Last updated: 5/2/2006
Second And Supplementary Notice Informing The Applicant Of The Communication {PCT-IB-308}
Start Your Free Trial $ 13.99What you get:
- Instant access to fillable Microsoft Word or PDF forms.
- Minimize the risk of using outdated forms and eliminate rejected fillings.
- Largest forms database in the USA with more than 80,000 federal, state and agency forms.
- Download, edit, auto-fill multiple forms at once in MS Word using our Forms Workflow Ribbon
- Trusted by 1,000s of Attorneys and Legal Professionals
Description
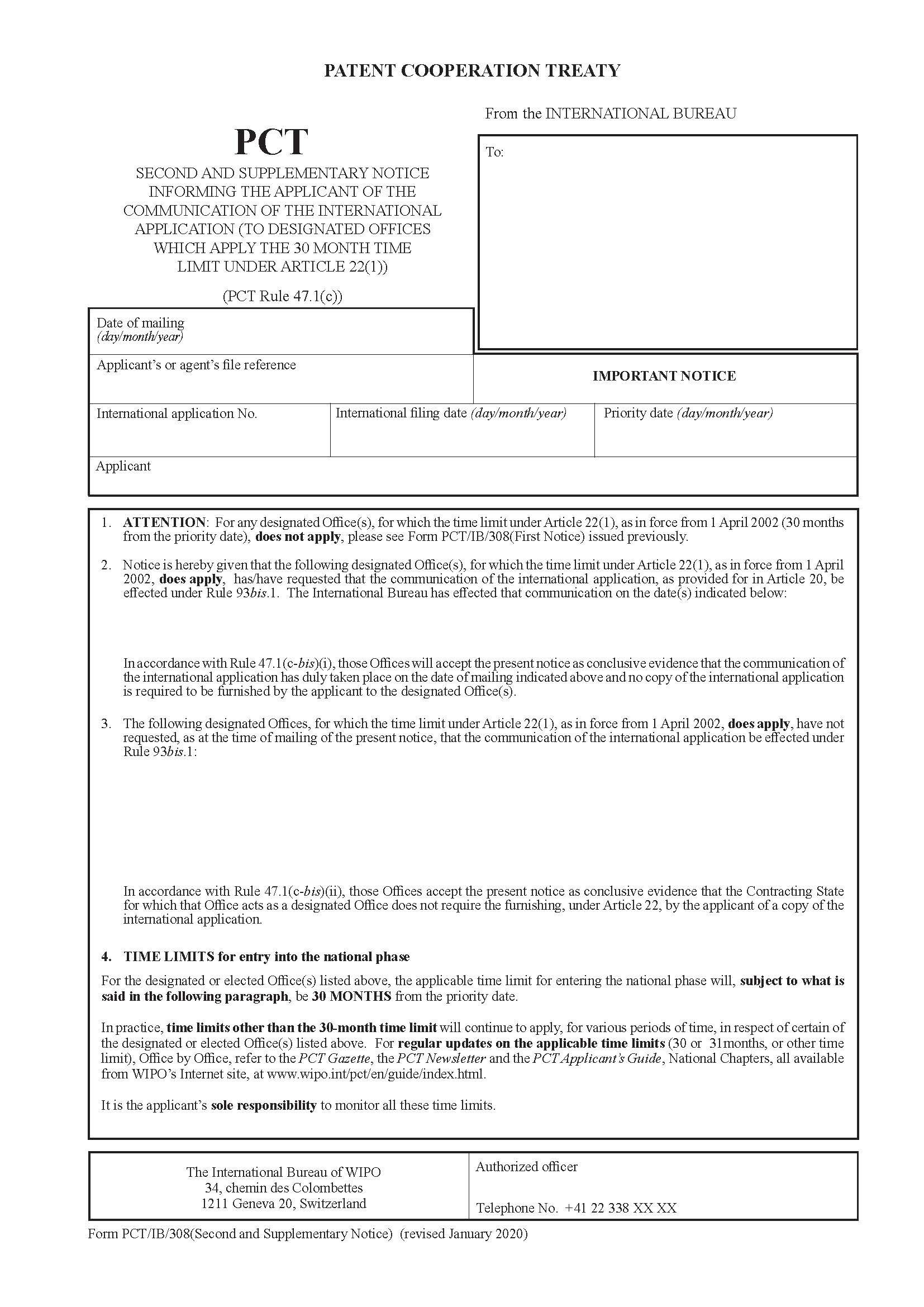
PATENT COOPERATION TREATY From the INTERNATIONAL BUREAU PCT To: SECOND AND SUPPLEMENTARY NOTICE INFORMING THE APPLICANT OF THE COMMUNICATION OF THE INTERNATIONAL APPLICATION (TO DESIGNATED OFFICES WHICH APPLY THE 30 MONTH TIME LIMIT UNDER ARTICLE 22(1)) (PCT Rule 47.1(c)) Date of mailing (day/month/year) Applicants or agents file reference IMPORTANT NOTICE International application No. International filing date (day/month/year) Priority date (day/month/year) Applicant 1. ATTENTION : For any designated Office(s), for which the time limit under Articl e 22(1), as in force from 1 April 2002 (30 months from the priority date), does not apply, please see Form PCT/IB/308(First Notice) issued previously. 2. Notice is hereby given that the following designated Office(s), for wh ich the time limit under Article 22(1), as in force from 1 April 2002, does apply, has/have requested that the communication of the international applic ation, as provided for in Article 20, be effected under Rule 93bis.1. The International Bureau has effected that communication on the dat e(s) indicated below: In accordance with Rule 47.1(c-bis)(i), those Offices will accept the present notice as conclusive evid ence that the communication of the international application has duly taken place on the date of mai ling indicated above and no copy of the international application is required to be furnished by the applicant to the designat ed Office(s). 3. The following designated Offices, for which the time limit under Article 22(1), as in force from 1 April 2002, does apply, have not requested, as at the time of mailing of the present notice, that the communication of the international application be effected under Rule 93bis.1: In accordance with Rule 47.1(c-bis)(ii), those Offices accept the present notice as conclusive evidence that the Contracting State for which that Office acts as a designated Office does not require the f urnishing, under Article 22, by the applicant of a copy of the international application. 4. TIME LIMITS for entry into the national phase For the designated or elected Office(s) listed above, the applicable t ime limit for entering the national phase will, subject to what is said in the following paragraph, be 30 MONTHS from the priority date. In practice, time limits other than the 30-month time limit will continue to apply, for various periods of time, in respect of cert ain of the designated or elected Office(s) listed above. For regular updates on the applicable time limits (30 or 31months, or other time limit), Office by Office, refer to the PCT Gazette, the PCT Newsletter and the PCT Applicants Guide, Volume II, National Chapters, all available from WIPOs Internet site, at http://www.wipo.int/pct/en/in dex.html. It is the applicants sole responsibility to monitor all these time limits. The International Bureau of WIPO Authorized officer 34, chemin des Colombettes 1211 Geneva 20, Switzerland Telephone No. +41 22 338 XX XX Facsimile No. +41 22 338 82 70 Form PCT/IB/308(Second and Supplementary Notice) (October 2005) American LegalNet, Inc. www.USCourtForms.com
Related forms
-
Communication In Cases For Which No Other Form Is Applicable
Cooley IP Forms/US Patent Office/PCT/International Bureau/ -
