Last updated: 5/2/2006
Information Concerning Elected Offices Notified Of Their Election {PCT-IB-332}
Start Your Free Trial $ 13.99What you get:
- Instant access to fillable Microsoft Word or PDF forms.
- Minimize the risk of using outdated forms and eliminate rejected fillings.
- Largest forms database in the USA with more than 80,000 federal, state and agency forms.
- Download, edit, auto-fill multiple forms at once in MS Word using our Forms Workflow Ribbon
- Trusted by 1,000s of Attorneys and Legal Professionals
Description
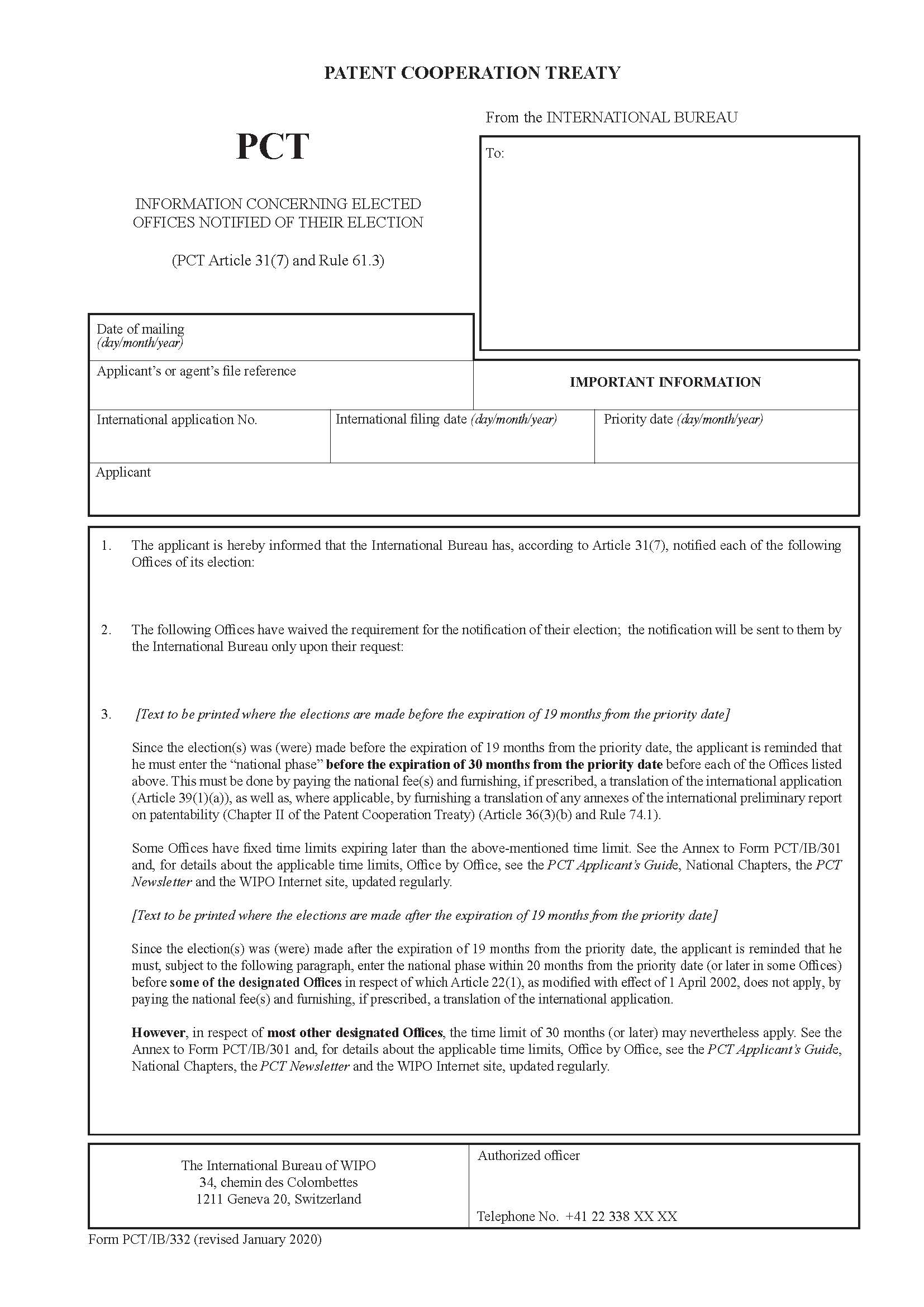
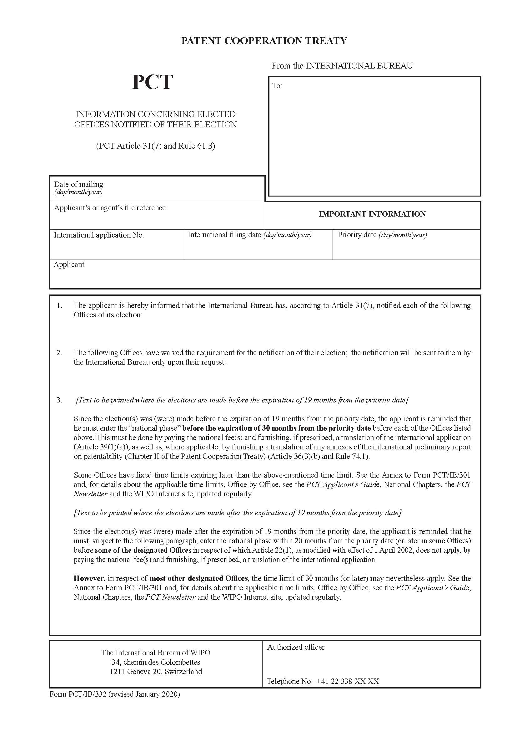
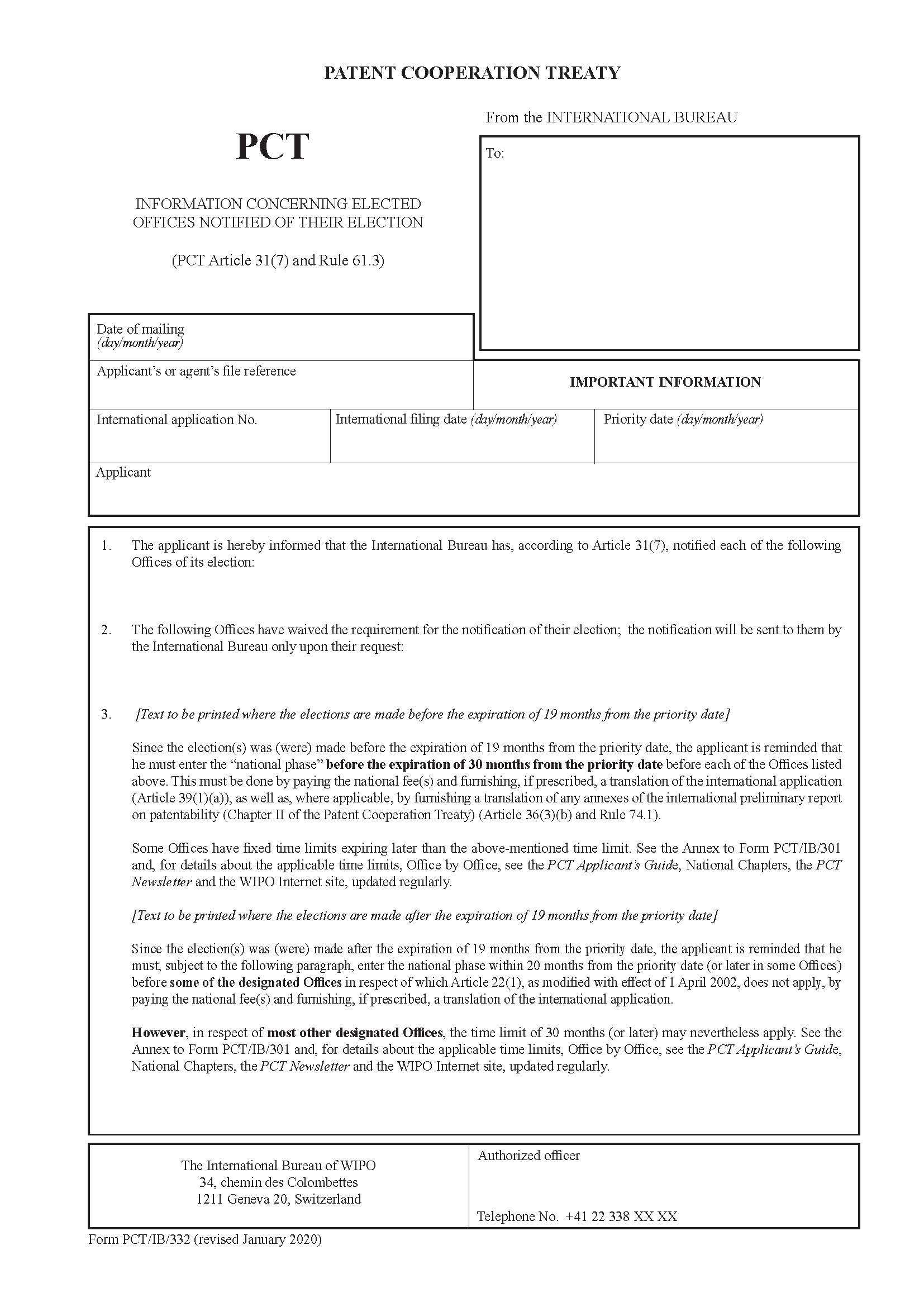
PATENT COOPERATION TREATY From the INTERNATIONAL BUREAU PCT INFORMATION CONCERNING ELECTED OFFICES NOTIFIED OF THEIR ELECTION (PCT Article 31(7) and Rule 61.3) To: Date of mailing (day/month/year) Applicant's or agent's file reference International application No. International filing date (day/month/year) IMPORTANT INFORMATION Priority date (day/month/year) Applicant 1. The applicant is hereby informed that the International Bureau has, according to Article 31(7), notified each of the following Offices of its election: 2. The following Offices have waived the requirement for the notification of their election; the notification will be sent to them by the International Bureau only upon their request: 3. [Text to be printed where the elections are made before the expiration of 19 months from the priority date] Since the election(s) was (were) made before the expiration of 19 months from the priority date, the applicant is reminded that he must enter the "national phase" before the expiration of 30 months from the priority date before each of the Offices listed above. This must be done by paying the national fee(s) and furnishing, if prescribed, a translation of the international application (Article 39(1)(a)), as well as, where applicable, by furnishing a translation of any annexes of the international preliminary report on patentability (Chapter II of the Patent Cooperation Treaty) (Article 36(3)(b) and Rule 74.1). Some Offices have fixed time limits expiring later than the above-mentioned time limit. See the Annex to Form PCT/IB/301 and, for details about the applicable time limits, Office by