receipt Of Supplementary Search Request And Payment
Cooley IP Forms/US Patent Office/PCT/International Bureau/ -
Notification That Supplementary Search Request Is Considered Not To Have Been Submitted
Cooley IP Forms/US Patent Office/PCT/International Bureau/ -
Supplementary Search Request
Cooley IP Forms/US Patent Office/PCT/International Bureau/ -
Notification Of Refund Of Fees Concerning Supplementary International Search
Cooley IP Forms/US Patent Office/PCT/International Bureau/ -
Request For Indication Of Availability For Licensing Purposes
Cooley IP Forms/US Patent Office/PCT/International Bureau/ -
Notification Of Decision Not To Omit Information From International Publication
Cooley IP Forms/US Patent Office/PCT/International Bureau/ -
Notification Of Decision To Omit Information From International Publication
Cooley IP Forms/US Patent Office/PCT/International Bureau/ -
Invitation For Omission Of Information From International Publication
Cooley IP Forms/US Patent Office/PCT/International Bureau/ -
Invitation To Request Omission Of Information From International Publication
Cooley IP Forms/US Patent Office/PCT/International Bureau/ -
Notification Concerning Expressions Etc Not To Be Used In The International Application
Cooley IP Forms/US Patent Office/PCT/International Bureau/
Form Preview
Contact Us
Success: Your message was sent.
Thank you!