Communication Of International Applications
Cooley IP Forms/US Patent Office/PCT/International Bureau/ -
First Notice Informing The Applicant Of The Communication Of The International Application
Cooley IP Forms/US Patent Office/PCT/International Bureau/ -
Furnishing Of Copies Of Priority Documents
Cooley IP Forms/US Patent Office/PCT/International Bureau/ -
International Application Status Form (IASF)
Cooley IP Forms/US Patent Office/PCT/International Bureau/ -
International Preliminary Report On Patentability
Cooley IP Forms/US Patent Office/PCT/International Bureau/ -
Invitation To Correct Declarations Made In The Request Under PCT Rule 4.17
Cooley IP Forms/US Patent Office/PCT/International Bureau/ -
Invitation To Correct Priority Claim
Cooley IP Forms/US Patent Office/PCT/International Bureau/ -
Invitation To Furnish Original Of Document Transmitted By Telegraph Teleprinter Facsimile
Cooley IP Forms/US Patent Office/PCT/International Bureau/ -
Invitation To Indicate Competent International Preliminary Examing Authority
Cooley IP Forms/US Patent Office/PCT/International Bureau/ -
Invitation To Request Rectification
Cooley IP Forms/US Patent Office/PCT/International Bureau/ -
Notice Of Withdrawal
Cooley IP Forms/US Patent Office/PCT/International Bureau/ -
Notification Concerning Copies Of Documents In The File
Cooley IP Forms/US Patent Office/PCT/International Bureau/ -
Notification Concerning Documents Transmitted
Cooley IP Forms/US Patent Office/PCT/International Bureau/ -
Notification Concerning Transmittal Of Copy Of International Preliminary Report
Cooley IP Forms/US Patent Office/PCT/International Bureau/ -
Notification Concerning Written Opinion Of International Searching Authority
Cooley IP Forms/US Patent Office/PCT/International Bureau/ -
Notification Of Defective Power Of Attorney Or Defective Revocation Of Power Of Attorney
Cooley IP Forms/US Patent Office/PCT/International Bureau/ -
Notification Of Transmittal Of Demand To The Competent International Preliminary
Cooley IP Forms/US Patent Office/PCT/International Bureau/ -
Notification That Demand Considered Not To Have Been Submitted
Cooley IP Forms/US Patent Office/PCT/International Bureau/ -
Notification That Demand Is Considered Not To Have Been Submitted Or Made
Cooley IP Forms/US Patent Office/PCT/International Bureau/ -
Request For The Production Of Proof
Cooley IP Forms/US Patent Office/PCT/International Bureau/ -
Notifcation Of Decision Concerning Request For Rectification
Cooley IP Forms/US Patent Office/PCT/International Bureau/ -
Notifcation Of Defects In The International Application
Cooley IP Forms/US Patent Office/PCT/International Bureau/ -
Notification Concerning Copies Of Documents In The File
Cooley IP Forms/US Patent Office/PCT/International Bureau/ -
Notification Concerning Paper Being Disregarded Or Document Considered
Cooley IP Forms/US Patent Office/PCT/International Bureau/ -
Notification Concerning Submission Or Transmittal Of Priority Document
Cooley IP Forms/US Patent Office/PCT/International Bureau/ -
Notification Concerning The Filing Of Amendments Of The Claims
Cooley IP Forms/US Patent Office/PCT/International Bureau/ -
Notification Of Cancellation Of Designation Or Elections
Cooley IP Forms/US Patent Office/PCT/International Bureau/ -
Notification Of Defects In Demand
Cooley IP Forms/US Patent Office/PCT/International Bureau/ -
Notification Of Defects With Regard To Correspondence Submitted By Applicant
Cooley IP Forms/US Patent Office/PCT/International Bureau/ -
Notification Of Election
Cooley IP Forms/US Patent Office/PCT/International Bureau/ -
Notification Of Facts Which Should Have Precluded The According Of An International Filing
Cooley IP Forms/US Patent Office/PCT/International Bureau/ -
Notification Of Late Submission Of Application Number Of Earlier Application