Office, see the PCT Applicant's Guide, Volume II, National Chapters, the PCT Newsletter and the WIPO Internet site, updated regularly. [Text to be printed where the elections are made after the expiration of 19 months from the priority date] Since the election(s) was (were) made after the expiration of 19 months from the priority date, the applicant is reminded that he must, subject to the following paragraph, enter the national phase within 20 months from the priority date (or later in some Offices) before some of the designated Offices in respect of which Article 22(1), as modified with effect of 1 April 2002, does not apply, by paying the national fee(s) and furnishing, if prescribed, a translation of the international application. However, in respect of most other designated Offices, the time limit of 30 months (or later) may nevertheless apply. See the Annex to Form PCT/IB/301 and, for details about the applicable time limits, Office by Office, see the PCT Applicant's Guide, Volume II, National Chapters, the PCT Newsletter and the WIPO Internet site, updated regularly. The International Bureau of WIPO 34, chemin des Colombettes 1211 Geneva 20, Switzerland Facsimile No. +41 22 338 82 70 Form PCT/IB/332 (October 2005) Authorized officer Telephone No. +41 22 338 XX XX American LegalNet, Inc. www.USCourtForms.com
Related forms
-
Communication In Cases For Which No Other Form Is Applicable
Cooley IP Forms/US Patent Office/PCT/International Bureau/ -
Communication Of International Applications
Cooley IP Forms/US Patent Office/PCT/International Bureau/ -
First Notice Informing The Applicant Of The Communication Of The International Application
Cooley IP Forms/US Patent Office/PCT/International Bureau/ -
Furnishing Of Copies Of Priority Documents
Cooley IP Forms/US Patent Office/PCT/International Bureau/ -
International Application Status Form (IASF)
Cooley IP Forms/US Patent Office/PCT/International Bureau/ -
International Preliminary Report On Patentability
Cooley IP Forms/US Patent Office/PCT/International Bureau/ -
Invitation To Correct Declarations Made In The Request Under PCT Rule 4.17
Cooley IP Forms/US Patent Office/PCT/International Bureau/ -
Invitation To Correct Priority Claim
Cooley IP Forms/US Patent Office/PCT/International Bureau/ -
Invitation To Furnish Original Of Document Transmitted By Telegraph Teleprinter Facsimile
Cooley IP Forms/US Patent Office/PCT/International Bureau/ -
Invitation To Indicate Competent International Preliminary Examing Authority
Cooley IP Forms/US Patent Office/PCT/International Bureau/ -
Invitation To Request Rectification
Cooley IP Forms/US Patent Office/PCT/International Bureau/ -
Notice Of Withdrawal
Cooley IP Forms/US Patent Office/PCT/International Bureau/ -
Notification Concerning Copies Of Documents In The File
Cooley IP Forms/US Patent Office/PCT/International Bureau/ -
Notification Concerning Documents Transmitted
Cooley IP Forms/US Patent Office/PCT/International Bureau/ -
Notification Concerning Transmittal Of Copy Of International Preliminary Report
Cooley IP Forms/US Patent Office/PCT/International Bureau/ -
Notification Concerning Written Opinion Of International Searching Authority
Cooley IP Forms/US Patent Office/PCT/International Bureau/ -
Notification Of Defective Power Of Attorney Or Defective Revocation Of Power Of Attorney
Cooley IP Forms/US Patent Office/PCT/International Bureau/ -
Notification Of Transmittal Of Demand To The Competent International Preliminary
Cooley IP Forms/US Patent Office/PCT/International Bureau/ -
Notification That Demand Considered Not To Have Been Submitted
Cooley IP Forms/US Patent Office/PCT/International Bureau/ -
Notification That Demand Is Considered Not To Have Been Submitted Or Made
Cooley IP Forms/US Patent Office/PCT/International Bureau/ -
Request For The Production Of Proof
Cooley IP Forms/US Patent Office/PCT/International Bureau/ -
Notifcation Of Decision Concerning Request For Rectification
Cooley IP Forms/US Patent Office/PCT/International Bureau/ -
Notifcation Of Defects In The International Application
Cooley IP Forms/US Patent Office/PCT/International Bureau/ -
Notification Concerning Copies Of Documents In The File
Cooley IP Forms/US Patent Office/PCT/International Bureau/ -
Notification Concerning Paper Being Disregarded Or Document Considered
Cooley IP Forms/US Patent Office/PCT/International Bureau/ -
Notification Concerning Submission Or Transmittal Of Priority Document
Cooley IP Forms/US Patent Office/PCT/International Bureau/ -