Cooley IP Forms/US Patent Office/PCT/International Bureau/ -
Notification Of Receipt Of Record Copy
Cooley IP Forms/US Patent Office/PCT/International Bureau/ -
Notification Of The Recording Of A Change
Cooley IP Forms/US Patent Office/PCT/International Bureau/ -
Notification Of Transmittal Of Copies Of Translation Of The International Preliminary Report
Cooley IP Forms/US Patent Office/PCT/International Bureau/ -
Notification Of Transmittal Of Copies Of Translation Of The Written Opinion
Cooley IP Forms/US Patent Office/PCT/International Bureau/ -
Notification Of Withdrawal Of Demand Or Elections
Cooley IP Forms/US Patent Office/PCT/International Bureau/ -
Notification Of Withdrawal Of International Application Or Designations
Cooley IP Forms/US Patent Office/PCT/International Bureau/ -
Notification Of Withdrawal Of Priority Claim
Cooley IP Forms/US Patent Office/PCT/International Bureau/ -
Notification Regarding Attempted Transmission Of Documents Via Telegraph Teleprinter
Cooley IP Forms/US Patent Office/PCT/International Bureau/ -
Notification Relating To Declaration Made Under Rule 4.17
Cooley IP Forms/US Patent Office/PCT/International Bureau/ -
Notification Relating To Priority Claim
Cooley IP Forms/US Patent Office/PCT/International Bureau/ -
Notification That Copy Of Priority Document Will Not Be Furnished
Cooley IP Forms/US Patent Office/PCT/International Bureau/ -
Notification That International Application Considered To Be Withdrawn
Cooley IP Forms/US Patent Office/PCT/International Bureau/ -
Second And Supplementary Notice Informing The Applicant Of The Communication
Cooley IP Forms/US Patent Office/PCT/International Bureau/ -
Transmittal Of Copies Of Priority Documents
Cooley IP Forms/US Patent Office/PCT/International Bureau/ -
Information Concerning Elected Offices Notified Of Their Election
Cooley IP Forms/US Patent Office/PCT/International Bureau/ -
Notification Concerning Availability Of The Publication Of The International Application
Cooley IP Forms/US Patent Office/PCT/International Bureau/ -
Invitation To Correct Defects In The Supplementary Search Request
Cooley IP Forms/US Patent Office/PCT/International Bureau/ -
Notification Concerning Representation
Cooley IP Forms/US Patent Office/PCT/International Bureau/ -
Invitation To Pay Prescribed Fees Together With Late Payment Fee
Cooley IP Forms/US Patent Office/PCT/International Bureau/ -
Notification Of Receipt Of Supplementary Search Request And Payment
Cooley IP Forms/US Patent Office/PCT/International Bureau/ -
Notification That Supplementary Search Request Is Considered Not To Have Been Submitted
Cooley IP Forms/US Patent Office/PCT/International Bureau/ -
Supplementary Search Request
Cooley IP Forms/US Patent Office/PCT/International Bureau/ -
Notification Of Refund Of Fees Concerning Supplementary International Search
Cooley IP Forms/US Patent Office/PCT/International Bureau/ -
Request For Indication Of Availability For Licensing Purposes
Cooley IP Forms/US Patent Office/PCT/International Bureau/ -
Notification Of Decision Not To Omit Information From International Publication
Cooley IP Forms/US Patent Office/PCT/International Bureau/ -
Notification Of Decision To Omit Information From International Publication
Cooley IP Forms/US Patent Office/PCT/International Bureau/ -
Invitation For Omission Of Information From International Publication
Cooley IP Forms/US Patent Office/PCT/International Bureau/ -
Invitation To Request Omission Of Information From International Publication
Cooley IP Forms/US Patent Office/PCT/International Bureau/ -
Notification Concerning Expressions Etc Not To Be Used In The International Application
Cooley IP Forms/US Patent Office/PCT/International Bureau/
Form Preview
Contact Us
Success: Your message was sent.
Thank you!