Notification Concerning The Filing Of Amendments Of The Claims
Cooley IP Forms/US Patent Office/PCT/International Bureau/ -
Notification Of Cancellation Of Designation Or Elections
Cooley IP Forms/US Patent Office/PCT/International Bureau/ -
Notification Of Defects In Demand
Cooley IP Forms/US Patent Office/PCT/International Bureau/ -
Notification Of Defects With Regard To Correspondence Submitted By Applicant
Cooley IP Forms/US Patent Office/PCT/International Bureau/ -
Notification Of Election
Cooley IP Forms/US Patent Office/PCT/International Bureau/ -
Notification Of Facts Which Should Have Precluded The According Of An International Filing
Cooley IP Forms/US Patent Office/PCT/International Bureau/ -
Notification Of Late Submission Of Application Number Of Earlier Application
Cooley IP Forms/US Patent Office/PCT/International Bureau/ -
Notification Of Receipt Of Record Copy
Cooley IP Forms/US Patent Office/PCT/International Bureau/ -
Notification Of The Recording Of A Change
Cooley IP Forms/US Patent Office/PCT/International Bureau/ -
Notification Of Transmittal Of Copies Of Translation Of The International Preliminary Report
Cooley IP Forms/US Patent Office/PCT/International Bureau/ -
Notification Of Transmittal Of Copies Of Translation Of The Written Opinion
Cooley IP Forms/US Patent Office/PCT/International Bureau/ -
Notification Of Withdrawal Of Demand Or Elections
Cooley IP Forms/US Patent Office/PCT/International Bureau/ -
Notification Of Withdrawal Of International Application Or Designations
Cooley IP Forms/US Patent Office/PCT/International Bureau/ -
Notification Of Withdrawal Of Priority Claim
Cooley IP Forms/US Patent Office/PCT/International Bureau/ -
Notification Regarding Attempted Transmission Of Documents Via Telegraph Teleprinter
Cooley IP Forms/US Patent Office/PCT/International Bureau/ -
Notification Relating To Declaration Made Under Rule 4.17
Cooley IP Forms/US Patent Office/PCT/International Bureau/ -
Notification Relating To Priority Claim
Cooley IP Forms/US Patent Office/PCT/International Bureau/ -
Notification That Copy Of Priority Document Will Not Be Furnished
Cooley IP Forms/US Patent Office/PCT/International Bureau/ -
Notification That International Application Considered To Be Withdrawn
Cooley IP Forms/US Patent Office/PCT/International Bureau/ -
Second And Supplementary Notice Informing The Applicant Of The Communication
Cooley IP Forms/US Patent Office/PCT/International Bureau/ -
Transmittal Of Copies Of Priority Documents
Cooley IP Forms/US Patent Office/PCT/International Bureau/ -
Information Concerning Elected Offices Notified Of Their Election
Cooley IP Forms/US Patent Office/PCT/International Bureau/ -
Notification Concerning Availability Of The Publication Of The International Application
Cooley IP Forms/US Patent Office/PCT/International Bureau/ -
Invitation To Correct Defects In The Supplementary Search Request
Cooley IP Forms/US Patent Office/PCT/International Bureau/ -
Notification Concerning Representation
Cooley IP Forms/US Patent Office/PCT/International Bureau/ -
Invitation To Pay Prescribed Fees Together With Late Payment Fee
Cooley IP Forms/US Patent Office/PCT/International Bureau/ -
Notification Of Receipt Of Supplementary Search Request And Payment
Cooley IP Forms/US Patent Office/PCT/International Bureau/ -
Notification That Supplementary Search Request Is Considered Not To Have Been Submitted
Cooley IP Forms/US Patent Office/PCT/International Bureau/ -
Supplementary Search Request
Cooley IP Forms/US Patent Office/PCT/International Bureau/ -
Notification Of Refund Of Fees Concerning Supplementary International Search
Cooley IP Forms/US Patent Office/PCT/International Bureau/ -
Request For Indication Of Availability For Licensing Purposes
Cooley IP Forms/US Patent Office/PCT/International Bureau/ -
Notification Of Decision Not To Omit Information From International Publication
Cooley IP Forms/US Patent Office/PCT/International Bureau/ -
Notification Of Decision To Omit Information From International Publication
Cooley IP Forms/US Patent Office/PCT/International Bureau/ -
Invitation For Omission Of Information From International Publication
Cooley IP Forms/US Patent Office/PCT/International Bureau/ -
Invitation To Request Omission Of Information From International Publication
Cooley IP Forms/US Patent Office/PCT/International Bureau/ -
Notification Concerning Expressions Etc Not To Be Used In The International Application
Cooley IP Forms/US Patent Office/PCT/International Bureau/
Form Preview
Contact Us
Success: Your message was sent.
Thank you!




